DOI: https://doi.org/https://doi.org/10.57187/s.4307
Neonatal transport is a high-risk procedure due to the intrinsic vulnerabilities of the patient population and the distinct physiological characteristics of neonates, such as their compromised ability to adapt to hypoxia and changes in barometric pressure, humidity, temperature, noise and vibration [1, 2]. Additionally, neonates with respiratory support are particularly susceptible to complications like hypotension, hypoglycaemia, intraventricular haemorrhage and pneumothorax. Prenatal risk factors, perinatal health conditions (e.g. respiratory distress and perinatal asphyxia) and congenital malformations (such as congenital heart defects) can further influence transport outcomes [1]. Consequently, neonatal transport demands specialised administrative and medical resources to ensure efficient and safe transfer [3, 4]. There is limited data on the impact of transportation times, safety and specific risk factors on neonatal transport outcomes. In Switzerland, approximately 1500 neonatal transports are conducted annually from regional maternity units to specialised neonatal care centres (personal communication, Swiss working group of neonatology and paediatric intensive care [IGPNI]). Of these, the neonatal transport service of the Bern University Children’s Hospital is responsible for around 230 transports each year. All transports are carried out by a dedicated team trained in neonatal transport. To date, systematic assessment of outcomes and transport-associated risk factors remains lacking. The objective of our study was to find potential risk factors for morbidity and mortality in neonates requiring transport. These included selected patient characteristics as well as selected transport characteristics, that have been associated with the outcome of neonates in previous studies [5–7]. The results serve as a basis for reflection on potential actions that can be taken to improve patient outcomes and transport efficiency.
This retrospective cohort study aims (a) to describe the clinical and transport characteristics of patients transported by the service of the Bern University Children’s Hospital from birth facilities to our hospital, (b) to assess their outcomes, and (c) to investigate the association between patient and transport characteristics and patient outcomes.
The following outcomes were considered:
In order to cover all the neonates, who in our study at the time of discharge needed any kind of support in daily life, we defined “impairment” as: neurological deficits (e.g. neurodevelopmental deficits or muscle weakness), functional deficits (e.g. feeding difficulties), need for medical support (e.g. feeding tube or home care services) or need for medication other than vitamin D or iron supplementation (e.g. anticongestive or anticonvulsive therapy).
Length of stay in the ICU was evaluated within the first 20 days post-transport. Hospital length of stay was assessed within the first 50 days, and days without respiratory or inotropic support were evaluated within the first 14 days. When analysing hospital ICU stays, we observed that a small number of patients had exceptionally long stays. Specifically, 12 patients (1.5% of the study population) had a hospital stay of more than 50 days and 12 patients (1.5%) had an ICU stay of more than 20 days. In this study, we decided to focus on the factors influencing the duration of a “typical” stay. Therefore, we set the threshold at 50 days for hospitalisation and 20 days for ICU stays, covering 98.5% of the stays. For days without respiratory and without inotropic support, the choice to focus on a normal period of 14 days was guided by the clinical context: the time-to-event was expected to occur within 14 days in the majority of patients.
We analysed the 926 transports carried out by the neonatal transport service of the Bern University Children’s Hospital from birth facilities to our hospital between January 2019 and December 2022. The referral centres covered by our neonatal transport service included 19 hospitals at that time. Transport distance ranged from 3.1 km to 63.5 km by ground transport, while air transport distance ranged from 34.7 km to 80.2 km flight distance. Transports were coordinated by the paediatric intensive care unit (PICU) team and conducted by a nurse and a doctor from the newborn intensive care unit (NICU). Air transport was organised in cooperation with the Swiss Air Ambulance Rega. In case of bad weather conditions, longer distances had to be covered by ground transport. After arrival, the patients were admitted to the NICU, the PICU, neonatal intermediate care (IMC) or the regular neonatal unit.
The exclusion criteria were: transport destination other than Bern University Children’s Hospital, repatriation transports, transports of patients not transferred from a birth facility, death prior to the transport team’s arrival, inconclusive data or lack of documentation, elective transports (planned for the next day or later), patients not indicated for transport and parents’ refusal to provide general consent. We reviewed transport protocols and electronic patient charts of the hospital stay following transport. According to the decision of the Bern Regional Ethics Committee (Human Research Ordinance [HRO]), ethical approval was not required as they considered this study to be merely a quality assessment study and therefore not subject to articles 2 and 3 of the Human Research Act (HRA).
The patient data from handwritten standardised transportation protocols, from the patients’ discharge letters and data from the patients’ medical records in the ICU Patient Data Management System (Centricity Critical Care by GE, Anandic Medical Systems AG, Feuerthalen ZH, Switzerland) or the Hospital Information System (ipdos) were entered in a coded manner in a password-protected Excel file. Access to the coded data was restricted to the principal investigators and the statistician of the study team only. The entered data were checked for queries by two independent investigators. The transportation protocols were filled out by the medical transport team in charge, and stored in the archive of the Division for Paediatric Intensive Care of the Inselspital University Hospital Bern.
