DOI: https://doi.org/10.57187/smw.2023.40052
Long-term care facilities were disproportionally affected early in the coronavirus disease 2019 (COVID-19) pandemic [1], with high morbidity and mortality among residents [2] and several reported outbreaks [3]. Long-term care residents accounted for most COVID-19-related deaths in many countries. In Europe, long-term care facilities were the most common setting of COVID-19 outbreaks [3]. In Switzerland, long-term care residents accounted for almost half of all COVID-19-related deaths [4]. However, there is little systematic data about the COVID-19 burden in long-term care facilities, and information is mostly limited to outbreak reports [5].
Several factors contributing to the rapid spread of SARS-CoV-2 in long-term care facilities have been identified. They include resident-related factors, such as older age and comorbidities; institution-related factors, such as increased facility size and numbers of staff and residents; and community-related risk factors, such as compliance with infection prevention and control measures. Some of these factors are modifiable, and some are not [6]. However, why some institutions were so heavily affected while others were almost entirely spared is not fully understood.
While authorities imposed restrictive measures to mitigate the spread of SARS-CoV-2, such as restrictions on visits and social activities, evidence of their effectiveness remains limited. In most countries, including Switzerland, the vaccination of long-term care residents and their caring staff was among the COVID-19 vaccination campaign’s top priorities. However, in Switzerland, no systematic data on vaccination rates among residents or healthcare workers are available at an institutional or cantonal level.
This study aimed to estimate the COVID-19 burden in long-term care facilities of two Swiss Cantons in 2020 and to identify factors associated with COVID-19 burden and all-cause mortality among long-term care residents. Furthermore, it aimed to assess COVID-19 vaccination rates among residents and healthcare workers in long-term care facilities at the end of the COVID-19 vaccine campaign in Switzerland in May 2021.
This study involves a cross-sectional analysis of data retrieved from a multicentre observational cohort of long-term care facilities providing care to the elderly and/or individuals with dementia in two cantons in Eastern (St. Gallen) and Western (Vaud) Switzerland. This long-term care facility cohort was created at the end of May 2021 after the COVID-19 vaccination campaign in long-term care facilities (enrolment: 15 April to 31 May 2021). All long-term care facilities in these two cantons were invited to participate by email. The data included in this analysis retrospectively covers the period from February 2020 to May 2021.
In Switzerland, as a federal state, jurisdictions on infection control are shared between national and cantonal authorities, which have considerable autonomy in deciding which public health measures are mandatory and which are not. Throughout the COVID-19 pandemic, this led to considerable heterogeneity among cantons in recommendations on visitor regulation and infection prevention and control measures for long-term care facilities. For example, the canton of St. Gallen imposed a visit ban in long-term care facilities from 16 March to 11 May 2020, while the canton of Vaud never banned visits to long-term care facilities. Different measures were also imposed based on the different local epidemiology. COVID-19 incidence in the general population was higher in the canton of Vaud than in the canton of St. Gallen (6878 vs 4968 cases per 100,000 inhabitants) in 2020 [7]. In January 2021, a national vaccination campaign was started based on the mRNA vaccines Comirnaty and Spikevax. From January to March 2021, mobile medical teams provided on-site vaccination of long-term care residents and healthcare workers.
At enrollment, participating institutions received an electronic link to a questionnaire implemented in the research electronic data capture (REDCap) web-based application for designing and managing online clinical research surveys and databases [8]. Data were collected from long-term care facilities managers or designated individuals. The survey included information on institutional characteristics, infection prevention and control practices, resident and staff characteristics, COVID-19 case numbers, and all-cause and COVID-19-related hospitalisations and deaths among residents in 2020 (see questionnaire available for download at https://doi.org/10.57187/smw.2023.40052). To compare all-cause mortality in 2020 with the previous year (see below), all-cause deaths in 2019 were obtained, and the number of occupied beds per facility in 2019 was retrieved from the Federal Office of Public Health (FOPH) website [9]. Institutions also reported the age, sex, care level needed, COVID-19 vaccination status, and infection history of each resident, and the COVID-19 vaccination status of healthcare workers as of 31 May 2021. The care level was optionally assessed according to the Swiss Health Care Services Regulations on a scale of 1 to 12, where 12 corresponded to the greatest assistance required in terms of time in daily living activities. All data were double-checked for plausibility by the study team and discussed with the institution when necessary.
