Tania Manríquez Roa, Markus Christen, Andreas Reis, Nikola Biller-Andorno (Author) The pursuit of health equity in the era of artificial intelligence Fulltext PDF Fulltext HTML
Marcello Ienca (Author) Medical data sharing and privacy: a false dichotomy? Fulltext PDF Fulltext HTML
Wolfgang Stroebe (Author) Suicide in Switzerland: why gun ownership can be deadly Fulltext PDF Fulltext HTML
Giovanni Spitale, Andrea Glässel, Mirriam Tyebally-Fang, Corine Mouton Dorey, Nikola Biller-Andorno (Author) Patient narratives – a still undervalued resource for healthcare improvement Fulltext PDF Fulltext HTML
Anne Zanchi, Andreas W. Jehle, Faiza Lamine, Bruno Vogt, Cecilia Czerlau, Stefan Bilz, Harald Seeger, Sophie de Seigneux (Author) Diabetic kidney disease in type 2 diabetes: a consensus statement from the Swiss Societies of Diabetes and Nephrology Fulltext PDF Fulltext HTML
Tobias Braendli, Valeria Schindler, Dominique Laurent Braun, Fritz R. Murray, Juliane Marie Hente, Daniel Pohl (Author) Clarithromycin-based Helicobacter pylori eradication therapy is not associated with higher treatment failure compared with non-clarithromycin-based regimens in a tertiary referral hospital in Switzerland Fulltext PDF Fulltext HTML
Radoslaw Panczak, Claudia Berlin, Marieke Voorpostel, Marcel Zwahlen, Matthias Egger (Author) The Swiss neighbourhood index of socioeconomic position: update and re-validation Fulltext PDF Fulltext HTML
Pascale Grzonka, Sira M. Baumann, Kai Tisljar, Sabina Hunziker, Stephan Marsch, Raoul Sutter (Author) Procedures of brain death diagnosis and organ explantation in a tertiary medical centre – a retrospective eight-year cohort study Fulltext PDF Fulltext HTML
Sarah R. Haile, Alessia Raineri, Sonja Rueegg, Thomas Radtke, Agne Ulyte, Milo A. Puhan, Susi Kriemler (Author) Heterogeneous evolution of SARS-CoV-2 seroprevalence in school-age children: Results from the school-based cohort study Ciao Corona in November–December 2021 in the canton of Zurich Fulltext PDF Fulltext HTML
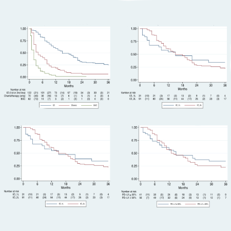
Valentina Allmann, Daniela Dyntar, Dirk Lehnick, Marco Dressler, Kristin Zeidler, Philipp Niederberger, Jeanne Godau, Joachim Diebold, Oliver Gautschi (Author) Overall survival and role of programmed death ligand 1 expression in patients with metastatic non-small-cell lung cancer and immunotherapy: an observational study from central Switzerland Fulltext PDF Fulltext HTML