DOI: https://doi.org/https://doi.org/10.57187/s.3501
Hybrid closed-loop (HCL) and the newer advanced hybrid closed-loop (AHCL) systems have transformed insulin delivery in recent years. These systems comprise three components: an insulin pump, a continuous glucose monitoring device, and a control algorithm to automatically adapt insulin delivery based on glucose trends. Compared to the hybrid-closed loop, the advanced hybrid-closed loop systems have enhanced algorithms, including individualised glucose targets or microbolusing. The hybrid-closed and advanced hybrid-closed loops significantly improved glucose levels in individuals with diabetes [1–6]. However, there is limited evidence on how glucose levels change in patients undergoing multiple transitions towards more advanced insulin delivery systems [7].
This retrospective, real-world study at an outpatient tertiary Swiss centre aimed to assess glucose levels in adults with diabetes transitioning from a sensor-augmented pump with (predictive) low-glucose suspend ([P]LGS) to an HCL and from an HCL to an AHCL. In addition, we performed a subgroup analysis in individuals undergoing both transitions ([P]LGS → HCL → AHCL).
This retrospective study was conducted at the University Hospital of Bern and approved by the local ethics committee (2019-00912). Between 01/2018 and 12/2021, we included two groups of adults with diabetes providing general consent. The first group ([P]LGS → HCL) changed from the MiniMed 640G (Medtronic, Northridge, CA, USA) to the MiniMed 670G. The second group (HCL → AHCL) changed from the MiniMed 670G to the MiniMed 780G. Their clinical data were obtained from electronic health records. Continuous glucose monitoring (CGM) data and corresponding glycated haemoglobin A1c (HbA1c) values were obtained before and after transitioning from the old to the new insulin delivery system. Individuals and corresponding continuous glucose monitoring periods were only included in this analysis if they fulfilled all of the following criteria: (a) 30 consecutive days of continuous glucose monitoring, (b) ≥50% of continuous glucose monitoring data were available, (c) ≥50% of the time spent in automatic mode (for hybrid-closed loop and advanced hybrid-closed loop systems), and (d) data were collected within nine months before and after the transition (figure S3, table S3 in the appendix). Furthermore, individuals initiating or stopping an off-label treatment with sodium/glucose cotransporter 2 (SGLT2) inhibitors during the study period and pregnant women were excluded. Continuous glucose monitoring records were exported with the proprietary manufacturer software. HbA1cvalues were obtained from the laboratory information system.
Glucose levels were assessed using standardised continuous glucose monitoring metrics [8], including time in range (TIR; 3.9–10.0 mmol/l), time above range (TAR; >10.0 mmol/l), time below range (TBR; <3.9 mmol/l), mean glucose (mmol/l), coefficient of variation (%), and glucose management indicator (GMI; %).
Statistical analyses were performed using STATA 17.0 (StataCorp LLC, College Station, TX, USA). The normality of the data distribution was assessed using the Shapiro–Wilk test. Results are presented as median (interquartile range) unless otherwise specified. The continuous glucose monitoring metrics and HbA1cvalues from the old versus new insulin delivery system were compared using a paired t-test or Wilcoxon signed-rank test, as appropriate. A two-sided p-value <0.05 was considered statistically significant.
Additionally, we performed a subgroup analysis of individuals undergoing both transitions (i.e. the (P)LGS → HCL → AHCL subgroup). The three periods were compared using repeated measure analysis of variance or the Friedman test with a post-hoc Bonferroni correction to control for multiple comparisons. The details of the participants’ grouping are shown in figure S2 in the appendix.
This study included 44 adults with diabetes (age: 38.5 y (28.5–51.0 y), HbA1c: 6.9% (6.2%–7.8%), 28 male; table S2 in the appendix).
The transition from the sensor-augmented pump with (P)LGS to the HCL system (n = 28) was associated with a median increase in the time in range of 6.6% (2.6%–12.7%, p <0.001) and decrease in time above range of 5.6% (2.3%–12.7%, p <0.001). There was no significant change in time below range (p = 0.063). Before transition, PLGS was active in four patients and LGS in 24 patients. LGS only suspends insulin delivery when the threshold for hypoglycaemia is reached. In contrast, PLGS suspends insulin delivery when hypoglycaemia is predicted.