To describe the COVID-19 burden, we calculated cumulative COVID-19, COVID-19-related hospitalisation, and COVID-19-related death rates and all-cause mortality among residents of the participating institutions in 2020. All rates were calculated as numbers per 100 occupied beds (as of 31 December 2020). The number of occupied beds was estimated by multiplying the total bed number by the average occupancy rate in 2020. Furthermore, all-cause mortality in 2020 was compared to that in 2019, which was calculated based on all-cause deaths in 2019 entered by the institutions and the number of occupied beds per facility in 2019 retrieved from the Swiss FOPH website.
COVID-19 rates among healthcare workersin 2020 were calculated as the number of COVID-19 cases per 100 healthcare workers. The number of healthcare workers was considered the number of healthcare workers employed at the time of the survey and therefore represents an estimate that does not account for staff fluctuations in 2020.
To identify possible risk factors for a higher COVID-19 burden, we investigated associations of facility characteristics, infection prevention and control measures, and resident characteristics with all-cause mortality among residents in 2020 in a univariate analysis. Questions 17, 18, 21, 22, and 23 (see questionnaire available as PDF for download) were merged into a single variable to classify the level of infection prevention and control practice development. Long-term care facilities with ≥4 ‘yes’ answers were classified as having ‘well-developed’ hygiene guidelines and staff training on infection prevention and control. Based on a conceptual framework describing the relationships among predictor variables and between them and the ‘all-cause resident mortality’ outcome, we included relevant predictor variables in a multivariate model (see figure S1 for details).
We used all-cause mortality and not COVID-19 rates as the main outcome for this analysis to account for possible underdetection of COVID-19 cases due to different testing policies or capacities among long-term care facilities and their underreporting.
Finally, we assessed the COVID-19 vaccination rates of residents and healthcare workers as of 31 May 2021, as reported by the individual institutions.
Quantitative variables are presented as their median (interquartile range [IQR]). Categorical variables are summarised as absolute and relative (of the non-missing total) frequencies (range). COVID-19 case incidence, death, and vaccination rates were estimated by dividing the number of COVID-19 cases, deaths, or vaccinated residents by the number of occupied beds. The number of occupied beds was estimated by multiplying the number of beds by the average occupancy. Missing data were not replaced, and a complete case analysis was performed.
Descriptive statistics and incidence rates are presented separately for the entire sample and the two cantons. However, comparing the two cantons did not fall among the study’s primary aims. Analysis of factors associated with all-cause mortality in 2020 (see below) was performed on the entire cohort.
We used univariable and multivariable quasi-Poisson regression analyses. The univariable analyses helped to identify factors associated with all-cause mortality in 2020. The multivariable model included factors that we believed had a possible causal impact on mortality: age, sex, care level, canton, and COVID-19 incidence in residents and healthcare workers. Canton served as a proxy for factors such as different healthcare-worker-to-resident ratios and recommendations at the cantonal level. COVID-19 incidence in healthcare workers was used as a proxy for undetected/asymptomatic additional COVID-19 incidence in residents (figure S1).
Residents’ age, sex, and care level were aggregated using the median per institution (for age and care level) or the percentage of males (for sex). We did not correct p-values for multiple testing. Rate ratios (RR) were interpreted as follows. The RR for continuous predictors represents the change in the outcome for a one-unit increase in the independent variable. The RR for factor variables represents the change in the outcome compared to the reference category (i.e. a RR of 2 means that the incidence rate of the respective group is twice the incidence rate of the reference group). All analyses were performed with the R statistical software (version 4.0.2).
Since resident data was collected anonymously or in aggregate form, this study did not fall within the scope of the Swiss Human Research Act. Therefore, no ethical approval was required, as confirmed by the local ethics committee (EKOS).
Of 212 eligible institutions of the cantons of St. Gallen and Vaud, 59 (33 in St. Gallen, 26 in Vaud) comprising 3372 beds (1887 in St. Gallen, 1485 in Vaud) participated in the study. In 2020, the overall occupancy rate was 96.0% (93.0–98.3), and the median number of occupied beds per long-term care facility was 46 (IQR: 33–69).
Baseline characteristics are shown in table 1. Baseline characteristics of the institutions, residents and staff members with missing data are shown in table S1 in the appendix. Among the 2936 residents living in the long-term care facilities on 31 May 2021, 2083 (70.2%) were women, and their median age was 87 years (IQR: 79–91). Their median care level was 7.0 (IQR: 4.0–9.0). Regarding infection prevention and control measures, few long-term care facilities reported regular testing of asymptomatic residents (6/59; 10.2%) or healthcare workers (14/59; 23.7%). Screening for COVID-19 symptoms was performed daily for residents in 25.4% (15/59) and healthcare workers in 33.9% (20/59) of institutions. Nearly half of the long-term care facilities (27/59; 45.8%) never banned visits or did so only during outbreaks. Regarding COVID-19 protective measures during patient care activities, 54/59 institutions (91.5%) reported that staff always wore gowns, while using other personal protective equipment (PPE; i.e. FFP2 masks, gloves, and goggles) was more variable.