The patient characteristics selected for analysis included:
Administrative transport characteristics selected for analysis included:
Further assessed patient and transport characteristics are shown in tables 1 to 3 and tables S1–S3 in the appendix. The time from the emergency call to departure was defined as “dispatch time”, that from arrival at the referral centre to departure as “stabilisation time” and that from the emergency call to the transport team’s return to Bern University Children’s Hospital as “total transport time”. Transport urgency was categorised as “Emergency transport” if the child exhibited impaired vital signs at the time of the emergency call or “Urgent transport” if the child had stable vital signs expected to deteriorate.
Table 1Selected patient and transport characteristics.
| Characteristic | Overall (n = 807) | Death or impairment | ||
| Yes (n = 105) | No (n = 702) | |||
| Gestational age in weeks, n (%) | <37 | 137 (17%) | 21 (20%) | 116 (17%) |
| 37–40 | 543 (67%) | 71 (68%) | 472 (67%) | |
| ≥41 | 126 (16%) | 12 (12%) | 114 (16%) | |
| Missing2 | 1 | 1 | 0 | |
| 5 min APGAR score3 | Median (IQR) | 8.0 (7.0–9.0) | 7.0 (4.0–9.0) | 8.0 (7.0–9.0) |
| Missing2 | 7 | 1 | 6 | |
| Sarnat score4, n (%) | No asphyxia | 739 (92%) | 73 (70%) | 666 (95%) |
| <2 | 29 (3.6%) | 10 (9.5%) | 19 (2.7%) | |
| 2–3 | 39 (4.8%) | 22 (21%) | 17 (2.4%) | |
| Primary diagnosis category, n (%) | Cardiac | 66 (8.2%) | 11 (10%) | 55 (7.8%) |
| Infectious | 196 (24%) | 9 (8.6%) | 187 (27%) | |
| Neurological | 120 (15%) | 60 (57%) | 60 (8.5%) | |
| Respiratory | 251 (31%) | 10 (9.5%) | 241 (34%) | |
| Other5 | 174 (22%) | 15 (14%) | 159 (23%) | |
| Urgency of transport, n (%) | Urgent6 | 285 (35%) | 20 (19%) | 265 (38%) |
| Emergency7 | 522 (65%) | 85 (81%) | 437 (62%) | |
| Transport mode, n (%) | Air transport | 175 (22%) | 13 (12%) | 162 (23%) |
| Ground transport | 632 (78%) | 92 (88%) | 540 (77%) | |
| On-call transport8, n (%) | Yes | 556 (69%) | 77 (73%) | 479 (68%) |
| No | 251 (31%) | 28 (27%) | 223 (32%) | |
| Extended medical support9 before transportation, n (%) | Yes | 97 (12%) | 31 (30%) | 66 (9.4%) |
| No | 706 (88%) | 72 (70%) | 634 (91%) | |
| Missing2 | 4 | 2 | 2 | |
| Dispatch time10 in min | Median (IQR) | 43.5 (35.0–55.0) | 41.0 (30.3–52.8) | 45.0 (35.0–55.0) |
| Missing2 | 71 | 7 | 64 | |
| Call to arrival in min | Median (IQR) | 69.0 (55.0–82.0) | 65.0 (48.0–78.0) | 69.0 (55.0–82.3) |
| Missing2 | 70 | 8 | 62 | |
| Stabilisation time11 in min | Median (IQR) | 57.0 (45.0–69.0) | 61.0 (43.5–76.5) | 57.0 (45.0–68.0) |
| Missing2 | 19 | 3 | 16 | |
| Stabilisation time11 in min, n (%) | 0–45 | 201 (26%) | 27 (26%) | 174 (25%) |
| 46–60 | 264 (34%) | 23 (23%) | 241 (35%) | |
| 61–90 | 270 (34%) | 40 (39%) | 230 (34%) | |
| >90 | 53 (6.7%) | 12 (12%) | 41 (6.0%) | |
| Missing2 | 19 | 3 | 16 | |
| Total transport time12 in min | Median (IQR) | 155.0 (131.0–180.0) | 156.5 (123.5–181.0) | 155.0 (131.0–180.0) |
| Missing2 | 75 | 9 | 66 | |
| Transport complications13, n (%) | Yes | 142 (18%) | 32 (30%) | 110 (16%) |
| No | 665 (82%) | 73 (70%) | 592 (84%) | |
1 Neurological deficits, functional deficits, need for medication or need for medical support at time of discharge after hospital stay following neonatal transport.
2 Not documented.
3 APGAR score: a score to evaluate the neonate in the first 10 minutes of life using the five criteria activity (tone), pulse, grimace, appearance and respiration (each 0 to 2 points, max. 10).
