DOI: https://doi.org/https://doi.org/10.57187/s.4288
Atrial fibrillation (AF) remains a widespread and concerning cardiac arrhythmia, affecting millions of individuals worldwide. It is associated with a significantly increased risk of stroke, making it a major cause of morbidity and mortality [1, 2]. To mitigate this risk, oral anticoagulation therapy has been the standard of care for atrial fibrillation patients at high risk of stroke [2]. While oral anticoagulation therapy is generally effective in preventing stroke [3], it comes with a significant downside – the potential for severe or life-threatening bleeding complications, in particular intracranial haemorrhage. This inherent risk has led to a critical dilemma in the management of atrial fibrillation patients, who are at increased risk of thromboembolic events but also have comorbidities that heighten their likelihood of experiencing major bleeding events.
One viable solution to address this dilemma is left atrial appendage occlusion (LAAO). Two randomised controlled trials (RCTs) of LAAO versus warfarin published already ten years ago and a more recent trial of LAAO versus direct oral anticoagulation (DOAC) have demonstrated non-inferiority of LAAO in comparison to oral anticoagulation for preventing thromboembolic events in patients eligible for oral anticoagulation [4–7]. On top of that, the recently published OPTION trial also showed significantly fewer relevant bleeding events in all-comer patients after pulmonary vein isolation treated with LAAO as compared with DOAC [8]. LAAO even proved to have a mortality benefit for Watchman LAAO against vitamin K antagonists in the PROTECT-AF RCT [5] and for Amplatzer LAAO against DOACs in two large propensity score-matched studies [9, 10]. The mortality benefit emerges after a few years and continues to become more conspicuous with time, which is explainable by the accruing bleeding events in patients with oral anticoagulation. These events occur at an increasing rate as the patients get older and sicker. The protection against embolic events with oral anticoagulation suffers from the typically poor compliance [9]. It is therefore not really superior to that associated with LAAO, which represents a mechanical vaccination against embolic events and therefore has a 100% compliance rate [11]. All this, however, is not reflected in current guidelines. These guidelines suggest considering LAAO in atrial fibrillation patients with contraindications to oral anticoagulation [1, 2], with a IIb recommendation in the European and a IIa recommendation in the American guidelines. Interestingly, a contraindication to oral anticoagulation is an exclusion criterion in almost all RCTs on LAAO including the large ongoing Champion-AF and CATALYST trials, which are currently in the follow-up phase (ClinicalTrials.gov ID: NCT04394546 and NCT04226547, respectively). The ASAP-TOO study, which randomised patients with a contraindication to oral anticoagulation to treatment with LAAO or no treatment, was prematurely discontinued due to slow patient enrolment and it is unlikely that new randomised studies with adequate power will be available soon [12].
The hypothesis of this study was that atrial fibrillation patients at risk of thromboembolic events but concomitantly at high or very high risk of DOAC-related bleeding complications may benefit from LAAO with equally good stroke prevention compared to DOAC but with fewer bleeding complications due to less intense antithrombotic therapy. The study aim was to demonstrate both the effectiveness of thromboembolic protection, in terms of stroke and cardiovascular mortality, and its safety, in terms of bleeding rates, in a patient population at such high risk that – depending on the stroke prevention strategy – it is usually excluded from RCTs.
The Beat-AF (n = 1545) and Swiss-AF (n = 2415) studies constitute prospective, multicentre, observational cohort investigations conducted across 14 medical facilities in Switzerland, with enrolment spanning the years 2010 to 2014 and 2014 to 2017, respectively [13]. With the exception of individuals experiencing reversible forms of atrial fibrillation, those with acute illness within the preceding 4 weeks and those unable to provide informed consent, there were no significant exclusion criteria for participation in either study [13]. The start of participation in Beat-AF and Swiss-AF was determined as the initial contact between the patient and the study site. In both registries, atrial fibrillation patients received stroke prevention measures in accordance with prevailing guidelines [1]. Beyond this standard of care, no predefined interventions were implemented post-inclusion in the Beat-AF and Swiss-AF registries. For the present analysis, only patients treated with DOAC were included (n = 1230). Trained study personnel conducted yearly outpatient visits and annual telephone follow-ups, with systematic event adjudication.
The Zurich LAAO Registry is a combined prospective/retrospective, single-centre registry encompassing all atrial fibrillation patients undergoing LAAO at University Hospital Zurich. The procedural date aligned with the study entry in the LAAO group of this comparative study, where only patients with a suitably positioned LAA occluder at the conclusion of the procedure between June 2010 and October 2023 were considered in the current analysis. Standard methodologies from the literature were employed for LAAO procedures at University Hospital Zurich [14]. The procedures were performed either under general anaesthesia with transoesophageal echocardiography or under local anaesthesia and fluoroscopic guidance with or without intracardiac echocardiography, depending on the physician’s preference [15]. Periprocedural adverse events were incorporated for examination. Unsuccessful procedures were excluded, along with those involving concomitant transcatheter aortic valve implantation or transcatheter mitral valve edge-to-edge repair, owing to the elevated baseline risk associated with severe valvular heart disease. Follow-up involved periodic assessments during both inpatient and outpatient visits at University Hospital Zurich, extending to non-cardiology visits. For patients under the care of external physicians, family physicians were asked to complete a standardised follow-up questionnaire. In instances where family physicians lacked comprehensive follow-up data, direct contact with individual patients or their relatives was made via telephone. Documentation of the source of all adverse events was systematically compiled, and adjudication of adverse events was undertaken by two senior interventional cardiologists.
This study encompassed participants from all three registries, with the aim of constructing a cardinality-matched cohort to facilitate a comparative analysis of atrial fibrillation patients with a DOAC score of ≥8 [16] who were either treated with DOAC or underwent LAAO for primary or secondary stroke prevention, in a 1:1 ratio. In a second analysis, patients with a history of major bleeding either treated with LAAO or DOAC were cardinality-matched in a 1:2 ratio. Cardinality matching represents a refinement of propensity score matching that prioritises both balance (minimising differences in covariates between groups) and sample size (retaining the largest possible subset of units that satisfy a predefined level of balance). It explicitly sets constraints on differences in covariates, ensuring that matched groups are highly comparable. Instead of sequentially matching pairs, it solves an optimisation problem to find the best subset of treated and control units. By ensuring good balance across multiple covariates, it helps mitigate confounding and reduce selection bias, making comparisons more reliable.
The study specified a primary combined endpoint of stroke, cardiovascular death or major bleeding.
As secondary endpoints, the individual components of the primary combined endpoint were assessed. Major bleeding was defined according to the International Society of Thrombosis and Hemostasis criteria as either a fatal bleeding, a bleeding in a critical area or organ (e.g. intracranial haemorrhage of any origin) or a bleeding causing a fall of 2 g/dl in haemoglobin levels within 7 days or leading to transfusion of two or more units of whole blood or red blood cells [17]. The supplementary material includes the rate of clinically relevant bleeding events (major bleeding or clinically overt non-major bleeding that either led to hospital admission, required medical or surgical intervention or a change in antithrombotic therapy) in patients treated with DOAC or LAAO.