The transition from the HCL to the AHCL system (n = 28) was associated with a median increase in time in range of 1.6% (–0.5%–4.5%, p = 0.046) and decrease in time above range of 1.5% (–1.8%–5.6%, p = 0.050). There was no significant change in time below range (p = 0.760).
The HbA1c level and total daily insulin dose (TDD) did not significantly change after both transitions. There was a trend towards higher continuous glucose monitoring usage time from (P)LGS to HCL and from HCL to AHCL. Table 1 shows the detailed continuous glucose monitoring metrics, insulin dosages, and HbA1c levels before and after transition in the (P)LGS → HCL and HCL → AHCL groups.
Table 1Glucose metrics for the (P)LGS → HCL and HCL → AHCL groups. Results are shown as median (interquartile range).
| (P)LGS → HCL Group (n = 28) | HCL → AHCL Group (n = 28) | ||||||
| Predictive low glucose suspend | Hybrid closed-loop | p-value | Hybrid closed-loop | Advanced hybrid closed-loop | p-value | ||
| Time in target range (3.9–10.0 mmol/l; %) | 66.6 (54.4–77.4) | 73.7 (63.7–82.9) | <0.001 | 74.8 (65.2–83.5) | 77.3 (68.7–85.5) | 0.046 | |
| Night (%) | 69.1 (58.3–81.5) | 78.2 (70.2–88.9) | <0.001 | 82.8 (67.9–91.7) | 85.3 (77.2–90.9) | 0.056 | |
| Day (%) | 65.7 (54.4–76.8) | 73.7 (63.0–81.3) | 0.001 | 72.9 (64.2–85.1) | 75.1 (64.0–85.4) | 0.136 | |
| Time above target range (>10 mmol/l; %) | 29.8 (20.0–43.4) | 24.8 (14.3–35.2) | <0.001 | 23.9 (14.9–33.8) | 21.1 (11.5–27.9) | 0.050 | |
| Night (%) | 26.8 (14.9–39.8) | 18.8 (7.7–28.9) | <0.001 | 14.6 (7.5–28.9) | 13.5 (6.7–21.0) | 0.032 | |
| Day (%) | 29.9 (18.9–43.6) | 23.3 (14.3–35.8) | 0.002 | 24.9 (12.3–35.1) | 21.6 (12.8–32.7) | 0.171 | |
| Time below target range (<3.9 mmol/l; %) | 2.85 (1.20–4.65) | 1.82 (0.91–3.31) | 0.063 | 1.54 (0.58–3.21) | 1.59 (0.71–2.88) | 0.762 | |
| Night (%) | 2.48 (1.02–7.72) | 1.39 (0.43–2.53) | 0.086 | 1.00 (0.21–1.56) | 0.80 (0.35–2.44) | 0.771 | |
| Day (%) | 2.65 (0.84–4.44) | 2.10 (1.00–3.68) | 0.049 | 1.83 (0.53–3.67) | 1.59 (0.75–2.96) | 0.662 | |
| Mean glucose (mmol/l) | 8.51 (7.75–9.88) | 8.45 (7.67–9.07) | 0.018 | 8.28 (7.62–9.08) | 7.99 (7.52–8.60) | 0.005 | |
| Night (mmol/l) | 8.38 (7.60–9.79) | 8.02 (7.33–8.87) | 0.021 | 7.93 (7.31–8.69) | 7.50 (7.15–8.15) | 0.001 | |
| Day (mmol/l) | 8.66 (7.71–10.07) | 8.19 (7.76–9.32) | 0.045 | 8.20 (7.72–9.24) | 7.99 (7.50–8.76) | 0.037 | |
| Coefficient of variation (%) | 36.4 (33.8–39.2) | 32.3 (29.3–35.8) | <0.001 | 31.6 (26.7–36.2) | 32.8 (27.8–37.5) | 0.014 | |
| Night (%) | 34.5 (29.8–40.5) | 29.3 (27.2–33.8) | 0.002 | 28.8 (20.9–35.0) | 30.0 (23.3–35.1) | 0.068 | |
| Day (%) | 35.5 (33.9–38.7) | 32.6 (29.9–36.5) | <0.001 | 33.1 (26.5–35.6) | 33.1 (28.3–37.6) | 0.037 | |
| Glucose management indicator (%) | 6.97 (6.49–7.83) | 6.92 (6.44–7.32) | 0.018 | 6.83 (6.41–7.33) | 6.64 (6.34–7.03) | 0.005 | |
| Night (%) | 6.89 (6.40–7.78) | 6.66 (6.22–7.20) | 0.021 | 6.60 (6.21–7.08) | 6.33 (6.11–6.74) | 0.001 | |
| Day (%) | 7.06 (6.46–7.95) | 6.77 (6.50–7.48) | 0.045 | 6.77 (6.47–7.43) | 6.64 (6.33–7.13) | 0.037 | |
| HbA (%) | 7.3 (6.6–7.9) | 7.0 (6.2–7.5) | 0.447 | 6.95 (6.45–7.5) | 6.95 (6.35–7.65) | 0.870 | |
| Total daily insulin dose (IU/kg/day) | 0.61 (0.52–0.74) | 0.56 (0.48–0.67) | 0.406 | 0.58 (0.49–0.75) | 0.59 (0.51–0.73) | 0.499 | |
| Time continuous glucose monitoring active (%) | 81.3 (67.5–91.7) | 90.0 (74.5–94.0) | 0.052 | 87.0 (83.5–95) | 90.0 (85.0–95.5) | 0.194 | |
| Time in auto-mode | No auto-mode | 86.5 (75.0–96.0) | – | 87.5 (78.0–96.5) | 96.5 (89.5–99.5) | <0.001 | |
(P)LGS: (predictive) low-glucose suspend; HCL: hybrid closed-loop; AHCL: advanced hybrid closed-loop; HbA1c: glycated haemoglobin.
