DOI: https://doi.org/https://doi.org/10.57187/smw.2023.40076
Among the many identified risk factors for Coronavirus disease (COVID-19) severity, such as sex, obesity, diabetes or hypertension, COVID-19 severity is strongly associated with age, with older individuals having a notably higher risk of mortality [1]. However, much inter-individual variation exists, even within age groups, that is not explainable by presently known risk factors [2, 3]. One potential explanation for the inter-individual variation could be differences in individuals’ epigenetic profiles.
Epigenetic modifications – which can be induced by environmental and lifestyle behaviors and subsequently alter gene expression – have been implicated in the pathophysiology of COVID-19 severity [4], with epigenetic factors potentially contributing to COVID-19 susceptibility by interfering with viral replication and infection [5]. For example, recent evidence suggests that epigenetic regulation of interferons and inflammatory signaling modulates expression of the ACE2 gene (a gene responsible for the production of the angiotensin converting enzyme 2); it is via ACE2 enzyme receptors that SARS-CoV-2 (severe acute respiratory syndrome coronavirus 2, the virus responsible for COVID-19) enters the human body [4, 6]. Likewise, epigenetic modifications have also been linked with the severity of response to infection, particularly in relation to inflammation and the so-called “cytokine storm” [7]. Epigenetic modifications, in particular estimates of epigenetic age, could thereby help explain the observed variation in COVID-19 symptom severity. To this effect, estimates of epigenetic age have been linked to adverse health outcomes such as cardiovascular disease, dementia and mortality [8]. Moreover, the difference between epigenetic and chronological age has been shown to be a consequence of lifestyle and environmental exposures [9, 10].
According to a recent survey in Nature, like other coronavirus variants, 60% of scientists believe that the SARS-CoV-2 virus will very likely become endemic [11]. Identifying long-term targeted therapies are therefore imperative for secondary prevention to reduce COVID-19 severity among individuals infected with the SARS-CoV-2 virus. Of note is that most epigenetic modifications are reversible. Identification of differential patterns of methylation associated with COVID severity could aid in identifying secondary, epigenetic targets of intervention. Moreover, estimates of youth capital (YC), which reflect the difference between an individual’s epigenetic and chronological age, may quantify abnormal aging due to lifestyle or other environmental exposures and provide insights that could inform risk-stratification for severe COVID-19 outcomes. The specific aims of the present study are to assess the association between different measures of epigenetic age and COVID-19 severity, as well as the added predictive value when including estimates of youth capital alongside the EPICOVID signature. We hypothesize that older epigenetic age and lifestyle exposures, including tobacco exposure and alcohol consumption, are associated with more severe COVID-19 outcomes.
This study is based on two study samples, referred to here by their Gene Expression Omnibus (GEO) accession references: GSE168739 [12] and GSE174818 [13]. Described in detail by Castro de Moura et al., briefly the GSE168739 is a retrospective, cross-sectional study that included 407 individuals with confirmed COVID-19 from 14 hospitals across Spain, had a BMI <30, not presenting with risk factors for comorbidities (diabetes, hypertension, auto-immune disorders, and chronic cardiovascular or lung diseases), non-smokers (including previous smokers) and less than 61 years of age [14]. COVID-19 severity was categorized into asymptomatic or paucisymptomatic (not hospitalized) and severe (requiring hospitalization including oxygen therapy or mechanical ventilation). The original study further stratified between those requiring oxygen therapies and those requiring mechanical ventilation. Whole blood samples – from which peripheral blood-derived DNA methylation was obtained – were retrospectively collected between March 7th 2020 and September 14th 2020.
In contrast, the second sample (GSE174818) is a single-center observational study of individuals admitted to the hospital for COVID-19 symptoms (n = 102), 18 years or older, who provided consent and were not at risk of imminent death. In this sample, Balnis et al. collected information on COVID-19 severity (intensive care unit [ICU] admittance or non-ICU), mortality status, as well as sociodemographic characteristics, severity indexes (e.g., Charlson comorbidity index), and other biomarkers of interest (e.g., C-Reactive protein [CRP]) [13]. Whole blood samples were collected at the time of study enrollment, succeeding admittance to Albany Medical Center, from April 6th 2020 through to May 1st 2020. Information on non-COVID patients (n = 26) admitted for unrelated respiratory health concerns, as well as healthy control patients (n = 39) identified prior to the COVID-19 pandemic, was also collected in the original study. However, these patients are excluded from the present manuscript. Given that this study is a secondary analysis of publicly available data, the sample size was pre-determined.