This investigation adhered to the ethical principles laid down in the Declaration of Helsinki. The study protocols for all three cohorts received approval from and can be accessed at the pertinent local ethics committees (Ethikkommission Nordwest- und Zentralschweiz, PB_2016_00793, and Kantonale Ethikkommission Zuerich, 2022-01431) or can be provided by the authors upon request. In the Swiss-AF and Beat-AF cohorts, explicit written informed consent was obtained from every participant. Within the Zurich LAAO Registry, individuals retrospectively included since 2016 granted general consent, acknowledging their willingness for their data to be utilised in research. Notably, for patients enrolled in this registry prior to 2016, the ethics committee (Kantonale Ethikkommission Zuerich, 2022-01431) waived the requirement to obtain informed consent and approved the approach of contacting either the patients or their respective family physicians as part of the follow-up process.
The distribution of continuous variables was assessed using density plots. Continuous variables were indicated as median with interquartile range (IQR) and were tested for differences with the student’s t-test or the Mann-Whitney U test, according to their distribution. Categorical variables were summarised as counts and percentages and analysed using Pearson’s chi-squared test or Fisher’s exact test. Long-term outcomes were assessed by constructing cumulative incidence curves. The proportional-hazards assumptions were verified with the use of Schoenfeld residuals. Considering the presence of competing risks that could be related to different risk profiles qualifying for a change in stroke prevention strategy in one group of patients, a Fine-Gray sub distribution hazards model was employed for the primary and secondary endpoints using the cmprsk package in R. A two-sided p-value <0.05 was considered statistically significant. R version 4.2 (R Foundation, Vienna, Austria) was used for the statistical analyses and the compilation of graphs.
To compare the various treatment strategies, cardinality matching was employed using the MatchIt package in R. The matching covariates for the main analysis examining patients with DOAC score ≥8 as well as for the analysis of patients with prior major bleeding were selected based on their clinical relevance and potential to confound the association of interest and included age, sex, hypertension, diabetes mellitus, dyslipidaemia, the presence of coronary artery disease (CAD), a history of heart failure, a history of stroke or transient ischaemic attack (TIA) as well as the individual CHA2DS2-VASc and DOAC scores. The balance of matching characteristics was assessed by estimating standardised mean differences (SMD) between groups. Operationally, the objective was to achieve a standardised mean difference of ≤0.20 to eliminate imbalance in a given variable between the groups. All patients in the included registries undergo annual follow-ups. If a patient was lost to follow-up, the last follow-up response was used only if clinical data were available for endpoint analyses.
Between 2010 and 2017, a total of 3960 patients were included in Beat-AF and Swiss-AF, while between 2010 and 2023, 473 patients received successful LAAO at University Hospital Zurich.
After cardinality matching, 478 atrial fibrillation patients with DOAC score ≥8 were included in the primary analysis (figure 1); 239 atrial fibrillation patients treated with DOAC were compared with 239 atrial fibrillation patients who underwent successful LAAO. The median age of patients was 79.4 (74.9 to 83.0) years and 64% were male. After cardinality matching, baseline characteristics were comparable between groups. The median CHA2DS2-VASc score was 5 (4 to 6) in both groups (SMD: 0.0) and the median DOAC score was 9 (8.5 to 10) in the DOAC group and 10 (8 to 10) in the LAAO group (SMD: 0.12). LAAO patients had better left ventricular (LV) function (55% [48 to 60] in the DOAC groups and 58% [53 to 62] in the LAAO group; SMD: 0.424) and renal function, as measured by a clinically irrelevant but statistically significant difference in glomerular filtration rate (53.1 [39.1–60.5] ml/min in the DOAC group and 56.0 [40.0–71.5] ml/min in the LAAO group; SMD: 0.247). There were more patients with previous major bleeding in the LAAO group (15% in the DOAC group versus 75% in the LAAO group; SMD: 1.521). Detailed baseline characteristics in the cohort of patients with a DOAC score ≥8 are summarised in table 1.

Figure 1Flowchart on patient matching of the two groups (direct oral anticoagulation [DOAC] score ≥8 and Prior Major Bleeding) using the MatchIt package in R (R Foundation, Vienna, Austria). AF: atrial fibrillation; LAAO: left atrial appendage occlusion; TAVI: transcatheter aortic valve implantation; TEER: transcatheter edge-to-edge-repair; TIA: transient ischaemic attack; VKA: vitamin K antagonist.
Table 1Baseline characteristics of matched patients with a direct oral anticoagulation (DOAC) score of ≥8 who were either treated with DOAC or with left atrial appendage occlusion (LAAO). Values are reported in n (%) or median (IQR).
| Characteristic | All (n = 478) | DOAC (n = 239) | LAAO (n = 239) | SMD |
| Age (years) | 79.4 (74.9–83.0) | 79.3 (74.8–82.8) | 80.0 (75.5–83.0) | 0.093 |
| Male sex (%) | 307 (64.2) | 154 (64.4) | 153 (64.0) | 0.009 |
| BMI (kg/m²) | 26.3 (23.6–29.2) | 26.8 (23.7–29.7) | 26.1 (23.5–28.7) | 0.152 |
| Hypertension (%) | 401 (83.9) | 197 (82.4) | 204 (85.4) | 0.08 |
| Diabetes mellitus (%) | 135 (28.2) | 63 (26.4) | 72 (30.1) | 0.084 |
| Dyslipidaemia (%) | 245 (51.3) | 115 (48.1) | 130 (54.4) | 0.126 |
| Coronary artery disease (%) | 167 (34.9) | 78 (32.6) | 89 (37.2) | 0.097 |
| Previous myocardial infarction (%) | 85 (17.8) | 41 (17.2) | 44 (18.4) | 0.033 |
| Previous percutaneous coronary intervention (%) | 115 (24.1) | 49 (20.5) | 66 (27.6) | 0.167 |
| Previous coronary artery bypass grafting (%) | 44 (9.2) | 27 (11.3) | 17 (7.1) | 0.145 |
| Congestive heart failure (%) | 125 (26.2) | 62 (25.9) | 63 (26.4) | 0.01 |
| Previous stroke or transient ischaemic attack (%) | 163 (34.1) | 79 (33.1) | 84 (35.1) | 0.044 |
| Previous systemic embolisation (%) | 23 (4.8) | 15 (6.3) | 8 (3.3) | 0.137 |
| Paroxysmal atrial fibrillation (%) | 259 (54.2) | 124 (51.9) | 135 (56.5) | 0.092 |
| Persistent or permanent atrial fibrillation (%) | 219 (45.8) | 115 (48.1) | 104 (43.5) | 0.092 |
| Previous major bleeding (%) | 216 (45.2) | 36 (15.1) | 180 (75.3) | 1.521 |
| CHA2DS2 VASc score | 5 (4–6) | 5 (4–6) | 5 (4–6) | 0.0 |
| DOAC score | 10 (8–10) | 9 (8.5–10) | 10 (8–10) | 0.12 |
| HAS BLED score | 3 (2–4) | 2 (2–3) | 4 (3–4) | 1.8 |
| Creatinine (µmol/l) | 104 (85.0–129.0) | 108 (93.0–130.3) | 97 (78.0–125.0) | 0.332 |
| GFR (ml/min) | 54.7 (39.2–65.0) | 53.1 (39.1–60.5) | 56.0 (40.0–71.5) | 0.247 |
| LVEF (%) | 58.0 (51.3–62.0) | 55.0 (48.0–60.0) | 58.0 (53.0–62.0) | 0.424 |
| Left atrium size (mm) | 45.0 (40.0–50.0) | 44.5 (40.0–50.0) | 45.0 (40.0–51.0) | 0.064 |
BMI: body mass index; GFR: glomerular filtration rate; LVEF: left ventricular ejection fraction; SMD: standardised mean difference.