The subgroup analysis corroborated these results, which included only patients undergoing both transitions ([P]LGS → HCL → AHCL; 14 of the 44 included patients). Figure S1 and table S1 in the appendix show these patients’ detailed continuous glucose monitoring metrics. In the subgroup, PLGS was active in two patients and LGS in 12 patients. Additional device settings and insulin types used are provided in tables S4–S6 in the appendix.
Closed-loop systems, which adjust insulin delivery based on real-time glucose measurements, are increasingly used in diabetology and have been continuously optimised in recent years. This retrospective, real-world study at the University Hospital Bern evaluated glucose levels in patients with diabetes transitioning towards more advanced insulin delivery systems. Its findings are twofold. First, glucose levels significantly improved when switching from a sensor-augmented pump with (P)LGS to an HCL. Second, glucose levels further improved when switching from an HCL to an AHCL, although the added benefit of AHCL was comparably smaller.
Previous studies comparing hybrid-closed loop therapy to sensor-augmented pumps with (P)LGS reported an 8%–11% increase in time in range with no increased hypoglycaemia risk [9, 10]. Our results are consistent with these findings, showing a median increase in time in range of 6.6% (2.6%–12.7%, p <0.001) and no change in time below range when switching from (P)LGS to HCL. The slightly smaller improvement in time in range in our study might be explained by the real-world setting, the already considerable glycaemic control at baseline, and/or the limited sample size. After transitioning from an HCL to an AHCL, glucose levels improved further (median increase in time in range of 1.6% [–0.5%–4.5%, p = 0.046]), albeit to a smaller extent. Consistent with this, a recent study showed an increase in time in range of around 4% when using an AHCL versus a hybrid-closed loop system [11]. Our findings in the (P)LGS → HCL and HCL → AHCL groups were confirmed in the subgroup analysis of patients undergoing both transitions. In summary, the improvement in time in range in our cohort can be regarded as clinically significant, where 64% and 68% of the patients using the hybrid-closed loop and advanced hybrid-closed loop systems achieved the recommended target of time in range >70%, respectively [12].
Consistent with an earlier report [13], time in range notably improved at night after transitioning to a hybrid-closed loop, mainly due to fewer external factors influencing glucose levels, such as meals or exercise. In contrast, the switch to an AHCL mainly resulted in improved time in range and time above range during the day, likely due to the advanced algorithm’s ability to respond with automated correction boluses to these external factors. In addition, AHCL systems facilitate maintaining the automatic (closed-loop) mode, potentially contributing to improved glucose levels among our AHCL users.
HbA1c levels remained stable after transitioning to the more advanced insulin delivery systems. This stability is inconsistent with our continuous glucose monitoring findings, which showed improved glucose levels reflected by mean glucose, time in range, time above range, and GMI. This discrepancy might be explained by continuous glucose monitoring being more holistic in capturing glucose levels and, therefore, specific enough to detect subtle improvements in an already well-controlled population at baseline [12]. Furthermore, device settings with higher target glucose ranges and longer duration of insulin action (see tables S4 and S5), resulting in a less aggressive insulin delivery algorithm, may result in improved time in range while HbA1cis less affected.