For both the GSE168739 and GSE174818 samples, DNA methylation was obtained using the Illumina Infinium MethylationEPIC Beadchip array (850K). DNA methylation is an epigenetic modification incorporated via the covalent attachment of a methyl group to the 5’ position of the cytosine ring; the location of this chemical modification is termed a ‘CpG site’. Beta values quantify the level of methylation at each individual CpG site, with zero representing no methylation and one representing full methylation. Files containing raw data were downloaded from GEO accession and subsequently normalized using an internally adapted version of the quantile normalization that included an eight-sample reference to ensure comparability [15,16]. Beta values were calculated using the reference sample-normalized data. Additional variables on patient-specific outcomes were obtained from the original study authors directly via e-mail (addresses obtained from the description page for each study on the GEO website) (e.g., Charlson comorbidity index, BMI, Fibrinogin, Albumin); details on variable collection are provided in the original manuscript [13,14]. An open science protocol was not prepared, nor registered for the present study.
Epigenetic age was assessed using three individual measures; epigenetic age as proposed by Hannum et al. [17] (Hannum), Horvath et al.[18] (Horvath), Levine et al.[19] (DNAm PhenoAge; referred to as PhenoAge in the present study) and Gonseth-Nusslé et al.(Gonseth-Nusslé). These individual epigenetic signatures represent first- (Horvath and HannumHa) and second-generation (Gonseth-Nusslé, and PhenoAge) estimates of epigenetic age. Whereas first-generation signatures were maximized to predict chronological age, second-generation signatures maximize “biological age” and subsequent disease prediction. To this effect, the Gonseth-Nusslé epigenetic signature accounts more for lifestyle effects, while the PhenoAge signature maximizes disease prediction. Lifestyle exposures, and tobacco and alcohol consumption were also assessed using epigenetic signatures.
Briefly, the lifestyle signatures for tobacco and alcohol consumption were determined by generating hundreds of thousands of models using data from a general population-based cohort (n = 694) [20], which included random combinations of CpGs identified in the literature as explanatory variables and respectively the number of cigarettes smoked per day or the number of standard glasses drunk per week as dependent variables. To minimize the risk of false findings, each random model went through a stepwise procedure based on Bayesian Information Criterion (BIC) statistics, and the CpG combination that maximized the goodness-of-fit (r-squared) was finally selected as the epigenetic signature. In a second step, an epigenetic age formula was estimated using a conditional regression framework to account for the contribution of lifestyle exposures on epigenetic age (Patent reference: EP 22 162 216.0), thereby identifying CpG sites associated with chronological age without controlling for lifestyle exposures. Signatures were calibrated using a subset of the original population (n = 442), and then validated using data from the remaining subset (n = 248). The epigenetic signature for alcohol consumption was then transformed to correspond to units of alcohol consumed, whereby a score of 12 equates to a consumption of 12 standard units of alcohol per week. CpGs identified for inclusion in the Gonseth-Nusslé epigenetic age signature were conditional on maximizing the association between the residual of the age-CpG model with lifestyle exposures. The epigenetic signatures Horvath, Hannum, and PhenoAge have been described previously [17–19]. Youth capital was calculated as the difference between epigenetic age and chronological age, such that a higher youth capital denotes a lower epigenetic age compared to the chronological age. The EPICOVID signature, described previously by Castro de Moura et al., is an epigenetic signature composed of 44 CpGs identified as being associated with the clinical severity of COVID-19 [14].
Ethics approvals from the institutional ethics review boards, and written informed consent from all participants were obtained in the previous studies included in this work [13, 14].
Age, BMI, the Charlson comorbidity index (an ordered variable ranging from 0 to 11) and all epigenetic signatures, including youth capital, were considered as continuous variables. Only sex was considered as a dichotomous (male/female) variable. In case of missing data, cases were planned to be excluded from statistical analyses, although data were non-missing for variables of interest (age, sex, and epigenetic signatures). The association between youth capital, as the independent variable of interest, and COVID-19 severity, as the primary dependent variable of interest, was assessed using logistic regression models; model assumptions were tested [21]. Separate models were used for each measure of youth capital (e.g., Hannum, Horvath, PhenoAge, and Gonseth-Nusslé), as well as for epigenetic signatures of lifestyle exposures, including alcohol consumption (GSE168739 and GSE174818 samples), and tobacco consumption (only the GSE174818 sample). To assess the predictive capacity of models to predict severity status when including youth capital and other epigenetic signatures, confidence intervals and point estimates for the receiving operator curve (ROC) summary area under the curve (AUC) measure were estimated using 10-fold cross-validation with the cvAUC package. Sensitivity – i.e., the ability of the model to correctly identify true positives – and specificity – the ability of the model to correctly identify true negatives – values (according to a threshold of 0.5) are also reported. Due to the likely overestimation of youth capital with increasing age, and the known influence of age on COVID-19 severity, all models were adjusted for chronological age and sex [22].
All analyses were carried out using R Studio (R version 4.0.2) [23].