4 Sarnat score: a classification score for hypoxic-ischaemic encephalopathy of the newborn, where grade 1 = mild, grade II = moderate, grade III = severe.
5 Other malformations, prematurity, perinatal acidosis, metabolic disorders.
6 Urgent transport: vital signs stable at time of emergency call but expected to deteriorate.
7 Emergency transport: impaired vital signs at the time of emergency call.
8 On-call transport: transport in time period 5pm–8am or during the weekend or on a public holiday.
9 Extended medical support = need for cardiopulmonary resuscitation (CPR), or use of inotropic agents or need for intubation.
10 Dispatch time = time from call to departure.
11 Stabilisation time = intervention time at referral site.
12 Total transport time = time from call to return to Bern University Children’s Hospital.
13 Technical complications were present in two transports (0.2%); other complications were medical adverse events including apnoea, desaturations, arterial hypotension, bradycardia or seizures.
Table 2Association of total transport time with primary and secondary outcomes (effects measures are presented by 10 minutes transport time).
| Crude | Adjusted | ||||||
| Characteristics | Odds ratio | 95% CI | p-value | Odds ratio | 95% CI | ||
| Primary outcome | Binary | Death or impairment* | 0.99 | 0.94–1.03 | 0.6 | 1.02 | 0.96–1.08 |
| Secondary outcomes | Binary | Acidosis at admission | 1.03 | 0.96–1.09 | 0.4 | 1.06 | 0.98–1.15 |
| Ordinal | Length of ICU stay, first 20 days following transport | 0.96 | 0.93–0.99 | 0.009 | 0.96 | 0.93–0.99 | |
| Inotrope-free days, first 14 days following transport | 1.02 | 0.97–1.08 | 0.5 | 0.94 | 0.88–1.00 | ||
| Days without respiratory support, first 14 days following transport | 1.00 | 0.97–1.04 | 0.8 | 1.00 | 0.96–1.03 | ||
| Time to event | Length of stay in-hospital, first 50 days following transport | AFT coef:1.00 | 0.98–1.01 | 0.5 | AFT coef: 1.00 | 0.99–1.01 | |
AFT coef: accelerated failure time coefficient; CI: confidence Interval; ICU: intensive care unit; LOS: length of stay (days).
* Impairment = neurological deficits, functional deficits, need for medication or need for medical support at time of discharge after hospital stay following neonatal transport.
Table 3Association of patient and transport characteristics with primary outcome. An odds ratio (OR) <1 indicates that as the variable increases, the event is less likely to occur; an OR = 1 indicates that as the variable increases, the likelihood of the event does not change.
| Crude | Adjusted | ||||||
| Characteristics | Odds ratio | 95% CI | p-value | Odds ratio | 95% CI | p-value | |
| On-call transport1 | 0.3 | 0.5 | |||||
| No | – | – | – | – | |||
| Yes | 1.28 | 0.82–2.06 | 1.23 | 0.72–2.13 | |||
| Transport mode | 0.009 | 0.018 | |||||
| Air transport | – | – | – | – | |||
| Ground transport | 2.12 | 1.20–4.07 | 2.23 | 1.14–4.68 | |||
| Urgency | <0.001 | 0.11 | |||||
| Urgent2 | – | – | – | – | |||
| Emergency3 | 2.58 | 1.58–4.40 | 1.70 | 0.89–3.29 | |||
| Stabilisation time4 | 1.11 | 1.01–1.22 | 0.021 | 1.08 | 0.96–1.22 | ||
| Primary diagnosis category | <0.001 | <0.001 | |||||
| Cardiac | – | – | – | – | |||
| Infectious | 0.24 | 0.09–0.61 | 0.39 | 0.13–1.12 | |||
| Neurological | 5.00 | 2.46–10.9 | 5.52 | 2.35–14.0 | |||
| Respiratory | 0.21 | 0.08–0.52 | 0.23 | 0.09–0.63 | |||
| Other | 0.47 | 0.21–1.11 | 0.89 | 0.35–2.41 | |||
| 5 min APGAR score5 | 0.75 | 0.69–0.82 | <0.001 | 0.92 | 0.81–1.05 | 0.2 | |
| Sarnat score6 | <0.001 | >0.9 | |||||
| No asphyxia | – | – | – | – | |||
| 1 | 4.80 | 2.07–10.5 | 1.01 | 0.36–2.67 | |||
| 2–3 | 11.8 | 6.02–23.5 | 0.92 | 0.36–2.35 | |||
| Extended medical support7 before transportation | <0.001 | 0.3 | |||||
| No | – | – | – | – | |||
| Yes | 4.14 | 2.51–6.73 | 1.51 | 0.70–3.16 | |||
| Gestational age in weeks | 0.4 | 0.2 | |||||
| 37–40 | – | – | – | – | |||
| <37 | 1.20 | 0.70–2.01 | 1.44 | 0.74–2.76 | |||
| ≥41 | 0.70 | 0.35–1.29 | 0.67 | 0.30–1.37 | |||
CI: confidence interval.