The strength of this study is the analysis of glucose levels in patients undergoing more than one transition towards more advanced insulin delivery systems, unlike previous studies that focused on single transitions or head-to-head comparisons. In addition, the study data was collected from manually calibrated continuous glucose monitoring sensors (i.e. before the introduction of the factory-calibrated Guardian 4 sensor), thereby improving the accuracy of our continuous glucose monitoring data [14]. We fully acknowledge several limitations. First, the study’s single-centre and retrospective design does not allow for excluding selection bias or other systematic errors. Second, its limited observation period shortly after transition might overestimate treatment effects [15]. Third, its limited sample size warrants validation in a larger population, which would also allow for assessing the effect of different patient characteristics on glucose outcomes. Fourth, the patients were mainly Caucasian males, potentially limiting generalisation to other populations. Finally, this study evaluated changes in glucose levels with insulin delivery systems from a single manufacturer, precluding the generalisation of our results to other (A)HCL systems on the market.
While previous studies mainly focused on head-to-head comparisons or single transitions, our analysis provides evidence that sequential transitions towards more advanced insulin delivery systems from one manufacturer significantly improve time in the target glucose range in a well-controlled population with type 1 diabetes at a Swiss tertiary hospital.
We are grateful to all patients who provided their data for this analysis. We also thank Laura Goetschi for providing administrative support.
Author contributions: VL, FN, and TZ designed the study, analysed and interpreted the data, and wrote the manuscript. FN collected and reviewed the data. ML, and CS critically reviewed the manuscript. All authors approved the final draft of the manuscript for submission. TZ is the guarantor of this work and, as such, had full access to all the data in the study and takes responsibility for the integrity of the data and the accuracy of the data analysis.
This was an investigator-initiated study and received no funding. No competing financial interests exist.
All authors have completed and submitted the International Committee of Medical Journal Editors form for disclosure of potential conflicts of interest. No potential conflict of interest related to the content of this manuscript was disclosed.
1. Berget C, Akturk HK, Messer LH, Vigers T, Pyle L, Snell-Bergeon J, et al. Real-world performance of hybrid closed loop in youth, young adults, adults and older adults with type 1 diabetes: identifying a clinical target for hybrid closed-loop use. Diabetes Obes Metab. 2021 Sep;23(9):2048–57. 10.1111/dom.14441
2. Brown SA, Kovatchev BP, Raghinaru D, Lum JW, Buckingham BA, Kudva YC, et al.; iDCL Trial Research Group. Six-Month Randomized, Multicenter Trial of Closed-Loop Control in Type 1 Diabetes. N Engl J Med. 2019 Oct;381(18):1707–17. 10.1056/NEJMoa1907863
3. Phillip M, et al.; Consensus Recommendations for the Use of Automated Insulin Delivery Technologies in Clinical Practice. Endocr Rev. 2022;•••:bnac022.
4. McAuley SA, Lee MH, Paldus B, Vogrin S, de Bock MI, Abraham MB, et al.; Australian JDRF Closed-Loop Research Group. Six Months of Hybrid Closed-Loop Versus Manual Insulin Delivery With Fingerprick Blood Glucose Monitoring in Adults With Type 1 Diabetes: A Randomized, Controlled Trial. Diabetes Care. 2020 Dec;43(12):3024–33. 10.2337/dc20-1447