Descriptive statistics for the GSE168739 and GSE174818 studies are provided in table 1. Participants included in the GSE168739 study and who had severe clinical symptoms were on average older than those without symptoms or paucisymptomatic, had a higher average epigenetic age, and a greater proportion were male (67.6%) (table 1).
Table 1Descriptive table of study characteristics, stratified by severity.
| GSE168739 (n = 407) | GSE 157103 (n = 102) | ||||
| Asymptomatic / paucisymptomatic (n = 194) | Severe (n = 213) | Alive (n = 77) | Dead (n = 25) | ||
| Mean (SD); Q1,Q3 | Mean (SD); Q1,Q3 | Mean (SD); Q1,Q3 | Mean (SD); Q1,Q3 | ||
| Chronological age (years) | 39.4 (10.7); 31.0, 47.0 | 44.6 (9.4); 39.0, 51.0 | 58.8 (16.3); 50.0, 72.0 | 69.3 (14.1); 64.0, 78.0 | |
| Epigenetic age | Gonseth-Nusslé | 42.5 (11.8); 33.5, 51.8 | 50.0 (10.7); 42.3,57.1 | 61.0 (14.7); 52.2, 69.7 | 71.3 (14.7); 67.0,82.7 |
| Horvath | 36.3 (10.9); 28.3, 44.6 | 41.3 (10.2); 34.0, 48.5 | 51.6 (13.2); 43.5, 60.4 | 60.1 (14.5); 55.0, 69.8 | |
| Hannum | 31.1 (10.2); 23.7, 38.7 | 39.5 (8.4); 34.0, 44.5 | 50.6 (13.1); 44.3, 59.8 | 60.0 (11.2); 58.1, 65.8 | |
| PhenoAge | 27.1 (14.3); 16.5, 37.2 | 39.3 (10.4); 32.9, 46.2 | 54.4 (16.2); 46.0, 65.3 | 67.5 (15.1); 66.1, 75.1 | |
| Youth capital | Gonseth-Nusslé | –3.1 (5.3); –5.9, –0.3 | –5.42 (5.5); –8.5, –2.3 | –2.1 (7.3); –7.0, 2.1 | –1.9 (7. 6); –6.6, 4.0 |
| Horvath | 3.0 (4.9); 0.2, 5.9 | 3.3 (5.1); 0.3, 6.6 | 7.4 (6.1); 3.3, 11.8 | 9.5 (5.9); 3.6, 14.2 | |
| Hannum | 8.3 (4.7); 5.6, 10.8 | 5.1 (4.8); 1.9, 8.0 | 8.0 (6.0); 3.3, 12.0 | 9.1 (6.7); 4.8, 13.0 | |
| PhenoAge | 12.2 (8.0); 8.5, 15.6 | 5.2 (7.0); 0.7,9.7 | 4.4 (7.5); –0.5, 8.6 | 1.8 (7.7); –4.1, 7.5 | |
| Females; n (%) | 153 (78.9) | 69 (32.4) | 29 (37.7) | 10 (40.0) | |
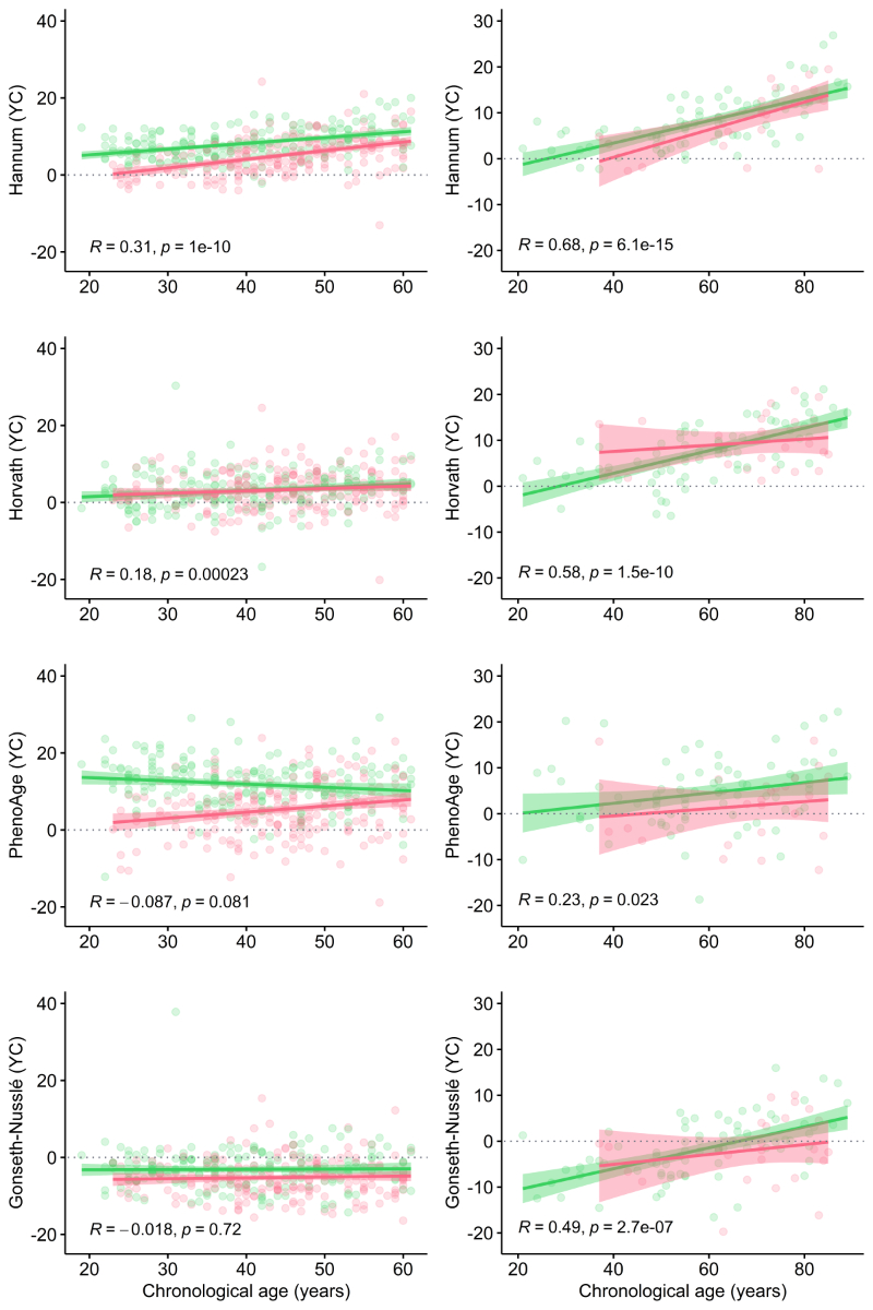
Similar sample distributions were observed for the GSE174818 study. A higher correlation between youth capital and chronological age was observed for the GSE174818 sample compared to the GSE168739 sample (figure 1). In comparison to individuals with less severe symptoms, youth capital was lower for those with severe symptoms; similarly, individuals who died had lower youth capital in comparison to those who survived (table 1 and figure 1). The epigenetic age estimated by Gonseth-Nusslé et al. was the only measure that reported an average epigenetic age that was older than the reported chronological age (table 1). Across all measures of epigenetic age, youth capital improved with chronological age (figure 1).