Within the LAAO group, combined procedures were performed in 27% of patients (LAAO and concomitant diagnostic angiography in 22%, percutaneous coronary intervention [PCI] in 10%, patent foramen ovale [PFO] closure in 5% or atrial septal defect [ASD] closure in <1%) (table S1). Atrial fibrillation patients in the DOAC group were either started on DOAC or continued their previously prescribed DOAC after study entry. The majority of patients (76%) in the LAAO group received dual antiplatelet therapy for a median of 3 (1–6) months. Lifelong single antiplatelet therapy with either aspirin or clopidogrel monotherapy was chosen for 23% of patients after LAAO. Oral anticoagulation was prescribed in 1% of LAAO patients for various reasons for a median of 4 (2 to 19) months followed by single antiplatelet therapy lifelong.
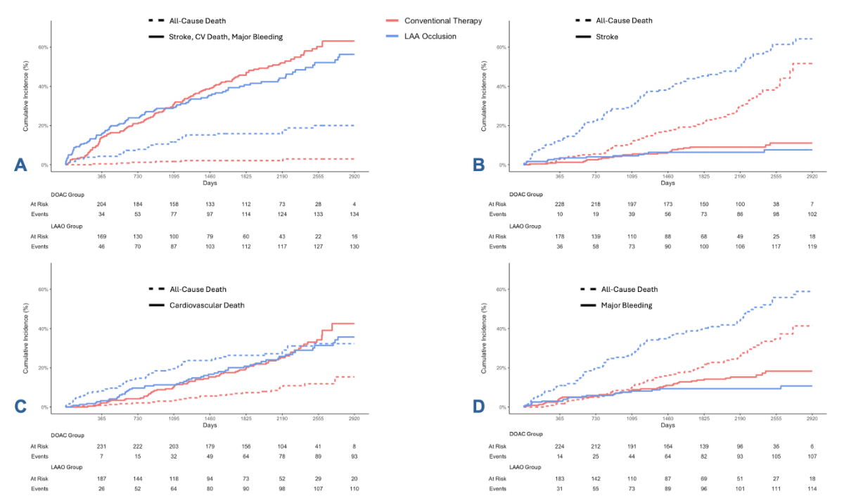
After a median follow-up time of 4.9 (2.2 to 6.1) years for all patients (5.9 [4.1 to 6.3] years in the DOAC group and 2.9 [1.2 to 5.4] years in the LAAO group), there was no difference in the primary combined endpoint of stroke, cardiovascular death or major bleeding (118 events in the DOAC group and 88 events in the LAAO group; hazard ratio [HR]: 0.88, 95% confidence interval [CI]: 0.67–1.14, p = 0.33; figure 2A) between the matched cohorts of patients anticoagulated with a DOAC versus those who underwent LAAO. While there was no significant difference in the occurrence of stroke (20 in the DOAC group versus 11 in the LAAO group; HR: 0.74, 95% CI: 0.39–1.42, p = 0.36; figure 2B) or cardiovascular death (68 in the DOAC group versus 56 in the LAAO group; HR: 0.97, 95% CI: 0.68–1.38, p = 0.85; figure 2C), a significantly lower rate of major bleeding events (38 in the DOAC group versus 21 in the LAAO group; HR: 0.55, 95% CI: 0.32–0.94, p = 0.029; figure 2D) and a significantly lower rate of clinically relevant bleedings (79 in the DOAC group versus 50 in the LAAO group; HR: 0.70, 95% CI: 0.50–0.99, p = 0.048; supplementary material, figure S1) was demonstrated in the LAAO group.

Figure 2Cumulative incidence curves on long-term outcome of patients with a direct oral anticoagulation (DOAC) score≥8 treated either with DOAC or with left atrial appendage occlusion (LAAO). While there was no significant difference in the combined endpoint of stroke, cardiovascular (CV) death and major bleeding ([A] HR: 0.88, 95% CI: 0.67–1.14, p = 0.33) and no significant difference in the stroke rate ([B] HR: 0.74, 95% CI: 0.39–1.42, p = 0.36) or in the rate of cardiovascular death ([C] HR: 0.97, 95% CI: 0.68–1.38, p = 0.85), patients with LAAO experienced significantly fewer major bleeding events during follow-up ([D] HR: 0.55, 95% CI: 0.32–0.94, p = 0.029). LAA: left atrial appendage.
Following the matching process using the same matching criteria as outlined in the “Methods” section, 53 atrial fibrillation patients with previous major bleeding managed with conventional stroke prevention using DOAC were compared to 106 atrial fibrillation patients with previous major bleeding who underwent successful LAAO. The median age of patients was 74.0 (69.0 to 79.0) years and 63% were male. Baseline characteristics including stroke risk and estimated bleeding risk under DOAC were comparable in both groups. The median CHA2DS2-VASc score was 4 (2 to 5) in the DOAC group and 4 (3 to 5) in the LAAO group (SMD: 0.177) and the median DOAC score was 9 (7 to 10) in both groups (SMD: 0.047). Persistent or permanent atrial fibrillation was more commonly documented in patients in the DOAC group (59% in the DOAC group versus 42% in the LAAO group; SMD: 0.364). Although coronary artery disease was equally distributed among both groups (SMD: 0.102), as was previous myocardial infarction (SMD: 0.119), there were more patients with previous percutaneous coronary intervention in the LAAO group (9% vs 21%; SMD: 0.32) and more patients with prior coronary artery bypass grafting (CABG) in the DOAC group (15% vs 3%; SMD: 0.44). LAAO patients had slightly worse left ventricular function (60% [56 to 65] in the DOAC group and 58% [52 to 62] in the LAAO group; SMD: 0.392). Renal function was slightly better in the LAAO group as measured by a glomerular filtration rate of 55.6 (44.7 to 64.6) ml/min in the DOAC group versus 65.0 (45.0 to 83.3) ml/min in the LAAO group (SMD: 0.419). Detailed baseline characteristics of patients with previous major bleeding are summarised in table 2. Within the LAAO group, 22% of patients underwent a combined procedure of LAAO and either concomitant diagnostic angiography (19%), percutaneous coronary intervention (7%) or patent foramen ovale closure (4%) (table S2).