Table 1Baseline characteristics of institutions, residents, and staff.
| Total | St. Gallen | Vaud | |||
| General institutions information | |||||
| Number of institutions | 59 | 33 (55.9%) | 26 (44.1%) | ||
| Number of beds | 3372 | 1887 (55.9%) | 1485 (44.1%) | ||
| Number of occupied beds (median [IQR]) | 46 (33, 69) | 46.1 (32, 69.3) | 47.5 (36.3, 63.6) | ||
| Percentage of single rooms (median [IQR]) | 96.8 (77.4, 100.0) | 100.0 (89.5, 100.0) | 92.4 (60.2, 100.0) | ||
| Infection control practices – number of institutions | |||||
| Hygiene guidelines and staff training on IPC | Does not exist or is underdeveloped | 24 (40.7%) | 22 (66.7%) | 2 (7.7%) | |
| Well developed | 35 (59.3%) | 11 (33.3%) | 24 (92.3%) | ||
| COVID-19 response and/or outbreak manager present in the institution | 54 (91.5%) | 30 (90.9%) | 24 (92.3%) | ||
| Isolation of residents with COVID-19 | Mostly/always | 19 (32.2%) | 11 (33.3%) | 8 (30.8%) | |
| Rarely/never | 40 (67.8%) | 22 (66.7%) | 18 (69.2%) | ||
| Personal protective Equipment – use by COVID-19 patients | FFP2 masks | Always | 23 (39.0%) | 18 (54.5%) | 5 (19.2%) |
| No or sometimes | 36 (61.0%) | 15 (45.5%) | 21 (80.8%) | ||
| Glows | Always | 38 (64.4%) | 29 (87.9%) | 9 (34.6%) | |
| No or sometimes | 21 (35.6%) | 4 (12.1%) | 17 (65.4%) | ||
| Gowns | Always | 54 (91.5%) | 28 (84.8%) | 26 (100.0%) | |
| No or sometimes | 5 (8.5%) | 5 (15.2%) | 0 (0.0%) | ||
| Goggles | Always | 31 (52.5%) | 21 (63.6%) | 10 (38.5%) | |
| No or sometimes | 28 (47.5%) | 12 (36.4%) | 16 (61.5%) | ||
| Visitor restrictions (visits not allowed) | No or only during outbreaks | 27 (45.8%) | 9 (27.3%) | 18 (69.2%) | |
| Always or according to cantonal recommendations | 32 (54.2%) | 24 (72.7%) | 8 (30.8%) | ||
| COVID-19 screening before (re-)admission | 33 (55.9%) | 21 (63.6%) | 12 (46.2%) | ||
| Regular COVID-19 screening/testing (outside of outbreaks) of asymptomatic: | Residents | 6 (10.2%) | 5 (15.2%) | 1 (3.8%) | |
| Staff members | 14 (23.7%) | 12 (36.4%) | 2 (7.7%) | ||
| Residents, n | 2862 | 1570 | 1292 | ||
| Age (median [IQR]) | 87.0 (79.0, 91.0) | 86.0 (80.0, 91.0) | 87.0 (78.0, 92.0) | ||
| Male sex | 854 (29.8%) | 470 (29.9%) | 384 (29.7%) | ||
| Care level according to the Swiss Health Care Services Regulations (Krankenpflege-Leistungsverordnung [KLV]) (median [IQR]) | 7.0 (4.0, 9.0) | 4.0 (2.0, 7.0) | 9.0 (7.0, 12.0) | ||
| Influenza vaccination, n | Season 2019/20 | 1228 (59.0%) | 522 (44.1%) | 706 (78.8%) | |
| Season 2020/21 | 1501 (63.0%) | 643 (49.6%) | 858 (79.2%) | ||
| Staff members | |||||
| Influenza vaccination (%, median [IQR]) | Season 2019/20 | 17.2 (6.1, 44.4) | 6.9 (0.8, 9.3) | 46.2 (30.5, 67.6) | |
| Season 2020/21 | 13.8 (6.7, 34.0) | 7.4 (0.0, 11.5) | 34.2 (24.2, 44.0) | ||
| COVID-19 rates in 2020 (No. per 100 HCW), median (IQR) | 21.04 (11.3, 33.9) | 13.0 (5.2, 24.0) | 24.0 (15.4, 38.9) | ||
| Work days lost due to COVID-19 due to COVID-19 or COVID-19-related isolation/quarantine per employee in 2020(median [IQR]) | 1.5 (0.7, 3.2) | 2.7 (1.6, 4.2) | 0.7 (0.3, 0.9) | ||
IQR: interquartile range; HCW: healthcare workers; IPC: infection prevention and control
In 2020, the overall COVID-19 incidence rate was 40.2 cases per 100 occupied beds, with significantly higher rates in Vaud than in St. Gallen (49.9% vs 32.5%; p = 0.037; figure 1). Rates varied widely among long-term care facilities, with 8/59 institutions (one in Vaud and seven in St. Gallen) reporting no COVID-19 cases.