1 On-call transport: transport in the period 5pm – 8am or during the weekend or on a public holiday.
2 Urgent: vital signs stable at time of emergency call but expected to deteriorate; an OR >1 indicates that as the continuous variable increases, the event is more likely to occur.
3 Emergency: impaired vital signs at time of emergency call.
4 Effects measures are presented per 10 minutes stabilisation time.
5 APGAR score: a score to evaluate the neonate in the first 10 minutes of life using the 5 criteria activity (tone), pulse, grimace, appearance and respiration (each 0 to 2 points, max. 10).
6 Sarnat score: a classification score for hypoxic-ischaemic encephalopathy of the newborn, where grade 1 = mild, grade II = moderate, grade III = severe.
7 Need for cardiopulmonary resuscitation (CPR), or use of inotropic agents or need for intubation.
Patient and transport characteristics, and outcomes are delineated in tables stratified by the primary outcome (death or impairment), without any formal statistical testing. Categorical variables are summarised as counts and proportions, while continuous variables are described using medians with interquartile ranges (IQR) or means with standard deviations (SD), as appropriate. Transport times, including dispatch time, departure-arrival time, stabilisation time, return time and total transport time are depicted in boxplots.
The association between total transport time and patient outcomes was analysed for each outcome separately using both crude and adjusted models. Binary outcomes, such as death or impairment and acidosis upon admission, were evaluated using logistic regression models. The impact of transport time on the length of stay was assessed using Accelerated Failure Time (AFT) models, under the assumption of a log-logistic distribution for time to discharge, with censoring applied to patients who died at the event time. For days in the ICU, days without inotrope use and days without respiratory support, ordered logistic regression models were used to evaluate the effect of transport time on the probability of increasing the outcomes. Crude models included the outcome as the dependent variable and total transport time (continuous, in 10-minute increments) as the independent variable. Effect measures are presented with the associated 95% CI and p-values. Effects measures are presented per 10 minutes transport time. For binary outcomes, we used logistic regression models and present the effect measure as an odds ratio (OR); for continuous outcomes, we used linear regression models and present the model coefficient as effect measure. Adjusted models additionally accounted for potentially confounding factors including the 5-minute APGAR score, Sarnat score, need for extended medical support prior to transport, primary diagnosis category and gestational age. Administrative transport characteristics included whether the transport occurred during regular working hours (8 am – 5 pm, Monday to Friday) or an on-call shift, and the mode of transport (ground or helicopter).
To investigate the effects of the stabilisation time, as well as patient and transport characteristics on the primary outcome, we used both crude and adjusted logistic regression models. The crude models include the primary outcome as the dependent variable and the characteristic of interest as the independent variable. As before, for the analysis of the association between total transport time and patient outcomes, the adjusted models include the effects of the 5-minute APGAR score, Sarnat score, need for extended medical support prior to transport, primary diagnosis category, gestational age, whether the transport occurred during an on-call shift and the mode of transport.
From January 2019 to December 2022, a total of 926 patients were transported by the neonatal transport service of the Bern University Children’s Hospital. Of these, 807 met the inclusion criteria. These patients were transferred from 19 different referral hospitals to Bern University Children’s Hospital. Patient selection is shown in figure 1. Patient and transport characteristics are summarised in tables S1–S3 in the appendix.

Figure 1Patient selection. Elective transport = transport planned for the next day or later; impairment = neurological deficits, functional deficits, need for medication or need for medical support at time of discharge after hospital stay following neonatal transport; unfavourable outcome = death or impairment.
Of the 807 patients, 105 (13%) experienced an unfavourable outcome, with 25 patients succumbing to death and 80 patients exhibiting impairment at time of discharge. Lengths of stay in the ICU were longer in the group of patients with unfavourable outcomes, with a median of 4 days (IQR: 2.0–10.0), compared to a median of 0 days (IQR: 0–2.3) in the group of patients with favourable outcomes. The median length of stay in the hospital was 16 days (IQR: 7.0–28.0) for the unfavourable outcome group and 5 days (IQR 4.0–8.0) for the favourable outcome group.
The median number of days without respiratory support within the first 14 days following transport was 9 days (IQR: 0–13.0) in the group with poorer outcomes and 14 days (IQR 12.0–14.0) in the group with more favourable outcomes. There was no difference in the number of days without inotropic support between the two groups, with a median of 14 days in both groups.
The median age at admission was 7 hours (IQR: 3–18). The primary diagnosis was respiratory in 251 cases (31%), infectious in 196 cases (24%) and neurological in 120 cases (15%). The majority of transports were emergency transports (n = 522, 65%) and on-call transports (n = 556, 69%; see table 1).
