DOI: https://doi.org/https://doi.org/10.57187/s.3778
Mean counts per minute per day
Minutes in light physical activity per day
Minutes in moderate-to-vigorous activity per day
Physical activity
Minutes in sedentary behaviour per day
Swiss children’s Objectively measured PHYsical Activity (study)
Youth and Sports (the Swiss Federal Government’s national sports promotion programme)
Physical activity (PA) is crucial in maintaining overall health and well-being throughout the lifespan [1, 2]. Regular engagement in physical activity in children, adolescents and adults has been consistently associated with broad health benefits, including reduced risk of chronic diseases [3], improved mental health [4, 5], enhanced quality of life and improved cognitive function, including academic achievement [6–8]. Promoting and sustaining physical activity behaviour in the young is therefore a public health priority. However, one of the most consistent findings of physical activity research is that individuals, and youth in particular, tend to become less physically active as they age [9–12]. Accordingly, the age-related decline in average physical activity, although a natural phenomenon also observed in animals [13], poses a challenge for the attainment of physical activity and health promotion goals.
The transitions from childhood to adolescence [14] and from adolescence to young adulthood are critical periods for establishing lifestyle behaviours [15]. A first relevant research question is whether a child who is physically active at a higher than average level remains comparatively more active throughout adolescence and adulthood. The concept of “tracking” relates to the persistence of physical activity behaviour over time, and therefore to the longitudinal stability of a particular behaviour or the maintenance of an individual’s relative rank within a cohort [16]. Tracking studies investigating the age-related or longitudinal development of physical activity used various approaches: (a) estimating inter-age correlations and reporting tracking coefficients [17–20], (b) assessing the likelihood of maintaining the percentile rank of physical activity over time within a peer group of the same age and sex [21–23] or (c) employing group-based trajectory modelling as a statistical method to identify subgroups of individuals with higher or lower declines of physical activity over time [24, 25]. Longitudinal studies that assessed tracking of device-based physical activity, with measurement intervals ranging from 2 to 6 years, have in general reported low to moderate stability of physical activity [18, 26, 27].
A second relevant research question is which modifiable factors play a role in preventing age-related activity loss. While the commonly observed age-related decline in physical activity behaviour is rooted in biological changes while growing up [28], modifiable factors (e.g. psychological, cognitive, emotional, behavioural, social and environmental) also play a role in attenuating or accelerating this decline [29]. Organised sports participation has emerged as a potentially important modifiable factor for mitigating the age-related physical activity decline. Participation in organised sport was positively associated with higher physical activity levels in both cross-sectional [31, 32] and longitudinal studies [33, 34]. Organised sport could provide structured and social environments that support and facilitate ongoing motivation and skills acquisition. Notably, the acquisition of motor skills through participation in organised sport was found to be associated with the maintenance of physical activity levels [33].
Tracking studies published to date, including those studying modifiable factors, investigated the longitudinal change of physical activity relative to peers of the same age and sex. They do not reveal the absolute within-subject physical activity changes over time. In these previous studies, the absolute within-person changes could be small or even negative despite the presence of moderate physical activity tracking [18]. There is limited knowledge regarding groups of young individuals who successfully avoid an absolute decrease in physical activity as they grow up. Only two group-based trajectory modelling studies, with one accelerometry-based, pointed to the presence of individuals who maintained or increased their physical activity behaviour while growing up [24, 35].
The present study aimed to identify and characterise children and adolescents who improved or maintained their absolute physical activity level in different intensity categories and thus resisted the age-related decline in active physical activity. In particular, we investigated whether participation in Youth and Sport-supported organised sport was associated with maintenance or improvement in the absolute, accelerometer-assessed within-participant level of active physical activity. Youth and Sport (Y+S) is the Swiss Federal Government’s national sports promotion programme. SOPHYA (Swiss children’s Objectively measured PHYsical Activity) [36], the first population-based cohort in Switzerland assessing physical activity in youth by accelerometery, provided the opportunity to investigate physical activity development in children and adolescents over a 5-year follow-up period and relate it to Y+S-supported organised sport participation.
The SOPHYA cohort study recruited participants based on data from the national population registry. All children born in Switzerland between 1998 and 2007 and registered accordingly were eligible, with no children excluded. A stratified random sampling procedure was applied, dividing the population into 10 equivalent strata, each representing a birth year, to ensure balanced age groups. The recruitment process and participation rate of SOPHYA1 have been previously documented [37]. Briefly, of 4193 participants included in the stratified random sample, 3108 participated in the baseline interview. Of 3108 participants, 2341 expressed an interest in the accelerometry substudy, of whom only 2032 were later reachable and completed the SOPHYA1 baseline interview in 2014. Of these 2032 participants, 1320 provided valid baseline accelerometer data. Of those 1320 participants, 1111 had complete data for all covariates and expressed their willingness to be recontacted and were invited for a repeat assessment after five years (SOPHYA2). Out of these 1111 children, 524 agreed to accelerometry in SOPHYA2.
The participation rate of those approached for accelerometer measurements in SOPHYA1 was 65% (1320 of 2032). Of those who participated in accelerometer measurements in SOPHYA1, the participation rate for follow-up accelerometer measurements (SOPHYA2) was 47% (524 of 1111). A participant flowchart of SOPHYA1 and SOPHYA2 measurements is shown in figure 1.

Figure 1Participant flowcharts for SOPHYA1 and SOPHYA2. Children were recruited for the SOPHYA study through two distinct sources. Children born in 1998 to 2002 were recruited through the established Sport Switzerland study [39]. Children born between 2003 and 2007 were recruited by the SOPHYA study through a similar but notably shorter interview process.
At both measurement time points, contact with participants was exclusively remote, by phone and post, as participants lived in different parts of Switzerland.
As a first step in both SOPHYA waves, a telephone interview about sports behaviour and sociodemographic factors was conducted [38, 39]. The professional research institute LINK conducted the interviews. At the end of the interview, the participants were asked if they were interested in taking part in an accelerometry substudy as a second step.
As a second step in both SOPHYA waves, trained fieldworkers of the SOPHYA team contacted participants interested in the accelerometer assessment. Consenting participants received accelerometers, questionnaires and study instructions by post. They wore accelerometers for 1 week and filled in a paper-based questionnaire that included a diary for the measurement week and questions to self-report height and weight for deriving body mass index (BMI). To cover all seasons and because physical activity measurements by accelerometry are time-consuming, data collection for SOPHYA1 and SOPHYA2 lasted more than one year.
The SOPHYA study was conducted in three languages as a collaboration between the Swiss Tropical and Public Health Institute (Swiss TPH) in Basel, the lead partner responsible for the German- and Romansh-speaking study regions; the University of Lausanne, responsible for the French-speaking study region; and the Università della Svizzera Italiana (USI), responsible for the Italian-speaking study region.
For SOPHYA1, written informed consent was obtained from a parent for a child’s participation. Adolescents aged 12 years or older filled in an additional consent form. In SOPHYA2, for participants younger than 14 years, written informed consent was obtain by a parent as a proxy; for participants aged between 14 and 18 years, both one parent and the participant provided written informed consent; for participants aged over 18 years, only their written informed consent was sought. The local ethics review board of the Canton of Basel and Northwestern and Central Switzerland, EKNZ (www.eknz.ch), approved this study (Project-IDs: 147/13; EKNZ 2018-01786 and 2018-00549). The study complied with the latest Helsinki Declaration.
An open science protocol for this study was not developed and registered. In line with the ethical approval of SOPHYA, the datasets generated and analysed during the current study are not publicly available, but are available from the corresponding author upon reasonable request.