Table 2Baseline characteristics of matched patients with prior major bleeding who were either treated with direct oral anticoagulation (DOAC) or with left atrial appendage occlusion (LAAO). Values are reported in n (%) or median (IQR).
| Characteristic | All (n = 159) | DOAC (n = 53) | LAAO (n = 106) | SMD |
| Age (years) | 74.0 (69.0–79.0) | 75.0 (69.5–78.3) | 74.0 (69.0–79.0) | 0.038 |
| Male sex (%) | 100 (62.9) | 32 (60.4) | 68 (64.2) | 0.078 |
| BMI (kg/m²) | 26.5 (23.5–30.1) | 27.2 (23.9–30.1) | 26.4 (23.5–30.1) | 0.084 |
| Hypertension (%) | 126 (79.2) | 41 (77.4) | 85 (80.2) | 0.069 |
| Diabetes mellitus (%) | 40 (25.2) | 12 (22.6) | 28 (26.4) | 0.088 |
| Dyslipidaemia (%) | 78 (49.1) | 27 (51.0) | 52 (49.1) | 0.038 |
| Coronary artery disease (%) | 50 (31.4) | 15 (28.3) | 35 (33.0) | 0.102 |
| Previous myocardial infarction (%) | 17 (10.7) | 7 (13.2) | 10 (9.4) | 0.119 |
| Previous percutaneous coronary intervention (%) | 27 (17.0) | 5 (9.4) | 22 (20.8) | 0.32 |
| Previous coronary artery bypass grafting (%) | 11 (6.9) | 8 (15.1) | 3 (2.8) | 0.44 |
| Congestive heart failure (%) | 45 (28.3) | 14 (26.4) | 31 (29.2) | 0.063 |
| Previous stroke or transient ischaemic attack (%) | 25 (15.7) | 7 (13.2) | 18 (17.0) | 0.106 |
| Previous systemic embolisation (%) | 5 (3.1) | 3 (5.7) | 2 (1.9) | 0.199 |
| Paroxysmal atrial fibrillation (%) | 85 (53.5) | 22 (41.5) | 63 (59.4) | 0.364 |
| Persistent or permanent atrial fibrillation (%) | 74 (46.5) | 31 (58.5) | 43 (40.6) | 0.364 |
| Previous major bleeding (%) | 159 (100.0) | 53 (100.0) | 106 (100.0) | NA |
| CHA2DS2 VASc score | 4.0 (3.0–5.0) | 4.0 (2.0–5.0) | 4.0 (3.0–5.0) | 0.177 |
| DOAC score | 9.0 (7.0–10.0) | 9.0 (7.0–10.0) | 9.0 (7.3–10.0) | 0.047 |
| HAS BLED score | 3.0 (3.0–4.0) | 3.0 (2.0–3.0) | 3.0 (3.0–4.0) | 0.9 |
| Creatinine (µmol/l) | 93 (78.0–119.0) | 104 (84.5–125.5) | 90.5 (75.3–115.0) | 0.37 |
| GFR (ml/min) | 60.8 (45.0–79.0) | 55.6 (44.7–64.6) | 65.0 (45.0–83.3) | 0.419 |
| LVEF (%) | 58.5 (51.8–62.0) | 60.0 (55.5–65.0) | 58.0 (52.0–62.0) | 0.392 |
| Left atrium size (mm) | 44.0 (40.0–49.0) | 43.0 (40.0–46.0) | 45.0 (40.5–49.5) | 0.353 |
BMI: body mass index; GFR: glomerular filtration rate; LVEF: left ventricular ejection fraction; SMD: standardised mean difference.
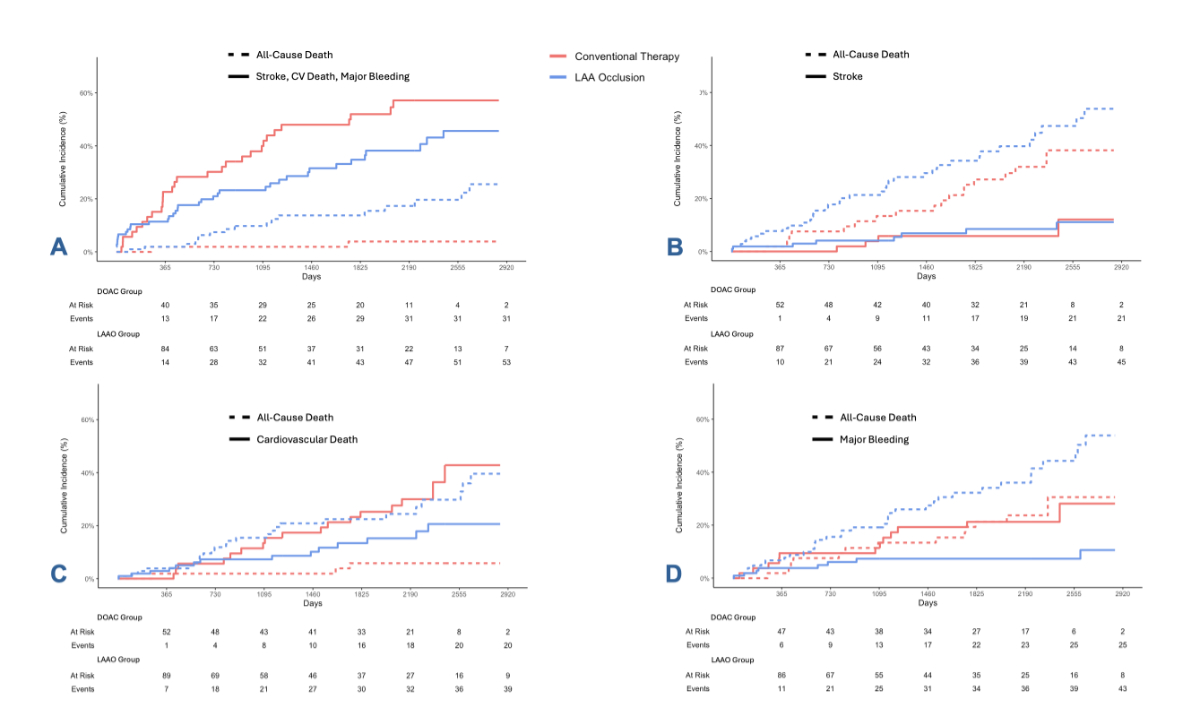
When comparing the matched cohorts of patients with a history of major bleeding, after a median follow-up time of 4.4 (2.0 to 6.0) years for all patients (5.9 [4.3 to 6.0] years in the DOAC group and 3.2 [1.5 to 6.0] years in the LAAO group), there was no significant difference regarding the primary composite endpoint of stroke, cardiovascular death or major bleeding (31 events in 53 DOAC patients versus 29 events in 106 LAAO patients; HR: 0.79, 95% CI: 0.50–1.27, p = 0.33; figure 3A). There were no significant differences between the two groups in the occurrence of stroke (2 strokes in 53 DOAC patients and 6 strokes in 106 LAAO patients; HR: 1.09, 95% CI: 0.33–3.62, p = 0.89; figure 3B) or cardiovascular death (17 cardiovascular deaths in 53 DOAC patients and 15 cardiovascular deaths in 106 LAAO patients; HR: 0.91, 95% CI: 0.50–1.64, p = 0.74; figure 3C). However, the LAAO group had a significantly lower rate of major bleeding events (12 in 53 DOAC patients versus 8 in 106 LAAO patients; HR: 0.32, 95% CI: 0.13–0.79, p = 0.013; figure 3D) and a significantly lower rate of clinically relevant bleedings (21 in 53 DOAC patients versus 21 in 106 LAAO patients; HR: 0.45, 95% CI: 0.24–0.83, p = 0.01; supplementary material, figure S2).