5. Tauschmann M, Thabit H, Bally L, Allen JM, Hartnell S, Wilinska ME, et al.; APCam11 Consortium. Closed-loop insulin delivery in suboptimally controlled type 1 diabetes: a multicentre, 12-week randomised trial. Lancet. 2018 Oct;392(10155):1321–9. 10.1016/S0140-6736(18)31947-0
6. Carlson AL, Sherr JL, Shulman DI, Garg SK, Pop-Busui R, Bode BW, et al. Safety and Glycemic Outcomes During the MiniMed™ Advanced Hybrid Closed-Loop System Pivotal Trial in Adolescents and Adults with Type 1 Diabetes. Diabetes Technol Ther. 2022 Mar;24(3):178–89. 10.1089/dia.2021.0319
7. Beato-Víbora PI, Gallego-Gamero F, Lázaro-Martín L, Romero-Pérez MD, Arroyo-Díez FJ. Prospective Analysis of the Impact of Commercialized Hybrid Closed-Loop System on Glycemic Control, Glycemic Variability, and Patient-Related Outcomes in Children and Adults: A Focus on Superiority Over Predictive Low-Glucose Suspend Technology. Diabetes Technol Ther. 2020 Dec;22(12):912–9. 10.1089/dia.2019.0400
8. Battelino T, Danne T, Bergenstal RM, Amiel SA, Beck R, Biester T, et al. Clinical Targets for Continuous Glucose Monitoring Data Interpretation: Recommendations From the International Consensus on Time in Range. Diabetes Care. 2019 Aug;42(8):1593–603. 10.2337/dci19-0028
9. Lunati ME, Morpurgo PS, Rossi A, Gandolfi A, Cogliati I, Bolla AM, et al. Hybrid Close-Loop Systems Versus Predictive Low-Glucose Suspend and Sensor-Augmented Pump Therapy in Patients With Type 1 Diabetes: A Single-Center Cohort Study. Front Endocrinol (Lausanne). 2022 Apr;13:816599. 10.3389/fendo.2022.816599
10. Lepore G, Scaranna C, Corsi A, Dodesini AR, Trevisan R. Switching from Suspend-Before-Low Insulin Pump Technology to a Hybrid Closed-Loop System Improves Glucose Control and Reduces Glucose Variability: A Retrospective Observational Case-Control Study. Diabetes Technol Ther. 2020 Apr;22(4):321–5. 10.1089/dia.2019.0302
11. Bergenstal RM, Nimri R, Beck RW, Criego A, Laffel L, Schatz D, et al.; FLAIR Study Group. A comparison of two hybrid closed-loop systems in adolescents and young adults with type 1 diabetes (FLAIR): a multicentre, randomised, crossover trial. Lancet. 2021 Jan;397(10270):208–19. 10.1016/S0140-6736(20)32514-9
12. ElSayed, N.A., et al., 6. Glycemic Targets: Standards of Care in Diabetes—2023.
13. Diabetes Care. 2022;46 Supplement_1:S97–110.
14. Leelarathna L, Dellweg S, Mader JK, Allen JM, Benesch C, Doll W, et al.; AP@home Consortium. Day and night home closed-loop insulin delivery in adults with type 1 diabetes: three-center randomized crossover study. Diabetes Care. 2014 Jul;37(7):1931–7. 10.2337/dc13-2911
15. p. 1931-7.
16. Acciaroli G, Vettoretti M, Facchinetti A, Sparacino G. Calibration of Minimally Invasive Continuous Glucose Monitoring Sensors: State-of-The-Art and Current Perspectives. Biosensors (Basel). 2018 Mar;8(1):24. 10.3390/bios8010024
17. Petrovski G, Al Khalaf F, Campbell J, Umer F, Almajaly D, Hamdan M, et al. One-year experience of hybrid closed-loop system in children and adolescents with type 1 diabetes previously treated with multiple daily injections: drivers to successful outcomes. Acta Diabetol. 2021 Feb;58(2):207–13. 10.1007/s00592-020-01607-4

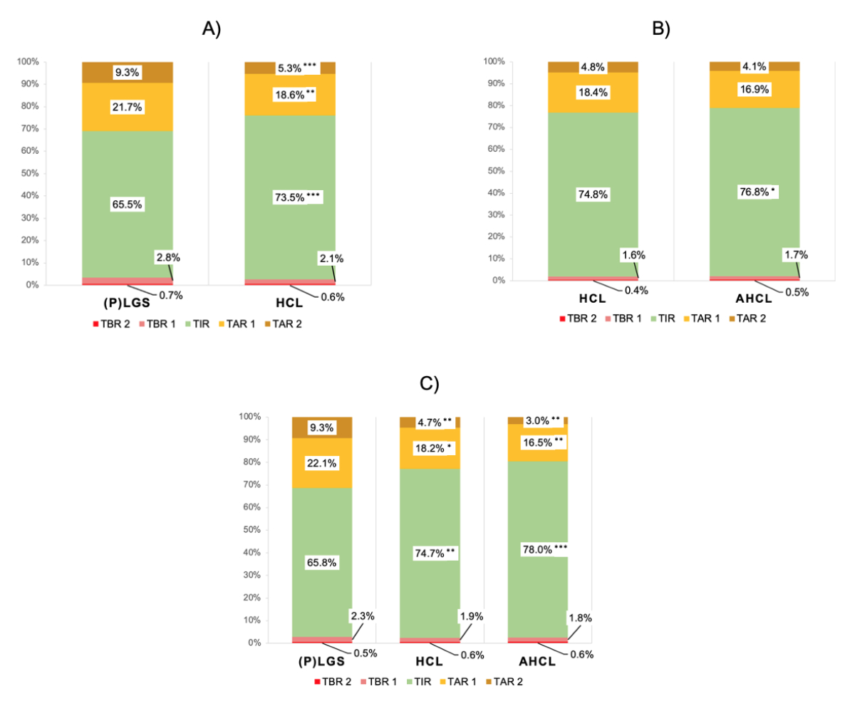
Figure S1Time in ranges after transition. (A) Time in range for the (P)LGS → HCL group (n = 28); (B) time in ranges for the HCL → AHCL group (n = 28); (C) Time in ranges for the (P)LGS → HCL → AHCL subgroup undergoing both transitions (n =1 4). The mean times in the respective ranges are shown.