Figure 1 Correlation between youth capital and chronological age. Plots depict the correlation between measures of youth capital (y-axis) and chronological age (x-axis) (assessed using Spearman’s rank correlation coefficient). Plots on the left-hand side correspond to COVID-19 severity in the GSE168739 sample; plots on the right-hand side correspond to COVID-19 severity in the GSE174818 sample. For all plots, the green line represents less severe symptoms, and the red line represents severe symptoms/death.
Improved youth capital was associated with reduced odds of severe symptoms for the Gonseth-Nusslé, Hannum and PhenoAge measures (OR = 0.95, 95% CI = 0.91–1.00; OR = 0.81, 95% CI = 0.75–0.86; and OR = 0.85, 95% CI = 0.81–0.88, respectively), albeit not Horvath (table 2). Moreover, when adjusting for age and sex, the PhenoAge youth capital was associated with reduced odds of COVID-associated mortality (OR = 0.93, 95% CI = 0.86–0.99; unadjusted OR = 0.96, 95% CI = 0.90–1.02). This association persisted when additionally adjusting for BMI, the Charlson comorbidity index. A weak association was also observed for Hannum’s youth capital, although not significant (p = 0.09). The epigenetic signature (ES) for alcohol consumption, was associated with COVID-19 severity in the GSE168739 study. For example, a one-unit increase in the ES of alcohol consumption was associated with a 13% increased odds of severe symptoms (OR = 1.13, 95% CI = 1.05–1.23). This association remained even when adjusting for youth capital. No lifestyle exposures were associated with COVID-associated mortality in the GSE174818 sample.
Table 2Logistic regression results for the association between youth capital and COVID-19 severity (GSE168739). Presented coefficients represent odds ratios and 95% confidence intervals. COVID-19 severity is defined according to hospitalization status (yes/no).