Figure 3Cumulative incidence curves on long-term outcome of patients with previous major bleedingtreated either with direct oral anticoagulation (DOAC) or with left atrial appendage occlusion (LAAO). While there was no significant difference in the combined endpoint of stroke, cardiovascular (CV) death and major bleeding ([A] HR: 0.79, 95% CI: 0.50–1.27, p = 0.33) and no significant difference in the stroke rate ([B] HR: 1.09, 95% CI: 0.33–3.62, p = 0.89) or in the rate of cardiovascular death ([C] HR: 0.91, 95% CI: 0.50–1.64, p = 0.74), patients with LAAO experienced significantly fewer major bleeding events during follow-up ([D] HR: 0.32, 95% CI: 0.13–0.79, p = 0.013). LAA: left atrial appendage.
This study demonstrates that atrial fibrillation patients with an indication for stroke prevention and a high or very high bleeding risk according to a direct oral anticoagulation (DOAC) score of ≥8 or a history of major bleeding have lower rates of major bleeding events and similar rates of cardiovascular death and stroke at long-term follow-up when treated with left atrial appendage occlusion (LAAO) as compared to a DOAC.
Current guidelines recommend to only treat patients with LAAO if they have absolute contraindications to oral anticoagulation [1, 18]. While the European Society of Cardiology limits the indication for LAAO to patients with a history of major bleeding events with an irreversible cause (ESC Class IIb recommendation) [2], the American guidelines add recurrent falls as another potential contraindication to oral anticoagulation (ACC/AHA/ACCP/HRS Class IIa recommendation) [18]. Generally, the definition of contraindication to oral anticoagulation in the literature remains blurry. The ASAP-TOO study required a shared decision by two physicians that a patient was deemed unsuitable for oral anticoagulation based on a history of bleeding, blood dyscrasia and falls or other reasons to be defined as contraindicated [12]. Similarly, consensus papers written by LAAO experts but also by non-interventional cardiologists recommend a more liberal indication for LAAO including atrial fibrillation patients with recurrent bleeding events on oral anticoagulation, patients with severely reduced renal function, patients with haemophilia, very frail patients with an elevated risk of falls or a history of recurrent falls, and also taking into consideration a patient’s wish to avoid oral anticoagulation [14, 19].
Bleeding risk scores have been established to predict a patient’s risk of major bleeding events. Comparing them to the risk of thromboembolism in atrial fibrillation patients is the challenge for the treating physician balancing both risks and deciding on the optimal stroke prevention strategy. As DOACs have replaced vitamin K antagonists during the last ten years owing to their lower risk of major bleeding [20–23], the DOAC score was recently established for more accurate bleeding prediction in the current era [16]. A score of 8 or 9 is assigned a high bleeding risk (5–9.99% per year) and a maximum score of 10 a very high bleeding risk (≥10% per year). A history of major bleeding on oral anticoagulation represents an important criterion in all available bleeding risk scores and is the most common indication for LAAO in current practice [16, 24].
As LAAO is already accepted as a valid stroke prevention strategy, at least in patients with contraindications to oral anticoagulation despite a lack of randomised data on that topic [1, 2], new randomised controlled trials (RCTs) involving such patients are hard to perform. After premature termination of ASAP-TOO, it is unlikely that there will be an RCT enrolling patients with contraindications to oral anticoagulation in the near future. The only published RCT comparing LAAO to DOAC therapy showed that stroke prevention with LAAO resulted in similar stroke rates but significantly fewer bleeding complications after four years of follow-up [7]. While in the respective study by Osmancik et al., patients with high bleeding risk or patients with prior clinically relevant bleeding were included, only half of patients had a history of previous bleeding requiring intervention or hospitalisation. The number of patients with previous major bleeding according to the ISTH criteria is unknown in that study but expected to be low [17]. Furthermore, an important part of the inclusion criteria of that study was the HAS BLED score, which based its prognostic value for the estimation of major bleeding events on patients treated with a vitamin K antagonist [25]. Therefore, the degree of (estimated) bleeding risk of patients included in the study by Osmancik et al. remains somewhat speculative [7]. As matched comparisons represent the second-highest grade of evidence after randomised controlled data, the current study provides important and reassuring evidence on stroke prevention using LAAO in atrial fibrillation patients with high or very high bleeding risk. While stroke reduction by LAAO was not significantly better than that by DOACs in both cohorts (DOAC score ≥8 and history of major bleeds), there was a numerically smaller stroke rate after LAAO by almost 50% and 30%, respectively. Hence, closing the left atrial appendage for stroke prevention in atrial fibrillation may not be a must compared to DOACs but it certainly looks attractive and should be elevated at least to the level of DOACs in the guidelines, because of the significantly reduced bleeding risk.
Previous propensity score-matched studies by Gloekler et al., Nielsen-Kudsk et al., Elsheikh et al. and our group also showed favourable results of LAAO in comparison to oral anticoagulation [9, 10, 26, 27]. However, both vitamin K antagonists and DOAC were used in the control group of the study by Gloekler et al. and all four studies focused primarily on patients with high stroke risk but not specifically on patients at highest risk of bleeding [9, 10, 26, 27]. Our first comparison between atrial fibrillation patients treated either conventionally or with LAAO also included patients from the Zurich LAAO Registry as well as from the Beat-AF and Swiss-AF cohort studies [27]. Only 50% of patients in the control group received DOAC therapy, 42% were treated with a vitamin K antagonist and 8% did not receive any stroke prevention [27]. While the first paper focused on secondary stroke prevention and a patient population with highest stroke risk in general, the present paper focused on a population with highest bleeding risk requiring different matching criteria and only patients treated with DOACs, the current standard of oral anticoagulation for most patients, were included in the control group for analysis.