Asterisks denote significance levels of comparing the pre vs. post period: *, p <0.05; **, p <0.01; ***, p <0.001.
(P)LGS, predictive low-glucose suspend; HCL, hybrid closed-loop; AHCL, advanced hybrid closed-loop; TBR 1, time below range level 1 (3.0–3.8 mmol/l); TBR 2, time below range level 2 (<3.0 mmol/l); TIR, time in range (3.9–10.0 mmol/l); TAR 1, time above target range level 1 (10.0–13.9 mmol/l); TAR 2, time above target range level 2 (>13.9 mmol/l).
Table S1Glucose levels in participants undergoing both transitions (subgroup analysis, n = 14). Results are presented as median (interquartile range). Asterisks denote significance levels of post estimations comparing the (P)LGS period to the HCL and AHCL periods: *, p <0.05; **, p <0.01; ***, p <0.001.
| Variable | (P)LGS | HCL | AHCL | p-value |
| TIR (3.9–10.0 mmol/l; %) | 69.4 (50.3–79.2) | 76.5 (65.3–81.3)** | 78.7 (69.7–85.8)*** | <0.001 |
| Night (%) | 69.3 (62.4–80.4) | 84.6 (67.7–92.3)*** | 85.3 (79.5–90.0)** | <0.001 |
| Day (%) | 69.3 (57.2–77.9) | 74.9 (64.4–82.8)** | 77.7 (68.1–85.7)*** | <0.001 |
| TAR (>10.0 mmol/l; %) | 27.0 (20.0–45.1) | 20.7 (15.9–33.5)** | 18.1 (13.2–25.8)*** | 0.001 |
| Night (%) | 26.2 (15.0–36.6) | 12.5 (6.1–26.3)** | 13.5 (9.2–17.9)*** | 0.002 |
| Day (%) | 27.7 (18.7–40.7) | 23.1 (12.3–35.2)* | 18.8 (13.2–29.0)** | 0.001 |
| TBR (<3.9 mmol/l; %) | 2.20 (0.79–4.59) | 2.53 (1.20–3.32) | 2.58 (0.92–3.69) | 0.775 |
| Night (%) | 1.52 (0.48–4.80) | 1.15 (0.42–2.05) | 1.20 (0.39–2.45) | 0.109 |
| Day (%) | 1.98 (0.54–4.10) | 3.14 (1.06–4.01) | 2.86 (0.92–4.00) | 0.607 |
| Mean glucose (mmol/l) | 8.35 (7.71–9.93) | 8.05 (7.60–8.91) | 7.77 (7.47–8.37)** | 0.006 |
| Night (mmol/l) | 8.17 (7.60–9.49) | 7.88 (7.15–8.47) | 7.51 (7.34–8.00)** | 0.025 |
| Day (mmol/l) | 8.54 (7.88–10.08) | 8.20 (7.49–9.27) | 7.87 (7.47–8.55)** | 0.008 |
| CV (%) | 35.5 (33.5–38.9) | 30.4 (26.8–36.9)*** | 32.6 (28.4–37.6)** | <0.001 |
| Night (%) | 33.0 (30.0–35.1) | 26.0 (20.1–30.9)** | 28.7 (21.7–32.9)** | 0.001 |
| Day (%) | 36.1 (33.6–38.4) | 31.6 (26.9–35.5)** | 31.9 (28.6–38.8) | 0.003 |
| GMI (%) | 6.87 (6.46–7.87) | 6.67(6.40–7.22)* | 6.50 (6.31–6.88)** | 0.006 |
| Night (%) | 6.75 (6.40–7.59) | 6.57 (6.11–6.95) | 6.33 (6.23–6.65)** | 0.025 |
| Day (%) | 6.99 (6.57–7.96) | 6.77 (6.32–7.44) | 6.57 (6.31–6.99)** | 0.008 |
| HbA1c(%) | 6.85 (6.20–7.80) | 6.90 (6.50–7.60) | 6.80 (6.40–7.50) | 0.291 |
| TDD (IU/kg/day) | 0.62 (0.52–0.74) | 0.61 (0.50–0.85) | 0.62 (0.54–0.74) | 0.339 |
| Time CGM active (%) | 77.7 (63.7–91.3) | 88.5 (84.0–95.0)** | 90.5 (88.0–94.0)*** | 0.001 |