The diagnosis category was significantly associated with the primary outcome (p <0.001; table 3). A neurological diagnosis was associated with a significantly increased risk of an unfavourable outcome compared to a cardiac diagnosis (OR: 5, 95% confidence interval [CI]: 2.46–10.9). Extended medical support before transport was associated with an unfavourable outcome in the unadjusted regression analysis; however, this association was not statistically significant in the adjusted analysis (table 3). Similarly, emergency transports were associated with an unfavourable outcome in the unadjusted analysis (OR: 2.58, 95% CI: 1.58–4.40, p <0.001), but this association was not significant after adjustment (p = 0.11, table 3). Five-minute APGAR scores were lower in the patient group with worse outcome (IQR: 4–9 vs 7–9) and significantly associated with the primary outcome in the crude (OR: 0.75, 95% CI: 0.69–0.82, p <0.001 ) but not the adjusted analysis. A Sarnat score ≥2 was also associated with a worse outcome (p <0.001) only in the crude analysis. Gestational age was not associated with the primary outcome. Patients transported by ground (n = 632, 78%) had a significantly worse outcome than those transported by helicopter (n = 175, 22%) in the adjusted analysis (OR: 2.23, 95% CI: 1.14–4.68, p = 0.018; table 3). Transport times are presented in table 1 and figure 2. Longer stabilisation times were associated with an increased risk of death or impairment in the unadjusted regression analysis (OR: 1.11, 95% CI: 1.01–1.22, p = 0.021), but this association was not significant in the adjusted analysis (table 3). Among patients with stabilisation times >60 minutes, 16.1% (52/323) experienced an unfavourable outcome compared to 10.8% (50/465) of those with stabilisation times <60 minutes (table 1). We also found that longer transport times may slightly reduce length of ICU stay (OR per 10 minutes transport time: 0.96, 95% CI: 0.93–0.99, p = 0.015). Nevertheless, the effect size is small. The crude OR indicates no association between transport time and inotrope-free days, while the adjusted OR indicates a marginally significant reduction in inotrope-free days with longer transport time (OR per 10 minutes transport time: 0.94, 95% CI: 0.88–1.00, p = 0.052). No other outcomes, including death or impairment, acidosis at admission, inotrope-free days, days without respiratory support or overall length of hospital stay, showed a significant association with transport time (table 2).

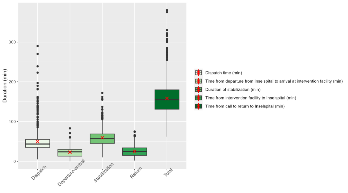
Figure 2Transport times: Each box in the boxplot represents the interquartile range (IQR), encompassing the central 50% of all values. The lower boundary of the box corresponds to the first quartile (Q1), while the upper boundary corresponds to the third quartile (Q3). Within the box, the solid line denotes the median value and the red cross signifies the mean value. The whiskers extend to the furthest data point within 1.5 times the IQR from the quartiles.
This single-centre cohort study systematically investigated for the first time the outcomes and transport-associated risk factors for morbidity and mortality in 807 neonates requiring neonatal transport in central Switzerland. To our knowledge, this study includes the largest study population compared to similar works, and the most comprehensive evaluation on outcomes and risk factors from Europe [10]. Following the characterisation of the neonatal transport systems of western and eastern Switzerland by Leemann et al. [11] and McEvoy et al. [12], our study provides an extended and detailed analysis of the central Swiss neonatal transport system, thereby contributing to a comprehensive evaluation of neonatal transport across Switzerland. The patient characteristics in our study cohort did not significantly differ from those reported by Leemann et al. and McEvoy et al. [11, 12]. As expected, respiratory diseases remained the most common reason for neonatal interfacility transfer. However, in contrast to their findings, we observed a higher percentage of suspected neonatal infections, making infections the second most frequent indication for transport. Reasons for this finding remain unclear. But given the birth statistic of the region of Bern alone (39,415 children were born in the years 2019 to 2022), the number of neonatal transports indicated for a neonatal infection (n = 196) appears reasonable [13].
In our analysis of diagnosis categories, neonates presenting with a primary neurological diagnosis demonstrated significantly poorer prognoses. The majority of patients were neonates with asphyxia; the remaining neurological diagnoses included intraventricular haemorrhage, cerebral infarction, neonatal seizures, muscular hypotension, encephalopathy/leukencephalopathy among others. A trend towards adverse outcomes was observed in neonates with a five-minute Apgar score below 6 and a Sarnat score exceeding 2. Although the association did not reach statistical significance, a high percentage of unfavourable outcomes was also noted among neonates requiring cardiopulmonary resuscitation or inotropic support. Consequently, we recommend that neonates exhibiting these risk factors should be transported by the most experienced and specialised transport teams.