Besides the obvious benefits of LAAO compared to oral anticoagulation in atrial fibrillation-related stroke prevention representing a one-time procedure obviating the risk associated with medication malcompliance, critical factors contributing to the relatively limited adoption of LAAO are its potential periprocedural risks, device-related complications and the challenge associated with antithrombotic therapy post-LAAO [28]. The optimal regimen for antiaggregation, the duration and individualised protocols have not been well established, leading to uncertainty and hesitancy among clinicians. This underscores the need for further research in this area to define recommendations for post-LAAO antithrombotic therapy. Based on the curves in figures 2D and 3D, the present study did not show any significant rise in bleeding events during the first three months following LAAO, the time when the vast majority of LAAO patients was on dual antiplatelet therapy. This adds to the encouraging literature about dual antiplatelet therapy being safe in patients with previous bleeding events under oral anticoagulation [29]. Alternative antithrombotic medication protocols like half-dose DOAC have been tested with promising results [30]. Single antiplatelet therapy following LAAO has been used in a few cases in our registry and also worldwide. Data on the routine implementation of single antiplatelet therapy, however, are lacking, although from a pathophysiological perspective single antiplatelet therapy could have its justification and could potentially minimise bleeding rates even more. An RCT comparing the different protocols will be needed to clarify the optimal antithrombotic strategy post-LAAO.
Medication-based alternatives to DOAC and LAAO for atrial fibrillation patients with elevated bleeding risk, namely factor XI inhibitors, are being studied but despite their promising theoretical pharmacological effects, the OCEANIC-AF study (NCT05643573), the first RCT comparing this novel anticoagulation agent to DOAC, was prematurely terminated due to inferior efficacy with regards to thromboembolic protection [31].
This is a non-randomised comparison. Despite matching, there is residual confounding probably due to a selection bias, reflected by the significantly higher all-cause mortality rates in the LAAO group compared to the DOAC group (represented by the dotted lines in figures 2 and 3). This shows that patients currently referred for LAAO may represent an extremely high-risk group, often due to comorbidities that also increase their risk of bleeding events which could be supported by the observation of many more cancer-related deaths and more deaths from infection or sepsis in the LAAO group (list of non-cardiovascular mortality causes in supplementary material). Risk scores like the CHA2DS2 VASc and the DOAC scores are imperfect matching parameters [16, 32]. Although they help in estimating the likelihood of a certain event, they do not represent measurable characteristics. To compensate for this, a large number of measurable baseline characteristics was chosen for the matching process. However, despite adequate matching, the real bleeding risk, at least in the analysis of patients with a high DOAC score, is likely to be higher in the LAAO group as it included many more patients with a history of major bleeding. Although outdated in the current DOAC era and therefore not a matching criterion, the HAS BLED score, a more traditional risk score estimating the risk of major bleeding events in atrial fibrillation patients when treated with a vitamin K antagonist, is significantly higher in both LAAO groups [25]. This, however, highlights the potential of LAAO in such high-risk populations as the bleeding rates at follow-up are still significantly lower among the patients treated with LAAO in both analyses. Although a success rate of LAAO of around 98% is reported in the current literature [33], which corresponds to results in the Zurich LAAO Registry [15], only successful LAAO procedures were included in the current study which represents another limitation.
Strengths of the study include the observational design allowing a broader and more inclusive patient population, thus offering valuable insights into the real-world utilisation of LAAO, and the long-term follow-up. Nevertheless, based on the nature of this study it needs to be highlighted that retrospective studies can only provide hypothesis-generating results and are not intended to provide definitive evidence.
In patients with atrial fibrillation and a high bleeding risk and in patients with a history of major bleeding, percutaneous LAAO may provide similar stroke prevention and a reduced risk of bleeding on long-term follow-up compared to DOAC therapy. Acknowledging the still-lacking RCTs to confirm these hypotheses-generating data, to LAAO as first-line stroke protection in patients with atrial fibrillation, at least in patients with a life expectancy of 5 years or more.
As this study contains large raw patient data of three different cohorts including multiple parameters not relevant to this manuscript, the authors were granted access to the requested information necessary for the production of the current analysis from the responsible study board. Access to the deidentified patient data from all three cohorts used for matching can be granted by the corresponding author upon request.
The Swiss‐AF study is supported by grants from the Swiss National Science Foundation (grant numbers 33CS30_148474, 33CS30_177520, 32473B_176178 and 32003B_197524), the Swiss Heart Foundation, the Foundation for Cardiovascular Research Basel (FCVR) and the University of Basel. No funding is involved in the Zurich LAAO Registry and the production of this manuscript.
All authors have completed and submitted the International Committee of Medical Journal Editors form for disclosure of potential conflicts of interest. – Stefanie Aeschbacher has received speaker fees from Roche Diagnostics, unrelated to this article. – Jürg H. Beer reports grant support from the Swiss National Foundation of Science, The Swiss Heart Foundation and the Stiftung Kardio and grant support, speakers and consultation fees to the institution from Bayer, Sanofi and Daichii Sankyo, unrelated to this article. – Ronald Binder is a proctor for Boston Scientific. He was supported for attending meetings and/or travel by Pfizer, Boehringer, Abbott and Daichii, unrelated to this article. – Leo H. Bonati reports personal fees and nonfinancial support from Amgen, grants from AstraZeneca, personal fees and nonfinancial support from Bayer, personal fees from Bristol-Myers Squibb, personal fees from Claret Medical, grants from Swiss National Science Foundation, grants from University of Basel, grants from Swiss Heart Foundation, outside the submitted work. – Alessandro Candreva reports consulting fees from Medyria AG and Nanoflex AG and stock or stock options from Nanoflex AG , unrelated to this article. – Mi Chen received grant from Boston Scientific and Edwards Lifesciences, unrelated