| Time in auto-mode (%) | no auto-mode | 86.5 (81.0–96.0) | 96.5 (91.0–98.0) | - |
(P)LGS, (predictive) low-glucose suspend; HCL, hybrid closed-loop; AHCL, advanced hybrid closed-loop; TIR, time in target range (3.9–10.0 mmol/l); TBR, time below target range (<3.9 mmol/l); TAR, time above target range (>10.0 mmol/l); CV, coefficient of variation; GMI, glucose management indicator; HbA1c, glycated haemoglobin; TDD, total daily insulin dose per day and kilogram body weight; CGM, continuous glucose measurement.
Table S2Baseline characteristics of the study participants before transition. Results are presented as median (interquartile range).
| Overall (n = 44) | (P)LGS → HCL group (n = 28) | HCL → AHCL group (n = 28) | (P)LGS → HCL → AHCL subgroup (n = 14) | |
| Sex (m; f) | 28; 16 | 20; 8 | 18; 10 | 12; 2 |
| Age (years) | 38.5 (28.8–51.0) | 38.5 (28.5–51.0) | 38.5 (28.5–50.5) | 36.5 (26.0–48.0) |
| Weight (kg) | 79.1 (69.8–89.3) | 80.0 (70.0–89.5) | 78.0 (70.9–90.3) | 84.6 (75.3–90.9) |
| BMI (kg/m2) | 25.8 (23.7–28.5) | 25.7 (23.7–28.5) | 25.7 (23.7–28.6) | 25.5 (23.7–28.9) |
| Diabetes type | 43 had type 1 diabetes; 1 had pancreatogenic diabetes | 27 had type 1 diabetes; 1 had pancreatogenic diabetes | 27 had type 1 diabetes; 1 had pancreatogenic diabetes | 13 had type 1 diabetes; 1 had pancreatogenic diabetes |
| Diabetes duration (years) | 22.2 (16.0–33.6) | 22.7 (16.6–35.3) | 22.5 (16.0–28.0) | 22.0 (16.1–33.0) |
| TDD (IU/kg/day) | 0.58 (0.48–0.69) | 0.60 (0.49–0.69) | 0.58 (0.49–0.75) | 0.62 (0.52–0.74) |
| HbA1c (%) | 6.90 (6.20–7.73); | 6.85 (6.15–7.80) | 6.95 (6.45–7.50) | 6.85 (6.20–7.80) |
(P)LGS, (predictive) low-glucose suspend; HCL, hybrid closed-loop; AHCL, advanced hybrid closed-loop; m, male; f, female; BMI, body mass index; TDD, total daily insulin dose per day and kilogram body weight; IU, insulin units; HbA1c, glycated haemoglobin.

Figure S2Distribution of study participants within the (P)LGS → HCL and HCL → AHCL groups and the (P)LGS → HCL → AHCL subgroup. (P)LGS, (predictive) low-glucose suspend; HCL, hybrid closed-loop; AHCL, advanced hybrid closed-loop.

Figure S3Periods for inclusion of CGM data. (A) Periods for inclusion of CGM data for the (P)LGS → HCL and HCL → AHCL groups; (B) Subanalysis of the participants undergoing both transitions. CGM, continuous glucose monitoring; m, months; (P)LGS, (predictive) low-glucose suspend; HCL, hybrid closed-loop; AHCL, advanced hybrid closed-loop; MM670G, Medtronic MiniMed 670G; MM780G, Medtronic MiniMed 780G.