| Gonseth-Nusslé | Horvath | Hannum | PhenoAge | ||
| Unadjusted model | 0.92 (0.8–0.95) | 1.01 (0.97–1.05) | 0.85 (0.80–0.89) | 0.85 (0.82–0.88) | |
| Adjusted model | Youth capital | 0.95 (0.91–1.00) | 1.00 (0.96–1.05) | 0.81 (0.75–0.86) | 0.85 (0.81–0.88) |
| Chronological age | 1.05 (1.03–1.07) | 1.05 (1.02–1.07) | 1.09 (1.06–1.13) | 1.06 (1.03–1.08) | |
| Sex | 6.62 (4.17–10.71) | 7.49 (4.77–11.99) | 4.64 (2.83–7.70) | 8.07 (4.77–13.64) | |
In comparison with the base model (adjusting only for age and sex), the AUC value was significantly improved when also including the ES of alcohol consumption and the PhenoAge youth capital estimate (AUC = 0.79, 95% CI = 0.74–0.83 versus 0.85, 95% CI = 0.81–0.88, respectively: p <0.001) (figure 2). At a threshold of 0.5, the base model had a sensitivity of 75.8% and specificity of 70.4%, while the model, including the PhenoAge youth capital and the ES for alcohol consumption had a sensitivity of 80.4% and specificity of 80.8%. Finally, the inclusion of the epigenetic signature for alcohol consumption and the PhenoAge youth capital with the EPICOVID signature improved the model performance (AUC = 0.94, 95% CI = 0.91–0.96 versus AUC = 0.95, 95% CI = 0.93–0.97; p = 0.01).

Figure 2 ROC curves for COVID-19 severity discrimination (GSE168739). The orange, solid line corresponds to the base model (age and sex); the green, short-dashed line corresponds to the model adjusting for age, sex, the epigenetic signature for alcohol and PhenoAge youth capital; the blue, dashed line corresponds to the model adjusting for age, sex, the epigenetic signature for alcohol consumption, PhenoAge youth capital, and the EPICOVID signature.
All measures of epigenetic age, except for the Horvath signature, were associated with COVID-19 symptom severity. However, the association across individual epigenetic signatures was not homogenous, as a stronger association with COVID-19 severity was observed for both the Hannum and PhenoAge signatures. The inclusion of PhenoAge youth capital and the EpiAlc signature alongside the age, sex, and the EPICOVID signature modestly improved the predictive capacity for COVID-19 severity. Finally, only the PhenoAge-based measure of youth capital was associated with an elevated COVID-related mortality.
The results from the present study support evidence for an association between epigenetic age and COVID-19-related outcomes. The observed variation in the strength of association across epigenetic signatures likely reflects differences in how the individual signatures were developed, but may also capture different aging processes [24]. For instance, the epigenetic age signature by Horvath et al. was developed using 51 different tissue and cell types and a 27k DNA methylation array, uses 353 age-associated CpG sites, and was optimized to measure chronological age [25]. In contrast, Hannum et al. used blood-derived DNA, an Illumina 450k micro-array platform, and subsequently identified 71 CpG sites associated with chronological age [17]. Gonseth-Nusslé et al. similarly used blood-derived DNA, but used an EPIC 850k micro-array platform, and identified chronological age-associated CpGs (n = 11) that were conditional on maximizing the contribution by epigenetic signatures of lifestyle exposures (patent reference: EP 22 162 216.0). Of the epigenetic signatures included in the present study, the DNAm PhenoAge signature is the only one that specifically incorporated measures of inflammation and immune system reactivity in its initial creation [19]. Recent evidence has pointed towards a so-called cytokine storm to be at the root of severe COVID-19 outcomes [26]. To this effect, age-associated changes to the immune system modify the immune response, particularly contributing to over activity, which may help to explain the worse COVID-19 symptomology observed among the elderly [26]. This could, in turn, explain why the DNAm PhenoAge signature – but not the other signatures – was associated with COVID-related mortality. Importantly, recent evidence based on Mendelian Randomization techniques suggests that epigenetic age does not lead to increased COVID-19 severity [27].
Epigenetic age is not sufficient to triage patients in the hospital as it is not as effective as the EPICOVID signature or interferon-based detection tests [28]. However, these signatures could serve to inform prevention efforts aimed at lifestyle management to prevent severe COVID-19 symptomology [29]. To this effect, the Gonseth-Nusslé signature also represents a convenient way of capturing the impact of exposure to lifestyle even when these exposures have not been adequately assessed in a given study. Recently, promising results have demonstrated the reversibility of epigenetic age. For example, a randomized clinical trial that targeted sleep, diet, physical activity, stress, and the gut microbiome found that at the end of the 8-week treatment program, participants in the intervention arm reduced their epigenetic age (measured using the Horvath signature) by an average of nearly two years [30]. Another clinical study targeted epigenetic age by repurposing pharmacological therapies, and administering individual-based doses of rhGH, DHEA, and metformin [31]. At the end of a 1-year study protocol, epigenetic age was reduced by an average of 2.5 years; an effect that persisted for up to six months post-study [31]. Unfortunately, considering the very small sample size (n = 10), further validation is needed. Targeting epigenetic modifications associated with COVID-19 severity could also inform the development of medications (e.g., “epidrugs”) to limit the severity of symptoms or in the identification of currently existing drug therapies that could be repurposed for tertiary prevention (i.e., the reduction of symptom severity) [32]. Finally, while DNA methylation techniques based on microarrays remain expensive and slow, emerging techniques – such as nanopore sequencing – could accelerate DNA methylation sequencing for use in a triage setting [33].