to this article, and has served as consultant for Jenscare Scientific, unrelated to this article. – David Conen received consulting fees from Roche Diagnostics and speaker fees from Servier and BMS/Pfizer, all outside of the current work. – Davide Di Vece: fees for lectures, presentations, speakers bureaus, manuscript writing or educational events from AstraZeneca and Medpoint GmbH, unrelated to this article. – Mario Gehler: support for atending meetings and/or travel from Abbott, Shockwave Medical and Vascular Medical, unrelated to this article. – Thomas Gilhofer: support for the attendance of industry sponsored meetings by Abbott and Boston Scientific, unrelated to this article. – Philipp Jakob: support for attending meetings and/or travel by Bayer, unrelated to this article. – Markus Kasel is a proctor for Edwards Lifesciences. He was supported for attending meetings and/or travel by Abbott and Boston Scientific, unrelated to this article. – Philipp Krisai reports speaker fees from BMS/Pfizer and grants from the SNSF, Swiss Heart Foundation, Foundation for Cardiovascular Research Basel and Machaon Foundation, unrelated to this article. – Michael Kühne reports personal fees from Bayer, Boehringer Ingelheim, Pfizer, BMS, Daiichi Sankyo, Medtronic, Biotronik, Boston Scientific, Johnson&Johnson, Roche and grants from Bayer, Pfizer, Boston Scientific, BMS, Biotronik and Daiichi Sankyo, unrelated to this article. – Jonathan Michel is a proctor for Boston Scientific. – Giorgio Moschovitis has received advisory board or speaker’s fees from Astra Zeneca, Bayer, Boehringer Ingelheim, Daiichi Sankyo, Gebro Pharma, Novartis and Vifor, all outside of the submitted work. – Fabian Nietlispach is a consultant for Abbot and Edwards Lifesciences. – Stefan Osswald: Research grant from Swiss National Science Foundation (SNSF) for Swiss AF Cohort study (33CS30_18474/1&2). Research grant from SNSF for Swiss AF Control study (324730_192394/ 1). Research grants from Swiss Heart Foundation. Research grants from Foundation for CardioVascular Research Basel. Research grants from Roche. Educational and Speaker Office grants from Roche, Bayer, Novartis, Sanofi AstraZeneca, Daiichi-Sankyo, Pfizer, unrelated to this article. – Tobias Reichlin: Grants, consulting fees and honoraria from Boston Scientific, Biotronik, Medtronic, Biosense Webster, Farapulse, Bayer and BMS-Pfizer, all paid to the institution and unrelated to this article. – Barbara E. Stähli and her research were supported by a donation of H. H. Sheikh Khalifa bin Hamad Al-Thani to the University of Zurich, Switzerland, and research grants to the institution from the OPO Foundation, the Iten-Kohaut Foundation, the German Centre for Cardiovascular Research, the German Heart Research Foundation, the B. Braun Foundation, Boston Scientific, and Edwards Lifesciences. She has received consulting and speaker fees from Boston Scientific, Abbott Vascular, and MedAlliance, unrelated to this article. – Julia Stehli: support for attending meetings by Abbott and Edwards Lifescience, unrelated to this article. – Christian Templin: consulting fees from Biotronik, Microport and Innova and support for attending meetings and/or travel from Abbott Vascular, Medtronic, SMT, Biotronik, Microport and Innova, unrelated to this article; support by donation of H. H. Sheikh Khalifa bin Hamad Al-Thani to the University of Zurich, Switzerland, and institutional grants from Abbott Vascular, Medtronic and SMT, unrelated to this article. – All other authors have no conflicts of interest to declare.
1. Hindricks G, Potpara T, Dagres N, Arbelo E, Bax JJ, Blomström-Lundqvist C, et al.; ESC Scientific Document Group. 2020 ESC Guidelines for the diagnosis and management of atrial fibrillation developed in collaboration with the European Association for Cardio-Thoracic Surgery (EACTS): The Task Force for the diagnosis and management of atrial fibrillation of the European Society of Cardiology (ESC) Developed with the special contribution of the European Heart Rhythm Association (EHRA) of the ESC [Erratum in: Eur Heart J. 2021 Oct 21;42] [40] [:4194. doi: 10.1093/eurheartj/ehab648. PMID: 32860505]. Eur Heart J. 2021 Feb;42(5):373–498.
2. Van Gelder IC, Rienstra M, Bunting KV, Casado-Arroyo R, Caso V, Crijns HJ, et al.; ESC Scientific Document Group. 2024 ESC Guidelines for the management of atrial fibrillation developed in collaboration with the European Association for Cardio-Thoracic Surgery (EACTS) [Erratum in: Eur Heart J. 2025 Jul 07:ehaf306. doi: 10.1093/eurheartj/ehaf306. PMID: 39210723]. Eur Heart J. 2024 Sep;45(36):3314–414.
3. Hart RG, Benavente O, McBride R, Pearce LA. Antithrombotic therapy to prevent stroke in patients with atrial fibrillation: a meta-analysis. Ann Intern Med. 1999 Oct;131(7):492–501.
4. Holmes DR Jr, Doshi SK, Kar S, Price MJ, Sanchez JM, Sievert H, et al. Left Atrial Appendage Closure as an Alternative to Warfarin for Stroke Prevention in Atrial Fibrillation: A Patient-Level Meta-Analysis. J Am Coll Cardiol. 2015 Jun;65(24):2614–23.
5. Reddy VY, Sievert H, Halperin J, Doshi SK, Buchbinder M, Neuzil P, et al.; PROTECT AF Steering Committee and Investigators. Percutaneous left atrial appendage closure vs warfarin for atrial fibrillation: a randomized clinical trial [Erratum in: JAMA. 2015 Mar 10;313] [10] [:1061. PMID: 25399274]. JAMA. 2014 Nov;312(19):1988–98.
6. Holmes DR Jr, Kar S, Price MJ, Whisenant B, Sievert H, Doshi SK, et al. Prospective randomized evaluation of the Watchman Left Atrial Appendage Closure device in patients with atrial fibrillation versus long-term warfarin therapy: the PREVAIL trial [Erratum in: J Am Coll Cardiol. 2014 Sep 16;64] [11] [:1186. PMID: 24998121]. J Am Coll Cardiol. 2014 Jul;64(1):1–12.
7. Osmancik P, Herman D, Neuzil P, Hala P, Taborsky M, Kala P, et al.; PRAGUE-17 Trial Investigators. 4-Year Outcomes After Left Atrial Appendage Closure Versus Nonwarfarin Oral Anticoagulation for Atrial Fibrillation. J Am Coll Cardiol. 2022 Jan;79(1):1–14.
8. Wazni OM, Saliba WI, Nair DG, Marijon E, Schmidt B, Hounshell T, et al.; OPTION Trial Investigators. Left Atrial Appendage Closure after Ablation for Atrial Fibrillation. N Engl J Med. 2025 Apr;392(13):1277–87.
9. Nielsen-Kudsk JE, Korsholm K, Damgaard D, Valentin JB, Diener HC, Camm AJ, et al. Clinical Outcomes Associated With Left Atrial Appendage Occlusion Versus Direct Oral Anticoagulation in Atrial Fibrillation. JACC Cardiovasc Interv. 2021 Jan;14(1):69–78.
10. Gloekler S, Fürholz M, de Marchi S, Kleinecke C, Streit SR, Buffle E, et al. Left atrial appendage closure versus medical therapy in patients with atrial fibrillation: the APPLY study. EuroIntervention. 2020 Oct;16(9):e767–74.
11. Nietlispach F, Moarof I, Taramasso M, Maisano F, Meier B. Left atrial appendage occlusion. EuroIntervention. 2017;13(AA):AA78-AA84. doi: . PMID: 28942389.
12. Holmes DR, Reddy VY, Buchbinder M, Stein K, Elletson M, Bergmann MW, et al. The Assessment of the Watchman Device in Patients Unsuitable for Oral Anticoagulation (ASAP-TOO) trial. Am Heart J. 2017 Jul;189:68–74.