There are limited reference data regarding optimal transport times for neonates. Previous studies suggest that helicopter transport is safe for critically ill neonates and that longer transport times may lead to a deterioration in neonatal condition [5–7]. In our study, most neonates underwent ground transport and had significantly worse outcomes compared to those transported by helicopter. In our region, the indication for helicopter transport is typically defined by a transport distance exceeding 55 km independent of urgency or patient diagnosis. As air transport has been shown to be a safe mode of neonatal transport [14, 15], we recommend increasing the use of helicopter transport for neonates when clinically indicated. The potential time advantage appears to play a less significant role, but the reasons for this advantage cannot be determined from this study. Factors such as stress or shearing forces exerted on the newborns are conceivable.
The length of ICU stay (first 20 days) shows a small but statistically significant reduction with increasing transport time. The reason for this finding remains unclear, as we would have expected a worse outcome with longer transport times. Despite the size of the study population, the subgroups may still be too small and, most likely, biased by the number of deaths. Our results suggest a potential reduction in inotrope-free days with longer transport time, which fits more into our understanding of transport times and outcomes. Nevertheless, no other outcomes, including death or impairment, acidosis at admission, days without respiratory support or overall hospital length of stay, showed a significant association with transport time.
Previous studies have demonstrated the impact of the time from emergency call to specialised care at the receiving facility on patient outcomes [16–18]. Given the “first golden hour” after birth [16, 17], our transport team arrives at the referral centre too late, after 69 minutes only (65 minutes in the group of patients with worse outcome). To improve this time interval, (a) the team needs to be ready faster in order to reduce the dispatch time, or (b) cover the distance faster to arrive earlier. This could imply a more frequent choice of helicopter transport [16]. Leemann et al. advised that the time interval from emergency call to transport team departure should not exceed 30 minutes [11]. The median dispatch time in our study was 43.5 minutes, which is notably longer than the dispatch times reported by centres in Zürich (35 minutes) and Lausanne (34 minutes) [11, 12]. This delay may be attributable to the fact that during on-call hours our transport team first has to arrive at our centre as opposed to the neonatal transport service of Zürich with a transport team on-site around the clock. And a higher proportion of transports of our centre occurred during on-call hours (69%), compared to the centres in Zürich and Lausanne [11, 12]. The implementation of a 24/7 stand-by transport team based in the hospital could potentially improve dispatch times, the efficiency of neonatal transport and patient outcomes.
Stabilisation time is influenced by the number of procedures performed at the referral site, and therefore, interventions should be minimised [19]. The Canadian Neonatal Transport Network (CNTN) recommends a stabilisation time of less than 120 minutes [19]. In our study, the median stabilisation time was 57 minutes, suggesting that a target of 60 minutes is feasible. The goal of an optimal stabilisation time would be to concentrate on the necessary measures to stabilise the neonate in order to guarantee a safe but fast transport to a specialised centre for neonatal care. The decisions for the kind of support are merely orientated on the clinical problem of the patient. Naturally, specific transport-related factors need to be considered, e.g. intubation for flights in higher altitude in already respiratory-distressed patients. We advocate for a prompt and gentle transport of neonates to increase efficiency and reduce costs.
In our study, transport complications were documented in 18% (n = 142/807) of transports. Most complications involved mild, uncomplicated changes in vital signs in terms of desaturations (63%) or arterial hypotension (26%), treatable with increase of flow or FiO2 or volume bolus, respectively. Other complications included apnoea, bradycardia, seizures, technical problems or ventilation problems. We observed no instances of CPR during transport and no transport-related mortality, which has been reported to be as high as 12–40% in some studies [19]. There were no major interventions necessary during transport. Temperature instability is the most common vital sign anomaly reported in the literature [19]; however, temperature was not documented in 63% of our patients, precluding direct comparison. There were no reported communication- or system-related problems. The early identification and treatment of neonatal infections are emphasised in Canadian neonatal transport metrics [22]. In our cohort, only 77% of patients treated with antibiotics received them on-site. While there were cases where additional laboratory results were not available, and clinical symptoms varied and were non-specific, early initiation of antibiotics when in doubt is justified. However, delayed initiation of antibiotics pending laboratory results did not appear to worsen outcomes.
Overall, the neonatal transport system of Bern University provides safe and efficient care and transport, although there are areas for improvement. To address the significant percentage of incomplete documentation, we are implementing a REDCap database to reduce the incidence of missing or incomplete records. The TRIPS-II score has proven valuable for risk assessment in neonatal transport [5, 23, 24] and will be incorporated into the database. The establishment of regional databases across Switzerland is likely to be a cornerstone for quality assessment and improvement of the Swiss neonatal transport system and the foundation for implementing national quality metrics [11, 22, 25]. We advocate for the development of a national database for the Swiss neonatal transport system to ensure safety and efficiency, and to enhance educational programmes.