A pre-programmed accelerometer and several questionnaires, including a time activity diary, were sent to participants by post and returned after the measurement week using a prepaid envelope. Instructions for accelerometer use were included in the mailing and supplemented by instructions over the phone by trained SOPHYA fieldworkers. All participants wore an Actigraph (ActiGraph, Pensacola, Florida, USA) accelerometer model GT1M or GT3X for seven consecutive days attached to their right hip with an elastic band (of 1320 participants in SOPHYA1, 49 wore a GT1M and 1271 wore a GT3X; of 432 participants in SOPHYA2, 14 wore a GT1M and 418 wore a GT3X. The GT1M only measures along the vertical axis, the GT3X along all three. Since the vertical axis output is compatible between the two devices [41], only the vertical axis was considered. The accelerometers had to be removed for water activities and during sleeping hours. The initialisation of the devices, data transfer and analyses were conducted using ActiLife 6.2 software (ActiGraph, Pensacola, Florida, USA). Epoch length was set at 15 s, and non-wearing time was defined as 60 min of consecutive 0 counts. A measurement was considered valid if participants had at least three weekdays with a daily minimum of 10 hours of wear time and at least one weekend day with a daily minimum of 8 hours. Mean daily minutes in moderate-to-vigorous physical activity (MVPA), light physical activity (LPA), sedentary behaviour (SB) and daily mean of counts per minute (CPM) during the measurement week were calculated as follows: First, mean minutes and mean counts per minute were averaged separately over the weekdays and the weekend days with measurements. Second, the weekday-averaged mean minutes and mean counts per minute were multiplied by five. Third, the weekend-averaged mean minutes and mean counts per minute were multiplied by two. Fourth, the results from step two and three were summed and then divided by seven to obtain week- and weekend-weighted mean minutes and mean counts per minute.
For the definition of sedentary behaviour, the cut-off of 100 CPM was used [42]. MVPA was defined by the age-dependent cut-offs defined by Freedson et al. 2005 [43] with thresholds for moderate activity at 4 metabolic equivalents (METs) [44]. LPA was defined as activity above the sedentary cut-off of 100 CPM and below the cut-off for moderate activity. To permit comparison of participants aged over 18 during SOPHYA2, cut-off points by Freedson et al. 2005 [43] for 18-year-olds were used.
Y+S widely supports sports courses and camps for children and young people aged 5–20 with a budget of approximately CHF 100 million per year covering 90 different sports and disciplines and serving more than 600,000 participants per year [45]. Y+S supports sports clubs financially by providing contributions per participant and activity, if the coaches have completed a Y+S education. Activities supported by Y+S are various sports clubs, voluntary school sports and scouts and include training, competition and camp days.
Every single sports activity of a child or adolescent financially supported by Y+S is registered in the national Y+S database. The proportion of Y+S-supported organised sport in the total number of sports offerings in organised sport is not known. As approximately 65% of the total Swiss population of children aged 12–13 take part in Y+S, the coverage of Y+S can be assumed to be quite high [45]. Therefore the continuous data on the frequency and regularity of participation in organised sport supported by Y+S and provided by the Y+S database, can be considered a good predictor of participation in organised sport. Based on the approval of a formal linkage request to Y+S, Y+S attendance entries between January 2008 and July 2020 were extracted and could be linked to 1111 SOPHYA1 accelerometry participants. SOPHYA participants’ name, address and date of birth were used for linkage with the Y+S database. Personal information was consistently separated from SOPHYA data and information on organised sport by using a unique anonymised user ID for matching records. The linkage was not validated. Participants who were not found in the Y+S database were considered non-participants in organised sport.
The primary outcome was the categorisation of each participant as an “improver” or “worsener”’ for each physical activity intensity category. To determine this outcome, we calculated the difference in physical activity as PASOPHYA2 − PASOPHYA1 for each individual and for each physical activity intensity category, namely MVPA, LPA, SB and CPM. A difference with a non-negative sign reflects improvement or maintenance of physical activity in the MVPA, LPA and CPM categories, while improvement or maintenance of SB is reflected by a non-positive difference. Accordingly, these differences were used to create physical activity intensity-specific binary variables of “improvers” and “worseners”. While “improvers” in MVPA, LPA or CPM increased or maintained their minutes from SOPHYA1 to SOPHYA2, “improvers” in SB maintained or decreased their minutes sitting during follow-up. Thus, an “improver” is anyone who maintained or improved active behaviour.
The primary exposure was participation in Y+S-supported organised sport during the follow-up period. We calculated the number of days with at least one organised sport activity while participants were within the Y+S sports age (5 to 20 years). We restricted the total number of days to the period 2014–2019 to represent participation in Y+S during the follow-up period from SOPHYA1 to SOPHYA2. For 14 participants aged over 20 in 2019 and therefore no longer eligible to participate in Y+S, we assigned 0 days in Y+S to their follow-up time spent at the non-eligible age, thus ignoring any time actually spent in organised sport. Participants without a match in the Y+S database were assigned 0 days with at least one activity in organised sport.
A set of covariates, selected a priori, were investigated as confounders or effect modifiers:
For all analyses, Stata 16.1 and R 4.3.3. were used.
Participants included in the analysis were required to have consent and complete accelerometer data for both measurement time points; for the a priori selected covariates at SOPHYA1: age, sex, parental education, household income, residential language region, BMI percentiles (continuous); and for the technical variables for both measurement points (season of measurement; accelerometer wear time; follow-up duration).
One participant was excluded from the analysis due to suspiciously high accelerometer data. If the BMI of a participant was missing at SOPHYA1 (n = 8), it was imputed by regressing it on the BMI value available from SOPHYA2 while adjusting for age, sex and time interval between the two time points.
We used logistic regression models to examine the association between the primary predictor participation in organised sport (total number of days between 2014 and 2019) and the binary outcome (improvers versus worseners). Separate models were run for each of the four binary outcome variables (SB, LPA, MVPA and CPM). Results are reported as estimated coefficients and 95% confidence intervals (CIs) on the logit scale.
Separately for each outcome, the final model used in the analysis was chosen through a model-selection procedure, searching for the smallest Bayesian information criterion (BIC) between a maximal and a minimal model. The maximal model contained the main effects of the technical variables (season [spring, summer, autumn, winter], accelerometer wear time [continuous] and measurement interval [continuous]), the main effects of the covariates of interest (baseline physical activity, age, sex, parental education, household income, residential language region) and all two-way interactions among covariates of interest, in order to account for possible effect modification. The minimal model contained all the main effects of the technical variables regardless of their statistical significance. The set of main effects and interactions included in the final model was selected using BIC as a criterion. To visualise the main associations of interest, we used marginal plots to show the association between participating in organised sport and being an improver.
A sensitivity analysis was performed to investigate the role of BMI as a potential confounder or effect modifier in the association between participating in organised sport and being a physical activity improver. The four final models were fitted again, including BMI percentiles as an additional adjusting covariate, and the changes in the coefficients of the other covariates were inspected.
We investigated the possible presence of attrition bias, i.e. the possibility that those who dropped out, and participated in SOPHYA 1 but not in SOPHYA2 and in this current analysis, differed substantially in some of the covariates used in our models from those who participated on both occasions and therefore contributed to the estimation of such models, so potentially biasing our conclusions. Out of the 1111 children with valid measurements and covariates of SOPHYA1 who gave consent to be contacted again for SOPHYA2, 679 children participated in SOPHYA1 but were lost to follow-up, and 432 children participated in SOPHYA1 and SOPHYA2 and had valid data (figure 1).