The present study uses two separate, publicly available datasets to investigate the association between epigenetic age and COVID-19 severity. Both included studies were restricted to individuals identified in a hospital setting with COVID-19 diagnosis. The GSE168739 sample excluded individuals who smoked tobacco, presented with comorbidities (e.g., BMI ³30), and were 61 years of age or older at time of inclusion. Results are thus not generalizable to the broader general population, particularly those known to be at higher risk of experiencing more severe COVID-19 symptomology. Furthermore, given the restriction to non-smokers it was not possible to investigate the contribution of tobacco consumption to COVID-19 severity. However, although there was no evidence for an association between the epigenetic signature of tobacco consumption and symptom severity in the GSE174818 sample, this could be due to the limited power to detect small effect sizes. Finally, the restriction of the GSE168739 sample to a population without known risk factors for COVID-19 severity, but also disease in the general population, may have contributed to the weaker association between the Gonseth-Nusslé epigenetic age and COVID-19 symptom severity.
In comparison to other epigenetic ages, the Gonseth-Nusslé estimated overall poorer youth capital, while the epigenetic age estimated using Hannum’s signature was overall younger. Such global differences could be influenced by platform effects, insomuch that the Hannum score was built based on a 450K assay, while the Gonseth-Nusslé score was based on the 850K EPIC assay. Moreover, while epigenetic age measures may capture different underlying aging processes, estimates of epigenetic age may be subject to measurement error or survivor bias, particularly among the elderly. El Khoury et al. recently demonstrated the systematic underestimation of epigenetic age among the elderly [22]. In theory, if such an effect is not present, youth capital should remain uncorrelated with chronological age; in the present study, although the Hannum signature was most strongly associated with COVID-19 severity in the GSE168739 sample, youth capital was also correlated with chronological age; demonstrating a dependence on chronological age (R2 = 0.3). In contrast, youth capital remained weakly associated with chronological age when measured using the Gonseth-Nusslé or PhenoAge signatures (R2 = 0.02 and 0.07, respectively). Another limitation of the present study is the lack of longitudinal measures of epigenetic age. It is thus unclear whether factors external to epigenetic age influence COVID-19 severity, which subsequently increases epigenetic age, or whether higher epigenetic age prior to infection plays a role in disease severity. Contributing to this incertitude, the stability of epigenetic mechanisms and signatures of epigenetic age is not well understood. Finally, it is necessary to note that the analyses included within this study are secondary analyses based on datasets that have additionally been used in two prior publications[34,35]. Complementing the results of these previous publications, this study investigates novel signatures of epigenetic age, tobacco, and alcohol consumption in association with COVID-19 outcomes.
Consideration of epigenetic age does not meaningfully improve the prediction of COVID-19 severity, but is a potentially useful tool in primary prevention, particularly as an incentive towards lifestyle changes that target reducing the risk of severe COVID-19 symptoms. Therefore, the development and extension of epigenetic-based tools towards routine clinical care should be encouraged, particularly in the context of chronic disease prevention. Unfortunately, the results from the present study cannot disentangle the relationship between COVID-19 severity and epigenetic age. To address this limitation, longitudinal studies are required to understand the interplay between epigenetic age and COVID-19 severity.
The datasets analyzed during the current study are available in the GEO Accession repository:
GSE174818[13]: https://www.ncbi.nlm.nih.gov/geo/query/acc.cgi?acc = GSE174818
GSE168739[14]: https://www.ncbi.nlm.nih.gov/geo/query/acc.cgi?acc = GSE168739
Statistical code and the epigenetic signatures described in this study (that is, those created by genknowme) are available upon request for non-commercial use by contacting genknowme at labo[at]genknowme.com.
We would like to extend a special thank you to Sylvain Pradervand for supporting data management questions and issues that arose during the preparation of this manuscript.
Authors' contributions: JDC: Conceptualization, methodology, formal analysis, writing – Original draft, MB: Investigation, writing – review & editing, SB and SGN: writing – review & editing, supervision, funding acquisition.
This study was supported by Innosuisse, grant reference: 41429.1 IP-LS.
The authors SGN and SN declare the following competing interests: A patent filed March 15, 2022 as a European Patent Application, reference number: EP 22 162 216.0. Financial interests in Genknowme. The remaining authors have no competing interests to declare: JDC, MB.