Our study analysed the neonatal transport system of one tertiary centre in central Switzerland. This setting generates certain limitations of this study. The size of the patient population and the specific geographic and logistical circumstances reduce the generalisability of our findings. Patient selection was influenced by the exclusion of a number of patients who had an elective transport planned one or more days after the call. Some patients were excluded because of improper documentation. As the study design did not include control groups (e.g. neonates with the same diagnosis who were not transported), we cannot make any clear statement about the transport-dependency of the prognosis.
Our study identifies potential risk factors for morbidity and mortality in neonates requiring transport. Our findings do not demonstrate a significant association between transport time and the most important clinical outcomes, including mortality, neurological impairment, length of hospital stay or duration without inotropic or respiratory support. Consequently, in regions with short transport distances, transport time may be less relevant than the primary diagnosis and the initial resuscitation measures taken at the referring facility. Improvement in transport efficiency could probably be achieved by optimising dispatch and call to arrival times.
Particular attention should be directed toward neonates with a primary neurological diagnosis, as these conditions are associated with a higher risk of adverse outcomes. As ground transport showed a worse outcome than air transport in our investigation, the helicopter service might be considered more frequently as it has been proven safe for neonates in previous studies. To ensure the highest standards of neonatal transport and to optimise training and education, we advocate for the creation of a national database for the Swiss neonatal transport system and the implementation of national quality metrics specific to neonatal transport. This would allow for critical incident reporting, assessment of high-quality data and regular neonatal transport audits.
In accordance with the International Committee of Medical Journal Editors (ICMJE) recommendations, data sharing is not mandatory for retrospective cohort studies. Although the data are anonymised, we still see a potential risk that, if shared publicly, individual patients could be re-identified through the combination of age, transport time and diagnosis, especially due to the small number of patients located in a small region.
This study received no funding.
All authors have completed and submitted the International Committee of Medical Journal Editors form for disclosure of potential conflicts of interest. No potential conflict of interest related to the content of this manuscript was disclosed.
1. Schierholz E. Flight physiology: science of air travel with neonatal transport considerations. Adv Neonatal Care. 2010 Aug;10(4):196–9. doi: https://doi.org/10.1097/ANC.0b013e3181e94709
2. Bailey V, Szyld E, Cagle K, Kurtz D, Chaaban H, Wu D, et al. Modern Neonatal Transport: Sound and Vibration Levels and Their Impact on Physiological Stability. Am J Perinatol. 2019 Mar;36(4):352–9. doi: https://doi.org/10.1055/s-0038-1668171
3. Orr RA, Felmet KA, Han Y, McCloskey KA, Dragotta MA, Bills DM, et al. Pediatric specialized transport teams are associated with improved outcomes. Pediatrics. 2009 Jul;124(1):40–8. doi: https://doi.org/10.1542/peds.2008-0515
4. Calhoun A, Keller M, Shi J, Brancato C, Donovan K, Kraus D, et al. Do pediatric teams affect outcomes of injured children requiring inter-hospital transport? Prehosp Emerg Care. 2017;21(2):192–200. doi: https://doi.org/10.1080/10903127.2016.1218983
5. Eliason SH, Whyte H, Dow K, Cronin CM, Lee S; Canadian Neonatal Network. Variations in transport outcomes of outborn infants among Canadian neonatal intensive care units. Am J Perinatol. 2013 May;30(5):377–82. doi: https://doi.org/10.1055/s-0032-1324706
6. Joseph AM, Horvat CM, Evans IV, Kuch BA, Kahn JM. Helicopter versus ground ambulance transport for interfacility transfer of critically ill children. Am J Emerg Med. 2022 Nov;61:44–51. doi: https://doi.org/10.1016/j.ajem.2022.08.032
7. Frid I, Ågren J, Kjellberg M, Normann E, Sindelar R. Critically ill neonates displayed stable vital parameters and reduced metabolic acidosis during neonatal emergency airborne transport in Sweden. Acta Paediatr. 2018 Aug;107(8):1357–61. doi: https://doi.org/10.1111/apa.14295