To check whether any of the covariates included in our models were strong predictors of non-participation, we implemented a logistic model with “Non-participation in SOPHYA2” as a binary response (1 = non-participation in SOPHYA2 [n = 679]; 0 = participation in both SOPHYA1 and SOPHYA2 [n = 432]) and all the variables used in our analysis as covariates. In particular, the final model was selected by a bi-directional (both backward and forward) stepwise procedure, using BIC as the selection criterion, which sought the best model between a minimal model without interactions containing only main effects (age, sex, parental education, household income, residential language region, physical activity in all intensity categories at SOPHYA1, organised sport participation and the technical variables season of measurement and accelerometer wear time at SOPHYA1) and a maximal model containing the same main effects plus all two-way interactions between them.
The analysis included 432 participants with valid longitudinal physical activity and organised sport participation data and valid covariate information from the baseline assessment (figure 1). Among the 432 participants, successful linkage with the Y+S database was found for 275 (64%) participants, whereas 157 (36%) non-linked participants were assumed to have never participated in Y+S.
In the sample of 432 participants (aged 6–16 at SOPHYA1), when looking at physical activity intensity categories descriptively, mean daily CPM decreased between 2014 and 2019 from 574.4 (standard deviation [SD] 181.7) to 450.5 (SD 161.8); mean daily minutes in MVPA from 84.9 (SD 37.7) minutes to 47.7 (SD 22.6) minutes; mean daily minutes in LPA from 233.7 (SD 40.1) to 204.7 (SD 51.4). Mean daily minutes in SB increased from 473.8 (SD 86.5) to 580.2 (SD 80.7).
The prevalence of improvers and worseners for the different physical activity intensity categories are descriptively described in table 1: The prevalence of CPM improvers was descriptively higher (n = 97, 22.5%) than the prevalence of MVPA improvers (n = 41, 9.5%) and SB improvers (a decrease in SB from baseline to follow-up) (n = 42, 9.7%). Descriptively, the highest number of improvers was found in LPA (n = 116, 26.9%).
Table 1Distribution of socioeconomic factors at baseline across physical activity improver status in different intensity categories (CPM, MVPA, LPA and SB).
| CPM | MVPA | LPA | SB | ||||||
| n = 432 | n = 432 | n = 432 | n = 432 | ||||||
| Worseners | Improvers | Worseners | Improvers | Worseners | Improvers | Worseners | Improvers | ||
| n (%) | n (%) | n (%) | n (%) | n (%) | n (%) | n (%) | n (%) | ||
| All | 335 (77.5%) | 97 (22.5%) | 391 (90.5%) | 41 (9.5%) | 316 (73.2%) | 116 (26.8%) | 390 (90.3%) | 42 (9.7%) | |
| Age | Mean (SD) | 9.7 (2.3) | 11.1 (3.0) | 9.7 (2.4) | 12.3 (2.6) | 9.9 (2.4) | 10.3 (3.0) | 9.7 (2.3) | 12.5 (3.1) |
| Sex | Male | 163 (78.0%) | 46 (22.0%) | 192 (91.9%) | 17 (8.1%) | 153 (73.2%) | 56 (26.8%) | 189 (90.4%) | 20 (9.6%) |
| Female | 172 (77.1%) | 51 (22.9%) | 199 (89.2%) | 24 (10.8%) | 163 (73.1%) | 60 (26.9%) | 201 (90.1%) | 22 (9.9%) | |
| Household income | CHF <9000 | 161 (77.8%) | 46 (22.2%) | 187 (90.3%) | 20 (9.7%) | 147 (71.0%) | 60 (29.0%) | 185 (89.4%) | 22 (10.6%) |
| CHF ≥9000 | 140 (76.5%) | 43 (23.5%) | 166 (90.7%) | 17 (9.3%) | 139 (76.0%) | 44 (24.0%) | 166 (90.7%) | 17 (9.3%) | |
| No indication | 34 (81.0%) | 8 (19.0%) | 38 (90.5%) | 4 (9.5%) | 30 (73.4%) | 12 (28.6%) | 39 (92.9%) | 3 (7.1%) | |
| Highest education of parents | Secondary level | 184 (80.7%) | 44 (19.3%) | 212 (93.0%) | 16 (7.0%) | 173 (75.9%) | 55 (24.1%) | 211 (92.5%) | 17 (7.5%) |
| Tertiary education | 151 (74.0%) | 53 (26.0%) | 179 (87.7%) | 25 (12.3%) | 143 (70.1%) | (61 (29.9%) | 179 (87.8%) | 25 (12.2%) | |
| Language region | German | 240 (79.5%) | 62 (20.5%) | 278 (92.0%) | 24 (8.0%) | 218 (72.2%) | 84 (27.8%) | 275 (91.1%) | 27 (8.9%) |
| French | 67 (72.8%) | 25 (27.2%) | 82 (89.1%) | 10 (10.9%) | 72 (78.3%) | 20 (21.7%) | 79 (85.9%) | 13 (14.1%) | |
| Italian | 28 (73.7%) | 10 (26.3%) | 31 (81.6%) | 7 (18.4%) | 26 (68.4%) | 12 (31.6%) | 36 (94.7%) | 2 (5.3%) | |
CPM: mean counts per minute; LPA: mean minutes in light activity per day; MVPA: mean minutes in moderate-to-vigorous activity per day; SB: mean minutes in sedentary behaviour per day; SD: standard deviation.
Table 1 also presents the distribution of improver/worsener status according to socioeconomic characteristics descriptively. Improvers descriptively had a higher age at baseline. Youth with a higher educational level descriptively were more often improvers for CPM, MVPA and SB. Children and adolescents from French- or Italian-speaking regions descriptively were more often improvers in CPM and MVPA than youth from German-speaking regions.
Table S1 in the appendix shows the distribution of socioeconomic factors and physical activity at baseline according to participation in organised sport (no participation = no days in organised sport from 2014 to 2019; participation = minimum 1 day in organised sport from 2014 to 2019).
Table 2 presents the descriptive averages of total CPM or mean daily minutes in physical activity intensity categories, respectively, in SOPHYA1 and SOPHYA2 as well as organised sport participation during follow-up (number of days in organised sport from 2014 to 2019), stratified by improvers and worseners in the respective intensity category (see appendix table S2 for the comprehensive overview of averages of activities in all intensity categories according to improver status based on all intensity categories). Descriptively, improvers exhibited less favourable activity parameters at baseline in SOPHYA1 than worseners. Improvers in CPM, MVPA and LPA descriptively had more organised sport activities during the follow-up compared to worseners. In contrast, improvers in SB (i.e. less SB) descriptively had slightly fewer organised sport activities than SB improvers.
Table 2Distribution of physical activity intensity categories (SOPHYA1; SOPHYA2) and participation in organised sports (SOPHYA1 to SOPHYA2), stratified by physical activity improver status.
| CPM | MVPA | LPA | SB | ||||||
| n = 432 | n = 432 | n = 432 | n = 432 | ||||||
| Worseners | Improvers | Worseners | Improvers | Worseners | Improvers | Worseners | Improvers | ||
| n = 335 | n = 97 | n = 391 | n = 41 | n = 316 | n = 116 | n = 390 | n = 42 | ||
| Mean counts per minute (SD) | Mean minutes in moderate-to-vigorous activity per day (SD) | Mean minutes in light activity per day (SD) | Mean minutes in sedentary behaviour per day (SD) | ||||||
| Mean counts per minute (CPM) or minutes of physical activity in the respective intensity category (MVPA, LPA, SB) per day | SOPHYA1 | 607.7 (179.3) | 459.4 (138.3) | 88.9 (36.9) | 46.4 (19.4) | 240.3 (38.4) | 215.5 (39.3) | 462.4 (79.3) | 580.4 (78.0) |
| SOPHYA2 | 418.9 (136.1) | 559.6 (194.1) | 47.0 (22.8) | 54.7 (19.0) | 187.4 (41.9) | 251.9 (45.0) | 586.0 (79.3) | 525.8 (73.6) | |
| Mean days in organised sports* | Mean days in organised sports* | Mean days in organised sports* | Mean days in organised sports* | ||||||
| Mean days in organised sports* | SOPHYA1 – SOPHYA2 | 156.3 (207.2) | 189.8 (253.5) | 155.9 (207.6) | 239.3 (297.0) | 156.1 (209.7) | 185.0 (240.8) | 165.9 (212.6) | 144.5 (269.9) |
CPM: mean counts per minute; LPA: mean minutes in light activity per day; MVPA: mean minutes in moderate-to-vigorous activity per day; SB: mean minutes in sedentary behaviour per day; SD: standard deviation.