1. Wolff D , Nee S , Hickey NS , Marschollek M . Risk factors for Covid-19 severity and fatality: a structured literature review. Infection. 2021 Feb;49(1):15–28. https://doi.org/10.1007/s15010-020-01509-1
2. Pereira NL , Ahmad F , Byku M , Cummins NW , Morris AA , Owens A , et al. COVID-19: Understanding Inter-Individual Variability and Implications for Precision Medicine. Mayo Clin Proc. 2021 Feb;96(2):446–63. https://doi.org/10.1016/j.mayocp.2020.11.024
3. COVID-19 Host Genetics Initiative . Mapping the human genetic architecture of COVID-19. Nature. 2021 Dec;600(7889):472–7. https://doi.org/10.1038/s41586-021-03767-x
4. Chlamydas S , Papavassiliou AG , Piperi C . Epigenetic mechanisms regulating COVID-19 infection. Epigenetics. 2021 Mar;16(3):263–70. https://doi.org/10.1080/15592294.2020.1796896
5. Sen R , Garbati M , Bryant K , Lu Y . Epigenetic mechanisms influencing COVID-19. Genome. 2021 Apr;64(4):372–85. https://doi.org/10.1139/gen-2020-0135
6. Lopez L , Sang PC , Tian Y , Sang Y . Dysregulated Interferon Response Underlying Severe COVID-19. Viruses. 2020 Dec;12(12):E1433. https://doi.org/10.3390/v12121433
7. Jit BP , Qazi S , Arya R , Srivastava A , Gupta N , Sharma A . An immune epigenetic insight to COVID-19 infection. Epigenomics. 2021 Mar;13(6):465–80. https://doi.org/10.2217/epi-2020-0349
8. Tan Q . Epigenetic age acceleration as an effective predictor of diseases and mortality in the elderly. EBioMedicine [Internet]. Elsevier; 2021 [cited 2021 Nov 8];63.
9. Peng H , Gao W , Cao W , Lv J , Yu C , Wu T , et al. Combined healthy lifestyle score and risk of epigenetic aging: a discordant monozygotic twin study. Aging (Albany NY). 2021 May;13(10):14039–52. https://doi.org/10.18632/aging.203022
10. de Prado-Bert P , Ruiz-Arenas C , Vives-Usano M , Andrusaityte S , Cadiou S , Carracedo Á , et al. The early-life exposome and epigenetic age acceleration in children. Environ Int. 2021 Oct;155:106683. https://doi.org/10.1016/j.envint.2021.106683
11. Phillips N . The coronavirus is here to stay - here’s what that means. Nature. 2021 Feb;590(7846):382–4. https://doi.org/10.1038/d41586-021-00396-2
12. Castro de Moura M , Davalos V , Planas-Serra L , Alvarez-Errico D , Arribas C , Ruiz M , et al. Epigenome-wide association study of COVID-19 severity with respiratory failure. EBioMedicine. 2021 Apr;66:103339. https://doi.org/10.1016/j.ebiom.2021.103339
13. Balnis J , Madrid A , Hogan KJ , Drake LA , Chieng HC , Tiwari A , et al. Blood DNA methylation and COVID-19 outcomes. Clin Epigenetics. 2021 May;13(1):118. https://doi.org/10.1186/s13148-021-01102-9
14. Castro de Moura M , Davalos V , Planas-Serra L , Alvarez-Errico D , Arribas C , Ruiz M , et al. Epigenome-wide association study of COVID-19 severity with respiratory failure. EBioMedicine. 2021 Apr;66:103339. https://doi.org/10.1016/j.ebiom.2021.103339
15. Bolstad BM , Irizarry RA , Astrand M , Speed TP . A comparison of normalization methods for high density oligonucleotide array data based on variance and bias. Bioinformatics. 2003 Jan;19(2):185–93. https://doi.org/10.1093/bioinformatics/19.2.185
16. Lehne B , Drong AW , Loh M , Zhang W , Scott WR , Tan ST , et al. A coherent approach for analysis of the Illumina HumanMethylation450 BeadChip improves data quality and performance in epigenome-wide association studies. Genome Biol. 2015 Feb;16(1):37. https://doi.org/10.1186/s13059-015-0600-x
17. Hannum G , Guinney J , Zhao L , Zhang L , Hughes G , Sadda S , et al. Genome-wide methylation profiles reveal quantitative views of human aging rates. Mol Cell. 2013 Jan;49(2):359–67. https://doi.org/10.1016/j.molcel.2012.10.016
18. Horvath S , Raj K . DNA methylation-based biomarkers and the epigenetic clock theory of ageing. Nat Rev Genet. 2018 Jun;19(6):371–84. https://doi.org/10.1038/s41576-018-0004-3
19. Levine ME , Lu AT , Quach A , Chen BH , Assimes TL , Bandinelli S , et al. An epigenetic biomarker of aging for lifespan and healthspan. Aging (Albany NY). 2018 Apr;10(4):573–91. https://doi.org/10.18632/aging.101414