13. Conen D, Rodondi N, Mueller A, Beer J, Auricchio A, Ammann P, et al. Design of the Swiss Atrial Fibrillation Cohort Study (Swiss-AF): structural brain damage and cognitive decline among patients with atrial fibrillation. Swiss Med Wkly. 2017 Jul;147(2728):w14467.
14. Glikson M, Wolff R, Hindricks G, Mandrola J, Camm AJ, Lip GY, et al.; ESC Scientific Document Group. EHRA/EAPCI expert consensus statement on catheter-based left atrial appendage occlusion - an update. Europace. 2020 Feb;22(2):184.
15. Gilhofer TS, Schweiger V, Gehler M, Bokemeyer V, Chen M, Candreva A, et al. Long-term outcomes after echocardiography versus fluoroscopy-guided left atrial appendage closure: is there still a role for a simplified approach? Catheter Cardiovasc Interv. 2024 Aug;104(2):343–55.
16. Aggarwal R, Ruff CT, Virdone S, Perreault S, Kakkar AK, Palazzolo MG, et al. Development and Validation of the DOAC Score: A Novel Bleeding Risk Prediction Tool for Patients With Atrial Fibrillation on Direct-Acting Oral Anticoagulants. Circulation. 2023 Sep;148(12):936–46.
17. Schulman S, Kearon C; Subcommittee on Control of Anticoagulation of the Scientific and Standardization Committee of the International Society on Thrombosis and Haemostasis. Definition of major bleeding in clinical investigations of antihemostatic medicinal products in non-surgical patients. J Thromb Haemost. 2005 Apr;3(4):692–4.
18. Joglar JA, Chung MK, Armbruster AL, Benjamin EJ, Chyou JY, Cronin EM, et al.; Peer Review Committee Members. 2023 ACC/AHA/ACCP/HRS Guideline for the Diagnosis and Management of Atrial Fibrillation: A Report of the American College of Cardiology/American Heart Association Joint Committee on Clinical Practice Guidelines. Circulation. 2024 Jan;149(1):e1–156. doi: https://doi.org/10.1161/CIR.0000000000001193
19. Potpara T, Grygier M, Häusler KG, Nielsen-Kudsk JE, Berti S, Genovesi S, et al. Practical guide on left atrial appendage closure for the non-implanting physician: an international consensus paper. Europace. 2024 Mar;26(4):euae035. doi: https://doi.org/10.1093/europace/euae035
20. Connolly SJ, Ezekowitz MD, Yusuf S, Eikelboom J, Oldgren J, Parekh A, et al.; RE-LY Steering Committee and Investigators. Dabigatran versus warfarin in patients with atrial fibrillation. N Engl J Med. 2009 Sep;361(12):1139–51. doi: https://doi.org/10.1056/NEJMoa0905561
21. Connolly SJ, Eikelboom J, Joyner C, Diener HC, Hart R, Golitsyn S, et al.; AVERROES Steering Committee and Investigators. Apixaban in patients with atrial fibrillation [Erratum in: N Engl J Med. 2010 Nov 4;363] [19] [:1877. PMID: 19717844]. N Engl J Med. 2011 Mar;364(9):806–17. doi: https://doi.org/10.1056/NEJMoa1007432
22. Granger CB, Alexander JH, McMurray JJ, Lopes RD, Hylek EM, Hanna M, et al.; ARISTOTLE Committees and Investigators. Apixaban versus warfarin in patients with atrial fibrillation. N Engl J Med. 2011 Sep;365(11):981–92.
23. Patel MR, Mahaffey KW, Garg J, Pan G, Singer DE, Hacke W, et al.; ROCKET AF Investigators. Rivaroxaban versus warfarin in nonvalvular atrial fibrillation. N Engl J Med. 2011 Sep;365(10):883–91.
24. Chang G, Xie Q, Ma L, Hu K, Zhang Z, Mu G, et al. Accuracy of HAS-BLED and other bleeding risk assessment tools in predicting major bleeding events in atrial fibrillation: A network meta-analysis. J Thromb Haemost. 2020 Apr;18(4):791–801.
25. Pisters R, Lane DA, Nieuwlaat R, de Vos CB, Crijns HJ, Lip GY. A novel user-friendly score (HAS-BLED) to assess 1-year risk of major bleeding in patients with atrial fibrillation: the Euro Heart Survey. Chest. 2010 Nov;138(5):1093–100.
26. Elsheikh S, Alobaida M, Bucci T, Buckley BJ, Gupta D, Irving G, et al. Left Atrial Appendage Occlusion versus Direct Oral Anticoagulants in the Prevention of Ischaemic Stroke in Patients with Atrial Fibrillation. Cerebrovasc Dis. 2025;54(1):81–88.
27. Gilhofer T, Bokemeyer V, Schweiger V, Gehler M, Michel J, Chen M, et al. Long-Term Outcome of Patients with Atrial Fibrillation and High Risk of Stroke Treated with Oral Anticoagulation or Left Atrial Appendage Occlusion: A Cardinality Matched Analysis. Cardiology. 2024 Oct:1–15. ; Epub ahead of print.
28. Kramer A, Patti G, Nielsen-Kudsk JE, Berti S, Korsholm K. Left Atrial Appendage Occlusion and Post-procedural Antithrombotic Management. J Clin Med. 2024 Jan;13(3):803.
29. Gilhofer TS, Nestelberger T, Kang M, Inohara T, Alfadhel M, McAlister C, et al. Stroke Prevention With Left Atrial Appendage Closure in Patients With Atrial Fibrillation and Prior Intracranial Hemorrhage. CJC Open. 2023 Mar;5(6):404–11.
30. Della Rocca DG, Magnocavallo M, Di Biase L, Mohanty S, Trivedi C, Tarantino N, et al. Half-Dose Direct Oral Anticoagulation Versus Standard Antithrombotic Therapy After Left Atrial Appendage Occlusion. JACC Cardiovasc Interv. 2021 Nov;14(21):2353–64.
31. Piccini JP, Patel MR, Steffel J, Ferdinand K, Van Gelder IC, Russo AM, et al.; OCEANIC-AF Steering Committee and Investigators. Asundexian versus Apixaban in Patients with Atrial Fibrillation. N Engl J Med. 2025 Jan;392(1):23–32.
32. Lip GY, Nieuwlaat R, Pisters R, Lane DA, Crijns HJ. Refining clinical risk stratification for predicting stroke and thromboembolism in atrial fibrillation using a novel risk factor-based approach: the euro heart survey on atrial fibrillation. Chest. 2010 Feb;137(2):263–72.
33. Landmesser U, Skurk C, Tzikas A, Falk V, Reddy VY, Windecker S. Left atrial appendage closure for stroke prevention in atrial fibrillation: current status and perspectives. Eur Heart J. 2024 Aug;45(32):2914–32.
The appendix is available in the pdf version of the article at https://doi.org/10.57187/s.4288.