* continuous from 2014 to 2019, calculated for those within the Y+S age range (5–20 years).
Table 3 presents the results of the physical activity intensity-specific models for estimating the adjusted associations of days engaging in organised sport from baseline to follow-up with the physical activity improvements status. Given the model-selection procedure described in the “Statistical analysis” section, the variables included in the model vary by physical activity intensity category. Organised sport engagement was not found to interact with any covariate in any of the models. The results of the separate models are summarised in the paragraphs below and graphically in figures 2A–D (see supplementary figures S1–S3 for a graphical summary of outcome model-specific statistically significant interactions between covariates).
Table 3Adjusted associations of days spent in organised sports with being an improver in mean counts per minute (CPM), in moderate-to-vigorous activity (MVPA), in light physical activity (LPA) and in sedentary behaviour (SB). All models were adjusted for season of measurement, accelerometer wear time and measurement interval between SOPHYA1 and SOPHYA2. Additional covariates were retained in the model according to model-selection procedures applied to each outcome separately, explaining differences between the covariates included in the intensity-specific models.
| Log odds (95% CI) of being improver in: | Mean counts per minute (CPM) | Moderate-to-vigorous activity*(MVPA) | Light activity*(LPA) | Sedentary behaviour* (SB) | |
| Intercept | −4.56 (−11.48; 2.34) | 5.28 (−3.27; 14.23) | 1.66 (−3.44; 6.79) | 17.58 (5.75; 30.93) | |
| Number of days in organised sports** | 1.29 × 10−3 (0.04 × 10-3; 2.56 × 10−3) | 2.01 × 10−3 (0.27 × 10-3; 3.84 × 10−3 ) | 0.37 × 10−3 (0.74 × 10-3; 1.48 × 10−3) | 1.96 × 10-3 (−0.50 × 10−3; 4.65 × 10−3) | |
| Age | 0.66 (0.26; 1.07) | 0.08 (−0.19; 0.36) | −0.10 (−0.26; 0.05) | −0.46 (−0.90; −0.05) | |
| Sex | Male (ref.) | ||||
| Female | −0.80 (−1.38; −0.22) | −0.71 (−1.60; 0.17) | −0.25 (−0.75; 0.25) | −11.36 (−18.09; −5.66) | |
| Language region | German (ref.) | ||||
| French | 0.11 (−0.58; 0.78) | −0.60 (−1.83; 0.52) | −0.47 (−1.15; 0.18) | −0.08 (−1.35; 1.14) | |
| Italian | −0.12 (−1.11; 0.80) | 0.88 (−0.44; 2.14) | 0.04 (−0.90; 0.494) | −2.12 (−5.51; 0.41) | |
| Household income | CHF <9000 (ref.) | ||||
| CHF ≥9000 | 0.28 (−0.32; 0.88) | 0.28 (−0.62; 1.19) | −0.32 (−0.86; 0.22) | −0.86 (−2.32; 0.48) | |
| No indication | 0.14 (−0.90; 1.09) | 0.80 (−0.72; 2.18) | −0.13 (−1.02; 0.70) | −1.84 (−4.63; 0.52) | |
| Parental education | Lower education (ref.) | ||||
| Higher education | 0.59 (0.02; 1.17) | 0.86 (1.84 × 10–3; 1.75) | 0.51 (–0.47 × 10–3; 1.03) | −0.08 (−1.67; 1.47) | |
| Baseline physical activity*** | 4.65 × 10–3 (–3.34 × 10–3; 0.01) | −0.08 (−0.11; −0.05) | −0.03 (−0.04; −0.02) | 0.04 (0.03; 0.06) | |
| Age: Baseline physical activity* | –1.35 × 10–3 (–2.19 × 10–3; –0.52 × 10–3) | – | – | – | |
| Age: Sex | – | – | – | 0.78 (0.33; 1.30) | |
| Sex: Parental education | – | – | – | 3.03 (0.74; 5.63) | |
* Refers to mean minutes in the respective physical activity category.
** Number of days in organised sports refers to the average days in organised sports between SOPHYA1 and SOPHYA2, for those within the Y+S age range (5–20 years).
*** Baseline physical activity refers to the physical activity category of the respective model, CPM, MVPA, LPA and SB.

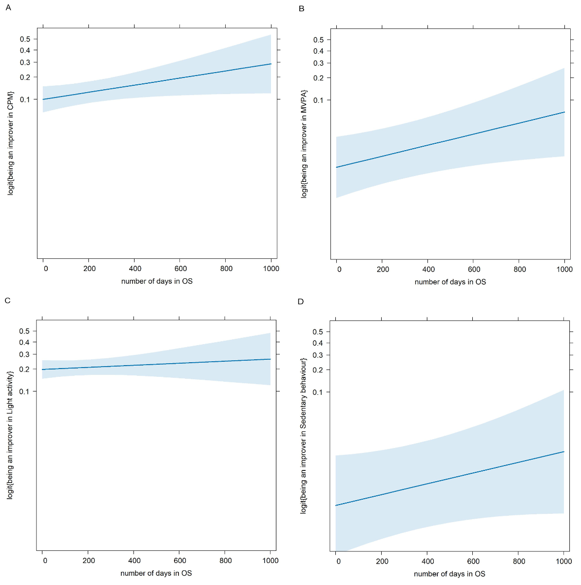
Figure 2Association of the number of days in organised sports (OS) with the logit of the probability of being an improver in (A) mean counts per minute (CPM) (B) moderate-to-vigorous activity (MVPA), (C) light physical activity and (D) sedentary behaviour.
With regard to CPM, the number of days engaged in organised sport activities during follow-up was positively and statistically significantly associated with being an improver in CPM. This association suggests that, for 30 additional days of participation in organised sport within the five years of the study, the odds of being an improver vs being a worsener increased by a factor of exp(0.0013 × 30) = 1.0396, i.e. the odds of being an improver are about 4.0% greater than that of being a worsener. Age and CPM at SOPHYA1, as well as their interaction were statistically significantly associated with being an improver, in a positive direction for the main effects and in a negative direction for the interaction term. The negative coefficient for the interaction term suggests that the impact of baseline physical activity on the odds of being an improver depends on age. For younger individuals, higher baseline physical activity was associated with decreased odds of being an improver, but with increasing age at baseline this inverse association became weaker. Being female decreased the odds of being an improver vs being a worsener by a factor of exp(−0.7962) = 0.4511, meaning for girls the odds of being an improver was 54.9% lower than for boys, independently of their participation in organised sport. Individuals with parents having a tertiary education had approximately 80.3% higher odds of achieving CPM improver status than individuals of parents with a lower education. Household income and language region were not associated with CPM improver status.