20. Alwan H , Pruijm M , Ponte B , Ackermann D , Guessous I , Ehret G , et al. Epidemiology of masked and white-coat hypertension: the family-based SKIPOGH study. PLoS One. 2014 Mar;9(3):e92522. https://doi.org/10.1371/journal.pone.0092522
21. Stoltzfus JC . Logistic regression: a brief primer. Acad Emerg Med. 2011 Oct;18(10):1099–104. https://doi.org/10.1111/j.1553-2712.2011.01185.x
22. El Khoury LY , Gorrie-Stone T , Smart M , Hughes A , Bao Y , Andrayas A , et al. Systematic underestimation of the epigenetic clock and age acceleration in older subjects. Genome Biol. 2019 Dec;20(1):283. https://doi.org/10.1186/s13059-019-1810-4
23. RStudio Team . RStudio: Integrated Development Environment for R [Internet]. Boston, MA: RStudio, PBC; 2020. Available from: http://www.rstudio.com/
24. Gibson J , Russ TC , Clarke TK , Howard DM , Hillary RF , Evans KL , et al. A meta-analysis of genome-wide association studies of epigenetic age acceleration. PLoS Genet. 2019 Nov;15(11):e1008104. https://doi.org/10.1371/journal.pgen.1008104
25. Horvath S . DNA methylation age of human tissues and cell types. Genome Biol. 2013;14(10):R115. https://doi.org/10.1186/gb-2013-14-10-r115
26. Nidadavolu LS , Walston JD . Underlying Vulnerabilities to the Cytokine Storm and Adverse COVID-19 Outcomes in the Aging Immune System. J Gerontol A Biol Sci Med Sci. 2021 Feb;76(3):e13–8. https://doi.org/10.1093/gerona/glaa209
27. Xu W , Zhang F , Shi Y , Chen Y , Shi B , Yu G . Causal association of epigenetic aging and COVID-19 severity and susceptibility: A bidirectional Mendelian randomization study. Front Med (Lausanne). 2022 Sep;9:989950. https://doi.org/10.3389/fmed.2022.989950
28. Lopez J , Mommert M , Mouton W , Pizzorno A , Brengel-Pesce K , Mezidi M , et al. Early nasal type I IFN immunity against SARS-CoV-2 is compromised in patients with autoantibodies against type I IFNs [Internet]. J Exp Med. 2021 Oct;218(10):e20211211. [cited 2021 Sep 13] https://doi.org/10.1084/jem.20211211
29. Declerck K , Vanden Berghe W . Back to the future: epigenetic clock plasticity towards healthy aging. Mech Ageing Dev. 2018 Sep;174:18–29. https://doi.org/10.1016/j.mad.2018.01.002
30. Fitzgerald KN , Hodges R , Hanes D , Stack E , Cheishvili D , Szyf M , et al. Potential reversal of epigenetic age using a diet and lifestyle intervention: a pilot randomized clinical trial. Aging (Albany NY). 2021 Apr;13(7):9419–32. https://doi.org/10.18632/aging.202913
31. Fahy GM , Brooke RT , Watson JP , Good Z , Vasanawala SS , Maecker H , et al. Reversal of epigenetic aging and immunosenescent trends in humans. Aging Cell. 2019 Dec;18(6):e13028. https://doi.org/10.1111/acel.13028
32. Ganesan A , Arimondo PB , Rots MG , Jeronimo C , Berdasco M . The timeline of epigenetic drug discovery: from reality to dreams. Clin Epigenetics. 2019 Dec;11(1):174. https://doi.org/10.1186/s13148-019-0776-0
33. Schatz MC . Nanopore sequencing meets epigenetics. Nat Methods. 2017 Mar;14(4):347–8. https://doi.org/10.1038/nmeth.4240
34. Franzen J , Nüchtern S , Tharmapalan V , Vieri M , Nikolić M , Han Y , et al. Epigenetic clocks are not accelerated in COVID-19 patients [Internet]. 2020 Nov p. 2020.11.13.20229781. https://doi.org/10.1101/2020.11.13.20229781
35. Cao X , Li W , Wang T , Ran D , Davalos V , Planas-Serra L , et al. Accelerated biological aging in COVID-19 patients. Nat Commun. 2022 Apr;13(1):2135. https://doi.org/10.1038/s41467-022-29801-8

Figure S1 Correlation between chronological age and epigenetic ages (Horvath, Hannum, and Gonseth-Nusslé). Plots A-C correspond to COVID-19 severity in the GSE168739 sample; D-E correspond to COVID-19 severity in the GSE174818 sample. For all plots, the blue line represents less severe symptoms, and the red line represents severe symptoms/death.

Figure S2 Youth capital stratified by categories of age and severity. Legend: Red boxplot corresponds to youth capital calculated using the Gonseth-Nusslé signature; green to those calculated with Hannum signature; teal to Horvath signature; and purple to the youth capital when using PhenoAge signature.