Table S3Duration between the switch and the pre/post data collection period for CGM and HbA1c data. Results are presented as median (interquartile range).
| (P)LGS → HCL group (n = 28) | |||||
| Pre-switch | Post-switch | ||||
| Days between the CGM period and the switch | 79.5 (41–137) | 132 (91.5–179) | |||
| Days between HbA1cand the switch | 58.5 (31–85) | 132 (91.5–179) | |||
| HCL → AHCL group (n = 28) | |||||
| Pre-switch | Post-switch | ||||
| Days between the CGM period and the switch | 38 (5–71) | 152.5 (98.0–190.5) | |||
| Days between HbA1cand the switch | 61.5 (33.5–77.5) | 156 (112.5–190.5) | |||
| (P)LGS → HCL → AHCL subgroup (n = 14) | |||||
| Pre-switch 1 | Post-switch 1 | Pre-switch 2 | Post-switch 2 | ||
| Days between the CGM period and the switch | 70.5 (45–94) | 655 (492–724) | 33.5 (2–70) | 136 (79–167) | |
| Days between the HbA1cand the switch | 53.5 (37–71) | 636 (492–722) | 65.5 (33–79) | 152.5 (82–180) | |
(P)LGS, (predictive) low-glucose suspend; HCL, hybrid closed-loop; AHCL, advanced hybrid closed-loop; HbA1c, glycated haemoglobin.
Table S4Target glucose values during the advanced hybrid closed-loop (AHCL) periods in the HCL → AHCL group and the (P)LGS → HCL → AHCL subgroup.
| Target value during AHCL | HCL → AHCL group (n = 28) | (P)LGS → HCL → AHCL subgroup (n = 14) |
| 5.5 mmol/l | 16 | 6 |
| 6.1 mmol/l | 7 | 6 |
| 6.7 mmol/l | 5 | 2 |
(P)LGS, (predictive) low-glucose suspend; HCL, hybrid closed-loop; AHCL, advanced hybrid closed-loop.
Table S5Active insulin time.
| (P)LGS → HCL group (n = 26) | HCL → AHCL group (n = 28) | (P)LGS → HCL → AHCL subgroup (n = 14) | |||||
| Active insulin time | (P)LGS | HCL | HCL | AHCL | (P)LGS | HCL | AHCL |
| 120 min | 5 | 7 | 11 | 10 | 5 | 5 | 6 |
| 135 min | - | - | 1 | - | - | - | - |
| 150 min | 2 | 4 | 5 | 9 | 1 | 3 | 3 |
| 180 min | 11 | 12 | 9 | 7 | 4 | 5 | 3 |
| 210 min | 1 | 2 | 1 | 1 | 1 | 1 | 1 |
| 240 min | 3 | 1 | 1 | 1 | 3 | - | 1 |
| 300 min | 1 | - | - | - | - | - | - |
| 330 min | - | - | - | - | - | - | - |
| 360 min | 3 | - | - | - | - | - | - |
(P)LGS, (predictive) low-glucose suspend; HCL, hybrid closed-loop; AHCL, advanced hybrid closed-loop.
Table S6Insulin type used.
| Insulin | (P)LGS → HCL group (n = 28) | HCL → AHCL group (n = 28) |
| Ultra-rapid insulin aspart (for all periods) | 14 | 21 |
| Insulin lispro (for all periods) | 5 | 1 |
| Insulin aspart (for all periods) | 3 | 1 |
| Insulin lispro → ultra-rapid insulin aspart | 1 | 1 |
| Insulin aspart → ultra-rapid insulin aspart | 5 | 1 |
| Ultra-rapid insulin aspart → insulin aspart | 0 | 2 |
| Unknown → ultra-rapid insulin aspart | 0 | 1 |
| Insulin | (P)LGS → HCL → ACHL subgroup (n = 14) | |
| Ultra-rapid insulin aspart (for all periods) | 10 | |
| Insulin aspart (for all periods) | 1 | |
| Insulin lispro → Insulin lispro → ultra-rapid insulin aspart | 1 | |
| Insulin lispro → ultra-rapid insulin aspart → ultra-rapid insulin aspart | 1 | |
| Insulin aspart → insulin lispro → insulin aspart | 1 | |