With regard to MVPA, the number of days engaged in organised sport between 2014 and 2019 was also positively and statistically significantly associated with being an improver in MVPA. For 30 additional days of participation in organised sport within the five years of the study, the odds of being an MVPA improver vs a worsener increased by a factor of exp(0.0020 × 30) = 1.0622, i.e. the odds of being an improver vs a worsener increased by about 6.2%. Baseline MVPA was negatively associated with being an improver in MVPA. The odds of being an MVPA improver vs a worsener decreased by a factor of exp(−0.0774) = 0.9256. For each minute increase in baseline MVPA, the odds of being an MVPA improver vs a worsener decreased by about 7.4%. Contrary to CPM endpoint, sex, age and parental education were not associated with being an improver in MVPA. Consistent with CPM, household income and language region were not associated with MVPA improver status.
With regard to LPA, the number of days engaged in organised sport during the five follow-up years was not associated with improver status. Baseline LPA was negatively associated with being an improver in LPA. The odds of being an LPA improver vs a worsener decreased by a factor of exp(−0.0263) = 0.9741. This means that for every minute increase in baseline LPA, the odds of being an improver in LPA decrease by about 2.6%. Sex, parental education, household income and language region did not show an association with being an improver in LPA.
With regard to SB, the number of days engaged in organised sport during the five years were associated with SB improver status, but not as strong as with CPM and MVPA improver status. For 30 additional days of participation in organised sport within the five years of the study, the odds of being an SB improver vs a worsener increased by a factor of exp(0.0020 × 30) = 1.0605; i.e. the odds of being an improver vs a worsener increased by about 6.0%. Sex exhibited a statistically significant interaction with age and with parental education with regard to the odds of being an SB improver, suggesting that the impact of age and parental education on the odds of reducing sedentary time differs between the two sexes. In particular, older ages have a larger positive effect on the odds of being an improver in SB among females than among males; similarly, the positive effect of higher parental education on such odds is stronger for females than for males. Language region and household income were not associated with a reduction in sedentary time.
Results of the sensitivity analyses with additional adjustment of the above models for BMI percentiles are presented in table S3 in the appendix. No association of BMI percentiles with being an improver in each of CPM, MVPA, LPA or SB was observed. The additional BMI adjustment did not materially modify the association of organised sport activity with being an improver in the respective physical activity intensity category.
As for the assessment of attrition bias, table S4 in the appendix shows the result of the final logistic model chosen by the selection procedure described in the “Statistical analysis” section for assessing the association of participation at follow-up with baseline characteristics. No two-way interactions were included in the final model. There is limited evidence for attrition bias: only one variable, age, turned out to be a statistically significant predictor of non-participation in SOPHYA2, while parental education had a marginally significant effect on non-participation. Participation at follow-up was not associated with physical activity at baseline.
The results of this study confirm epidemiological evidence that as children and adolescents age, their physical activity generally decreases in all intensity categories while their SB tends to increase. These results are in line with previous research [9–12].
Of public health relevance are the identified groups of youth who were able to overcome this age effect: the 22.5% of individuals who maintained or increased their physical activity in terms of CPM; the 9.5% who maintained or increased their MVPA; the 26.9% who maintained or increased their LPA; and the 9.7% who reduced SB over the course of five years. To the best of our knowledge, the approach of modelling the odds of sustaining or increasing CPM, MVPA and LPA or decreasing SB is novel.
Our study is in agreement with a potentially important role of participation in a broad range of sports activities organised by the Swiss national Y+S programme in improving CPM and MVPA activities and reducing SB at an absolute level. Previous studies also investigated the longitudinal associations between sports club participation and device-based physical activity, but either modelled the change of MVPA or explored whether organised sport predicts physical activity instead of investigating whether organised sport can maintain physical activity.
Results of previous studies were inconsistent in showing a longitudinal benefit of sports participation on physical activity. Ikeda et al. 2022 [46] reported a (non-significant) trend for the association between self-reported participation in organised sport and the subsequent change in MVPA. Basterfield et al. 2011 [47] found that sports club participation at the age of 9 did not predict MVPA or SB at the age of 12. Brooke et al. 2014 [48] found no association between self-reported participation in organised sport and subsequent change in physical activity, despite considering the variety and frequency of organised sport. Organised sport in these studies was self-reported at a single time point. In contrast to these studies, in the SOPHYA cohort we could rely on continuous data on participation in organised sport extending from the study start to the second measurement. Objectively obtained data on continuous participation in organised sport is likely to have smaller measurement errors in assessing participation in organised sport compared to self-reported information from only a single time point at baseline, as drop-outs, re-entries and the intensity of sports club participation are considered.
Studies more similar to ours in obtaining the same information on sports activities over time also found positive associations with high physical activity and low SB. Yang et al. 2022 [49] identified three self-reported organised sport trajectories in a longitudinal study over nine years in youth aged 9–18 and found that sustained participation in organised sport predicted high MVPA and low SB. Shull et al. 2020 [34] assessed sustained self-reported participation in community or school sports teams, and the development of accelerometer-measured physical activity and SB in children from middle to high school. They also found that sustainable sports participation was consistently associated with higher levels of average physical activity, and also with lower levels of average SB, even though physical activity declined during the transition from 7th to 9th grade. In the SOPHYA cohort, the association between participation in organised sport and reduction in sedentary time was less strong than for the improvement of CPM and MVPA, but still visible.
We are unaware of any studies investigating the association between participation in organised sport and the development of LPA. LPA has only recently become the focus of physical activity research and has been shown to be longitudinally associated with depressive symptoms [50]. The authors suggest that increasing LPA and decreasing SB during adolescence could be an important target for public health interventions aimed at reducing the prevalence of depression. We found no association between participation in organised sport and being an improver in LPA. This lack of association may be attributed to organised sport potentially affecting higher-intensity activities such as MVPA or reducing lower-intensity activities such as SB, and LPA might be less affected.
While organised sport was important in independently improving CPM and MVPA and reducing SB as youth aged, it is of interest to note that higher baseline physical activity in all intensity categories and lower baseline SB decreased the odds of being an improver in the respective intensity category in models adjusting for organised sport and other covariates. In the case of CPM, this adverse association was stronger in children with a younger age at baseline. We can only speculate about the reasons, one of which might be that any beneficial effect of high physical activity on not decreasing physical activity with ageing is captured by the organised sport participation of active children. This implies that it is not just any form of physical activity, but rather structured and organised physical activity, like organised sport, that is particularly effective in counteracting the age-related physical activity decline. Growth and maturation could also play a role in younger children who may experience a greater drop in physical activity when going through a developmental transition as the association between the physical activity and the timing of maturation might vary in children of the same chronological age [51].
In addition to evaluating sustained organised sport as a predictor of improver status, we additionally studied the independent predictive value of personal characteristics in maintaining or improving physical activity and SB behaviour, irrespective of organised sport participation. The results confirm the general observation that boys and children raised in families with higher parental education are generally more likely to be active, but also point to important interactions. We found that female participants were less likely to be improvers in CPM. We also observed an association between parental education and being an improver in CPM. The impact of age and parental education on the odds of reducing SB time differed between girls and boys, where older age and a higher parental education had a larger positive effect on the odds of being an improver in SB among girls compared to boys. On average, girls and young women are less likely to engage in physical activity and more likely to exhibit SB behaviour [11, 52, 53]. This difference was also observed at the SOPHYA baseline accelerometer study [36]. Studies investigating socioeconomic factors in relation to accelerometer-based physical activity often report no significant sociodemographic differences in physical activity [54, 55], a finding consistent with the SOPHYA1 study [37]. Of interest to our results is the fact that a) the observed sex, age and education differences persist after adjustment for organised sport participation and b) the covariates do not interact with organised sport. Future studies need to better understand the organised sport-independent pathways that explain why, for example, boys are more likely to be improvers.