8. Razaz N, Boyce WT, Brownell M, Jutte D, Tremlett H, Marrie RA, et al. Five-minute Apgar score as a marker for developmental vulnerability at 5 years of age. Arch Dis Child Fetal Neonatal Ed. 2016 Mar;101(2):F114–20. doi: https://doi.org/10.1136/archdischild-2015-308458
9. Mietzsch U, Kolnik SE, Wood TR, Natarajan N, Gonzalez FF, Glass H, et al.; HEAL Trial Study Group. Evolution of the Sarnat exam and association with 2-year outcomes in infants with moderate or severe hypoxic-ischaemic encephalopathy: a secondary analysis of the HEAL Trial. Arch Dis Child Fetal Neonatal Ed. 2024 Apr;109(3):308–16. doi: https://doi.org/10.1136/archdischild-2023-326102
10. Schumacher S, Mitzlaff B, Mohrmann C, Fiedler KM, Heep A, Beske F, et al. Characteristics and special challenges of neonatal emergency transports. Early Hum Dev. 2024 May;192:106012. doi: https://doi.org/10.1016/j.earlhumdev.2024.106012
11. Leemann T, Bernet V, Grass B, Hagmann C. Neonatal transport in Switzerland: a retrospective single-centre analysis - quo vadis? Swiss Med Wkly. 2020 Aug;150(3334):w20308. doi: https://doi.org/10.4414/smw.2020.20308
12. McEvoy CG, Descloux E, Barazzoni MS, Diaw CS, Tolsa JF, Roth-Kleiner M. Evaluation of Neonatal Transport in Western Switzerland: A Model of Perinatal Regionalization. Clin Med Insights Pediatr. 2017 May;11:1179556517709021. doi: https://doi.org/10.1177/1179556517709021
13. Finanzdirektion Kanton Bern. Bevölkerungsbewegung: Bevölkerungswachstum im Jahr. 2023. Available from: www.fin.be.ch/de/start/themen/OeffentlicheStatistik/bevoelkerungsstatistik/bevoelkerungsbewegung.html
14. Killion C, Stein HM. The Impact of Air Ambulance Transport on Neonatal Outcomes. Newborn Infant Nurs Rev. 2009;9(4):207–11. doi: https://doi.org/10.1053/j.nainr.2009.09.008
15. Bouchut JC, Van Lancker E, Chritin V, Gueugniaud PY. Physical stressors during neonatal transport: helicopter compared with ground ambulance. Air Med J. 2011;30(3):134–9. doi: https://doi.org/10.1016/j.amj.2010.11.001
16. Bellini C, De Angelis LC, Secchi S, Massirio P, Andreato C, Polleri G, et al. Helicopter Neonatal Transport: First Golden Hour at Birth Is Useful Tool Guiding Activation of Appropriate Resources. Air Med J. 2020;39(6):454–7. doi: https://doi.org/10.1016/j.amj.2020.09.002
17. Hirata K, Nozaki M, Mochizuki N, Hirano S, Wada K. Impact of Time to Neonatal Transport on Outcomes of Transient Tachypnea of the Newborn. Am J Perinatol. 2019 Aug;36(10):1090–6. doi: https://doi.org/10.1055/s-0038-1676490
18. Chien CY, Tsai SL, Tsai LH, Chen CB, Seak CJ, Weng YM, et al. Impact of Transport Time and Cardiac Arrest Centers on the Neurological Outcome After Out-of-Hospital Cardiac Arrest: A Retrospective Cohort Study. J Am Heart Assoc. 2020 Jun;9(11):e015544. doi: https://doi.org/10.1161/JAHA.119.015544
19. Chakkarapani AA, Whyte HE, Massé E, Castaldo M, Yang J, Lee KS; Canadian Neonatal Transport Network. Procedural Interventions and Stabilization Times During Interfacility Neonatal Transport. Air Med J. 2020;39(4):276–82. doi: https://doi.org/10.1016/j.amj.2020.04.007
20. Schultz RM, Natarajan G, Berk J, Wallace L. Inter-facility transports of critically ill neonates. Pediatrics. 2019 August;144(2_MeetingAbstract):869. .
21. Gray MM, Riley T, Greene ND, Mastroianni R, McLean C, Umoren RA, et al. Neonatal Transport Safety Metrics and Adverse Event Reporting: A Systematic Review. Air Med J. 2023;42(4):283–95. doi: https://doi.org/10.1016/j.amj.2023.05.001
22. Lee KS. Neonatal transport metrics and quality improvement in a regional transport service. Transl Pediatr. 2019 Jul;8(3):233–45. doi: https://doi.org/10.21037/tp.2019.07.04
23. Lee SK, Aziz K, Dunn M, Clarke M, Kovacs L, Ojah C, et al.; Canadian Neonatal Network. Transport Risk Index of Physiologic Stability, version II (TRIPS-II): a simple and practical neonatal illness severity score. Am J Perinatol. 2013 May;30(5):395–400.
24. Qu W, Shen Y, Qi Y, Jiang M, Zheng X, Zhang J, et al. Comparison of four neonatal transport scoring methods in the prediction of mortality risk in full-term, out-born infants: a single-center retrospective cohort study. Eur J Pediatr. 2022 Aug;181(8):3005–11. doi: https://doi.org/10.1007/s00431-022-04506-8
25. Schwartz HP, Bigham MT, Schoettker PJ, Meyer K, Trautman MS, Insoft RM; American Academy of Pediatrics Section on Transport Medicine. Quality Metrics in Neonatal and Pediatric Critical Care Transport: A National Delphi Project. Pediatr Crit Care Med. 2015 Oct;16(8):711–7. doi: https://doi.org/10.1097/PCC.0000000000000477
The appendix is available in the PDF version of this article at https://doi.org/10.57187/s.4307.