In Switzerland, there is an increase in organised sport from 11–12; however, after the age of 12, drop-outs increase and entries decrease [38]. Thus, preventing drop-outs and reducing barriers to entry into organised sport could help young people benefit more from the potential effect of participation in organised sport in counteracting the age-related decline in physical activity behaviour.
The strength of our study is the longitudinal design, including device-based physical activity measurement, a continuous and objective recording of participation in organised sport financially supported by Y+S and a stringent approach to statistical model building. Longitudinal studies investigating the association between organised sport and the development of device-based physical activity are still rare. Another strength of our study is the novel approach of identifying improvers of CPM, MVPA, LPA and SB. This approach is different to tracking studies that mainly used the development of ranking among peers because it looks at the actual individual change and not only the within-individual difference compared to peers. Examining what factors influence the odds of being an improver may be more sensitive for assessing the benefit of sustained organised sport participation.
Our study also has some limitations. First, given the observational nature of the study the reported association is consistent with the hypothesis that organised sport participation supported by the Swiss Y+S programme can prevent the age-related decline in physical activity, but it is not proof of a cause-effect relationship. Second, as in any cohort the study encountered losses to follow-up. But the careful assessment of potential attrition bias suggests that it is likely to be of little concern. We decided not to take any specific action to counteract the risk of attrition bias, considering that, since the association of age with non-participation is positive (i.e. older children have a slightly higher probability of non-participation in SOPHYA2) and the association of age with being an improver in all physical activity intensity categories is also positive (i.e. older children have a higher probability of being improvers, see table 3), then attrition bias, if present, would act in the direction of attenuating the results found in our models, and therefore such results would be confirmed, and strengthened, in analyses that explicitly took selection bias into consideration (e.g. applying inverse probability weighting). In addition, physical activity at baseline was not associated with follow-up participation, further decreasing the likelihood of substantial attrition bias. Third, our measure of participation in organised sport was reduced to sports courses that were financially supported by Y+S. The fact that we found an association of organised sport supported by Y+S with being an improver in CPM and MVPA, even though our variable does not capture sports activities not financially supported by Y+S, speaks for the strength of the true association which we more likely underestimated by focusing on Y+S only. The same applies to the fact that accelerometers were not worn during water-based activities whereas organised sport includes swimming courses. Again, if water-related organised sport was influential in the association of organised sport with improver status, our study may underestimate any true association by not capturing water-based physical activity. Fourth, as in most physical activity studies we did not consider the compositional nature of our physical activity outcomes, namely time spent in MVPA, time spent in LPA and time spent in SB, which always adds up to 100% of the wear time. This means for example that if LPA is increased, it will be at the expense of time in either MVPA or SB. This may have contributed to not finding an association of organised sport with LPA improver status. Future studies should also focus on compositional data [56] to account for these changes in intensity categories and better understand the nature of PA development. Finally, in the absence of detailed information on children’s health status, we cannot assess the generalisability of the results to subgroups of children with specific health conditions. Similarly, in the absence of detailed information on types of organised sport we cannot assess the generalisability of the observed associations to subgroups of specific sports activities.
Participation in organised sport in the context of the national Y+S programme appears to be associated with prevention of the age-related decline of PA and the age-related increase in SB from childhood to adolescence and from adolescence to young adulthood. In the SOPHYA study, the group of youths who could maintain or improve physical activity, particularly in the MVPA category, was small. If a potentially beneficial effect of specific Y+S sports programmes in increasing this youth group was confirmed, this would be of substantial public health relevance.
Further research in larger longitudinal samples should investigate the association of specific sports activities supported or non-supported by the Y+S programme on the maintenance of physical activity over time. These studies need to take into consideration who enters and who stays in the respective sports programmes.
We thank all the children, adolescents, young adults and parents for participating in the study. We thank our fieldworkers Simone Isler, Maria Schmucki, Seline Gerosa, Matthias Zedi, Annina Rigassi, Maximilian Witz, Jane Tedesco, Tiffanie Simone, Lindit Osdautaj, Nicolas Bringolf, Meret Hofer, Camille Heinkel and Carine Jaquier for the data collection. We thank Markus Lamprecht for the collaboration and the SOPHYA-study group for their support. The SOPHYA-study group: Nadja Mahler (FOSPO), Alain Dössegger (FOSPO), Thomas Wyss (FOSPO), Urs Mäder (FOSPO), Andrea Poffet (FOPH), Nadine Stoffel-Kurth (FOPH), Kathrin Favero (FOPH), Lisa Guggenbühl (Health Promotion Switzerland) and Charlotte Braun-Fahrländer (Swiss TPH).
This study was funded by an unrestricted grant from the Federal Office of Sport (FOSPO), the Federal Office of Public Health (FOPH) and Health Promotion Switzerland.
All authors have completed and submitted the International Committee of Medical Journal Editors form for disclosure of potential conflicts of interest. Fabian Studer is affiliated with the Federal Office of Sports (FOSPO), which provided funding for this study, but contributed to the study in his role as an independent researcher at the Swiss Federal Institute of Sport Magglingen (SFISM). No other potential conflict of interest related to the content of this manuscript was disclosed.
1. Poitras VJ, Gray CE, Borghese MM, Carson V, Chaput JP, Janssen I, et al. Systematic review of the relationships between objectively measured physical activity and health indicators in school-aged children and youth. Appl Physiol Nutr Metab. 2016 Jun;41(6 Suppl 3):S197–239. doi: https://doi.org/10.1139/apnm-2015-0663
2. Bull FC, Al-Ansari SS, Biddle S, Borodulin K, Buman MP, Cardon G, et al. World Health Organization 2020 guidelines on physical activity and sedentary behaviour. Br J Sports Med. 2020 Dec;54(24):1451–62. doi: https://doi.org/10.1136/bjsports-2020-102955
3. Warburton DE, Bredin SS. Health benefits of physical activity: a systematic review of current systematic reviews. Curr Opin Cardiol. 2017 Sep;32(5):541–56. doi: https://doi.org/10.1097/HCO.0000000000000437
4. Schuch FB, Vancampfort D, Firth J, Rosenbaum S, Ward PB, Silva ES, et al. Physical Activity and Incident Depression: A Meta-Analysis of Prospective Cohort Studies. Am J Psychiatry. 2018 Jul;175(7):631–48. doi: https://doi.org/10.1176/appi.ajp.2018.17111194
5. Lubans D, Richards J, Hillman C, Faulkner G, Beauchamp M, Nilsson M, et al. Physical Activity for Cognitive and Mental Health in Youth: A Systematic Review of Mechanisms. Pediatrics. 2016 Sep;138(3):e20161642. doi: https://doi.org/10.1542/peds.2016-1642
6. Bermejo-Cantarero A, Sánchez-López M, Álvarez-Bueno C, Redondo-Tébar A, García-Hermoso A, Martínez-Vizcaino V. Are Physical Activity Interventions Effective in Improving Health-Related Quality of Life in Children and Adolescents? A Systematic Review and Meta-Analysis. Sports Health. 2023 Aug 22:19417381231190885. doi: https://doi.org/10.1177/19417381231190885
7. Marquez DX, Aguiñaga S, Vásquez PM, Conroy DE, Erickson KI, Hillman C, et al. A systematic review of physical activity and quality of life and well-being. Transl Behav Med. 2020 Oct;10(5):1098–109. doi: https://doi.org/10.1093/tbm/ibz198
8. Wu XY, Han LH, Zhang JH, Luo S, Hu JW, Sun K. The influence of physical activity, sedentary behavior on health-related quality of life among the general population of children and adolescents: A systematic review. PLoS One. 2017 Nov;12(11):e0187668. doi: https://doi.org/10.1371/journal.pone.0187668
9. Pereira S, Reyes AC, Chaves R, Santos C, Vasconcelos O, Tani GO, et al. Correlates of the Physical Activity Decline during Childhood. Med Sci Sports Exerc. 2022 Dec;54(12):2129–37. doi: https://doi.org/10.1249/MSS.0000000000003013
10. Farooq A, Martin A, Janssen X, Wilson MG, Gibson AM, Hughes A, et al. Longitudinal changes in moderate-to-vigorous-intensity physical activity in children and adolescents: A systematic review and meta-analysis. Obes Rev. 2020 Jan;21(1):e12953. doi: https://doi.org/10.1111/obr.12953
11. Cooper AR, Goodman A, Page AS, Sherar LB, Esliger DW, van Sluijs EM, et al. Objectively measured physical activity and sedentary time in youth: the International children’s accelerometry database (ICAD). Int J Behav Nutr Phys Act. 2015 Sep;12(1):113. doi: https://doi.org/10.1186/s12966-015-0274-5
12. Corder K, Winpenny E, Love R, Brown HE, White M, Sluijs EV. Change in physical activity from adolescence to early adulthood: a systematic review and meta-analysis of longitudinal cohort studies. Br J Sports Med. 2019 Apr;53(8):496–503. doi: https://doi.org/10.1136/bjsports-2016-097330
13. Ingram DK. Age-related decline in physical activity: generalization to nonhumans. Med Sci Sports Exerc. 2000 Sep;32(9):1623–9. doi: https://doi.org/10.1097/00005768-200009000-00016
14. Dumith SC, Gigante DP, Domingues MR, Kohl HW 3rd. Physical activity change during adolescence: a systematic review and a pooled analysis. Int J Epidemiol. 2011 Jun;40(3):685–98. doi: https://doi.org/10.1093/ije/dyq272
15. Vanhelst J, Béghin L, Drumez E, Labreuche J, Polito A, De Ruyter T, et al. Changes in physical activity patterns from adolescence to young adulthood: the BELINDA study. European Journal of Pediatrics. 2023 2023/06/01;182(6):2891-902.
16. Malina RM. Tracking of physical activity and physical fitness across the lifespan. Res Q Exerc Sport. 1996 Sep;67(3 Suppl):S48–57. doi: https://doi.org/10.1080/02701367.1996.10608853
17. Downing KL, Hinkley T, Timperio A, Salmon J, Carver A, Cliff DP, et al. Volume and accumulation patterns of physical activity and sedentary time: longitudinal changes and tracking from early to late childhood. Int J Behav Nutr Phys Act. 2021 Mar;18(1):39. doi: https://doi.org/10.1186/s12966-021-01105-y
18. Jones RA, Hinkley T, Okely AD, Salmon J. Tracking physical activity and sedentary behavior in childhood: a systematic review. Am J Prev Med. 2013 Jun;44(6):651–8. doi: https://doi.org/10.1016/j.amepre.2013.03.001
19. Herman KM, Craig CL, Gauvin L, Katzmarzyk PT. Tracking of obesity and physical activity from childhood to adulthood: the Physical Activity Longitudinal Study. Int J Pediatr Obes. 2009;4(4):281–8. doi: https://doi.org/10.3109/17477160802596171
20. Telama R, Yang X, Leskinen E, Kankaanpää A, Hirvensalo M, Tammelin T, et al. Tracking of physical activity from early childhood through youth into adulthood. Med Sci Sports Exerc. 2014;46(5):955–62. doi: https://doi.org/10.1249/MSS.0000000000000181
21. Malina RM. Adherence to Physical Activity From Childhood to Adulthood: A Perspective From Tracking Studies. Quest. 2001 2001/08/01;53(3):346-55. doi: https://doi.org/10.1080/00336297.2001.10491751
22. Malina RM. Physical activity and fitness: pathways from childhood to adulthood. Am J Hum Biol. 2001;13(2):162–72. doi: https://doi.org/10.1002/1520-6300(200102/03)13:2<162::AID-AJHB1025>3.0.CO;2-T
23. Howie EK, McVeigh JA, Smith AJ, Zabatiero J, Bucks RS, Mori TA, et al. Physical activity trajectories from childhood to late adolescence and their implications for health in young adulthood. Prev Med. 2020 Oct;139:106224. doi: https://doi.org/10.1016/j.ypmed.2020.106224
24. Pate RR, Schenkelberg MA, Dowda M, McIver KL. Group-based physical activity trajectories in children transitioning from elementary to high school. BMC Public Health. 2019 Mar;19(1):323. doi: https://doi.org/10.1186/s12889-019-6630-7
25. Kwon S, Janz KF, Letuchy EM, Burns TL, Levy SM. Developmental Trajectories of Physical Activity, Sports, and Television Viewing During Childhood to Young Adulthood: Iowa Bone Development Study. JAMA Pediatr. 2015 Jul;169(7):666–72. doi: https://doi.org/10.1001/jamapediatrics.2015.0327
26. Telama R. Tracking of physical activity from childhood to adulthood: a review. Obes Facts. 2009;2(3):187–95. doi: https://doi.org/10.1159/000222244
27. Kristensen PL, Møller NC, Korsholm L, Wedderkopp N, Andersen LB, Froberg K. Tracking of objectively measured physical activity from childhood to adolescence: the European youth heart study. Scand J Med Sci Sports. 2008 Apr;18(2):171–8. doi: https://doi.org/10.1111/j.1600-0838.2006.00622.x
28. Sallis JF. Age-related decline in physical activity: a synthesis of human and animal studies. Med Sci Sports Exerc. 2000 Sep;32(9):1598–600. doi: https://doi.org/10.1097/00005768-200009000-00012
29. Sterdt E, Liersch S, Walter U. Correlates of physical activity of children and adolescents: A systematic review of reviews. Health Educ J. 2014;73(1):72–89. doi: https://doi.org/10.1177/0017896912469578
30. Howie EK, McVeigh JA, Smith AJ, Straker LM. Organized Sport Trajectories from Childhood to Adolescence and Health Associations. Med Sci Sports Exerc. 2016 Jul;48(7):1331–9. doi: https://doi.org/10.1249/MSS.0000000000000894
31. Mooses K, Kull M. The participation in organised sport doubles the odds of meeting physical activity recommendations in 7-12-year-old children. Eur J Sport Sci. 2020 May;20(4):563–9. doi: https://doi.org/10.1080/17461391.2019.1645887
32. Marques A, Ekelund U, Sardinha LB. Associations between organized sports participation and objectively measured physical activity, sedentary time and weight status in youth. J Sci Med Sport. 2016 Feb;19(2):154–7. doi: https://doi.org/10.1016/j.jsams.2015.02.007
33. Lykkegaard CR, Andersen HS, Wehberg S, Holden S, Waldorff FB, Søndergaard J, et al. The association between childhood motor performance and developmental trajectories of sport participation over 5 years in Danish students aged 6-16-year-old. Sci Rep. 2023 Mar;13(1):4133. doi: https://doi.org/10.1038/s41598-023-31344-x
34. Shull ER, Dowda M, Saunders RP, McIver K, Pate RR. Sport participation, physical activity and sedentary behavior in the transition from middle school to high school. J Sci Med Sport. 2020 Apr;23(4):385–9. doi: https://doi.org/10.1016/j.jsams.2019.10.017
35. Rovio SP, Yang X, Kankaanpää A, Aalto V, Hirvensalo M, Telama R, et al. Longitudinal physical activity trajectories from childhood to adulthood and their determinants: The Young Finns Study. Scand J Med Sci Sports. 2018 Mar;28(3):1073–83. doi: https://doi.org/10.1111/sms.12988
36. Bringolf-Isler B, Schindler C, de Hoogh K, Kayser B, Suggs LS, Dössegger A, et al.; SOPHYA Study Group. Association of objectively measured and perceived environment with accelerometer-based physical activity and cycling: a Swiss population-based cross-sectional study of children. Int J Public Health. 2019 May;64(4):499–510. doi: https://doi.org/10.1007/s00038-019-01206-3
37. Bringolf-Isler B, Schindler C, Kayser B, Suggs LS, Probst-Hensch N, Group SS; SOPHYA Study Group. Objectively measured physical activity in population-representative parent-child pairs: parental modelling matters and is context-specific. BMC Public Health. 2018 Aug;18(1):1024. doi: https://doi.org/10.1186/s12889-018-5949-9
38. Lamprecht M, Bürgi R, Gebert A, Stamm HP. Sport Schweiz 2020: Kinder- und Jugendbericht. Magglingen: Bundesamt für Sport BASPO2021. Available from https://www.sportobs.ch/inhalte/Downloads/Kinder_und_Jugendbericht_2020_d.pdf
39. Lamprecht M, Fischer A, Wiegand D, Stamm HP. Sport Schweiz 2014: Kinder- und Jugendbericht. Magglingen: Bundesamt für Sport BASPO2015. Available from https://www.swissolympic.ch/dam/jcr:45d4cf9c-ba54-4c00-acf9-45e33fb94e74/sport_schweiz_2014_kinder_und_jugendbericht_d.pdf
40. Cole TJ, Lobstein T. Extended international (IOTF) body mass index cut-offs for thinness, overweight and obesity. Pediatr Obes. 2012 Aug;7(4):284–94. doi: https://doi.org/10.1111/j.2047-6310.2012.00064.x
41. Vanhelst J, Mikulovic J, Bui-Xuan G, Dieu O, Blondeau T, Fardy P, Béghin L. Comparison of two ActiGraph accelerometer generations in the assessment of physical activity in free living conditions. BMC Research Notes. 2012 2012/04/25;5(1):187. doi: https://doi.org/10.1186/1756-0500-5-187
42. Trost SG, Loprinzi PD, Moore R, Pfeiffer KA. Comparison of accelerometer cut points for predicting activity intensity in youth. Med Sci Sports Exerc. 2011 Jul;43(7):1360–8. doi: https://doi.org/10.1249/MSS.0b013e318206476e
43. Freedson P, Pober D, Janz KF. Calibration of accelerometer output for children. Med Sci Sports Exerc. 2005 Nov;37(11 Suppl):S523–30. doi: https://doi.org/10.1249/01.mss.0000185658.28284.ba
44. Troiano RP, Berrigan D, Dodd KW, Mâsse LC, Tilert T, McDowell M. Physical activity in the United States measured by accelerometer. Med Sci Sports Exerc. 2008 Jan;40(1):181–8. doi: https://doi.org/10.1249/mss.0b013e31815a51b3
45. Jugend und Sport. (J+S) Statistiken 2023. 2023; Available from: https://backend.jugendundsport.ch/fileservice/sdweb-docs-prod-jugdsport-files/files/2024/04/24/d674c058-b521-4e0b-b839-8d4e5c153e1b.pdf
46. Ikeda E, Guagliano JM, Atkin AJ, Sherar LB, Ekelund U, Hansen B, et al.; International Children’s Accelerometry Database (ICAD) Collaborators. Cross-sectional and longitudinal associations of active travel, organised sport and physical education with accelerometer-assessed moderate-to-vigorous physical activity in young people: the International Children’s Accelerometry Database. Int J Behav Nutr Phys Act. 2022 Apr;19(1):41. doi: https://doi.org/10.1186/s12966-022-01282-4
47. Basterfield L, Adamson A, Frary J, Parkinson K, Pearce M, Reilly J. Team ftGMSC. Longitudinal Study of Physical Activity and Sedentary Behavior in Children. Pediatrics. 2011;127(1):e24–30. doi: https://doi.org/10.1542/peds.2010-1935
48. Brooke HL, Corder K, Griffin SJ, van Sluijs EM. Physical activity maintenance in the transition to adolescence: a longitudinal study of the roles of sport and lifestyle activities in British youth. PLoS One. 2014 Feb;9(2):e89028. doi: https://doi.org/10.1371/journal.pone.0089028
49. Yang X, Kukko T, Lounassalo I, Kulmala J, Hakonen H, Rovio SP, et al. Organized Youth Sports Trajectories and Adult Health Outcomes: The Young Finns Study. Am J Prev Med. 2022 Dec;63(6):962–70. doi: https://doi.org/10.1016/j.amepre.2022.06.018
50. Kandola A, Lewis G, Osborn DP, Stubbs B, Hayes JF. Depressive symptoms and objectively measured physical activity and sedentary behaviour throughout adolescence: a prospective cohort study. Lancet Psychiatry. 2020 Mar;7(3):262–71. doi: https://doi.org/10.1016/S2215-0366(20)30034-1
51. Machado Rodrigues AM, Coelho e Silva MJ, Mota J, Cumming SP, Sherar LB, Neville H, et al. Confounding effect of biologic maturation on sex differences in physical activity and sedentary behavior in adolescents. Pediatr Exerc Sci. 2010 Aug;22(3):442–53. doi: https://doi.org/10.1123/pes.22.3.442
52. Steene-Johannessen J, Hansen BH, Dalene KE, Kolle E, Northstone K, Møller NC, et al.; Determinants of Diet and Physical Activity knowledge hub (DEDIPAC); International Children’s Accelerometry Database (ICAD) Collaborators, IDEFICS Consortium and HELENA Consortium. Variations in accelerometry measured physical activity and sedentary time across Europe - harmonized analyses of 47,497 children and adolescents. Int J Behav Nutr Phys Act. 2020 Mar;17(1):38. doi: https://doi.org/10.1186/s12966-020-00930-x
53. Corder K, Sharp SJ, Atkin AJ, Andersen LB, Cardon G, Page A, et al.; International Children’s Accelerometry Database (ICAD) Collaborators. Age-related patterns of vigorous-intensity physical activity in youth: The International Children’s Accelerometry Database. Prev Med Rep. 2016 May;4:17–22. doi: https://doi.org/10.1016/j.pmedr.2016.05.006
54. Kelly LA, Reilly JJ, Fisher A, Montgomery C, Williamson A, McColl JH, et al. Effect of socioeconomic status on objectively measured physical activity. Arch Dis Child. 2006 Jan;91(1):35–8. doi: https://doi.org/10.1136/adc.2005.080275
55. Brodersen NH, Steptoe A, Boniface DR, Wardle J. Trends in physical activity and sedentary behaviour in adolescence: ethnic and socioeconomic differences. Br J Sports Med. 2007 Mar;41(3):140–4. doi: https://doi.org/10.1136/bjsm.2006.031138
56. Janssen I, Clarke AE, Carson V, Chaput JP, Giangregorio LM, Kho ME, et al. A systematic review of compositional data analysis studies examining associations between sleep, sedentary behaviour, and physical activity with health outcomes in adults. Appl Physiol Nutr Metab. 2020 Oct;45(10 (Suppl. 2) Suppl. 2):S248–57. doi: https://doi.org/10.1139/apnm-2020-0160
The appendix is available in the pdf version of the article.