Figure 1 COVID-19 incidence, total deaths, and COVID-19-related mortality in 2020. Surviving COVID-19 cases (yellow bars), COVID-19-related deaths (blue bars), and total deaths (blank bars) per occupied bed are shown for each institution. Horizontal lines represent the medians of total COVID-19 cases (red line), COVID-19-related deaths (blue line), and total deaths (black line).COVID-19 rates >100% indicate high turnover rates of COVID-19-affected residents.
All-cause deaths were 36.9 per 100 occupied beds in 2020 and 28.7 in 2019 (p = 0.014). The overall incidence of COVID-19-related deaths was 9.1 per 100 occupied beds. Overall, 22.7% of COVID-19 cases died, of which 24.8% were COVID-19-related deaths (Figure 2). In 2020, all-cause mortality was marginally higher in Vaud than in St. Gallen (39.0 vs 35.2; p = 0.48), whilst in 2019, it was higher in St. Gallen than in Vaud (30.4 vs 26.5 per 100 occupied beds; p = 0.23).

Figure 2 Total deaths per occupied bed in 2020 (yellow bars) and 2019 (blank bars) for (a) St. Gallen and (b) Vaud. Missing data: no bars indicate missing data in 2019 but no deaths in 2020.
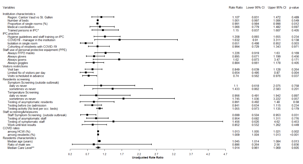
The univariable associations between selected variables and all-cause mortality are shown in figure 3. Among resident characteristics, higher all-cause mortality was associated with older age (RR = 1.05, 95% confidence interval [CI]: 1.01–1.08; p = 0.013) but not sex or higher care level. In the univariate analysis, higher COVID-19 rates both among residents (RR = 1.009, 95% CI: 1.004–1.013; p < 0.001) and healthcare workers (RR = 1.013, 95% CI: 1.005–1.021; p = 0.002) correlated with increased resident mortality. The proportion of single rooms was associated with lower mortality (RR = 0.991 per 1% increase, 95% CI: 0.984–0.998; p = 0.012) as were the following infection prevention and control practices: isolation of residents with COVID-19 in single rooms (RR = 0.65, 95% CI: 0.49–0.85; p = 0.003), screening of staff for COVID-19 symptoms (RR = 0.69, 95% CI: 0.50–0.95; p = 0.031), and regulation of visits such as limiting the number per day (RR = 0.65, 95% CI: 0.49–0.87; p = 0.004) or scheduling visits in advance (RR = 0.74, 95% CI: 0.56–0.97; p = 0.037).

Figure 3 Forest plot showing the univariable, unadjusted associations between selected variables and total deaths per occupied bed (%).
In the multivariate analysis, age (adjusted RR = 1.04) and COVID-19 rates among residents (adjusted RR = 1.008) remained significantly associated with all-cause resident mortality (figure 4).

Figure 4 Forest plot showing the multivariate associations between selected variables and total death per occupied bed (%).
Of the 2936 residents, 2042 (69.6%) received ≥1 dose of a COVID-19 vaccine as of 31 May 2021 (figure 4). Overall, 1747 (59.5%) were fully vaccinated, and 543 (18.7%) had a COVID-19 history and had received one vaccine dose. Additionally, 386 (13.8%) residents had a COVID-19 history but had not been vaccinated. COVID-19 vaccine uptake among healthcare workers was 33.8% (30.8% in St. Gallen and 36.9% in Vaud).

Figure 5 COVID-19 vaccination rates among residents (black dots) and healthcare workers (red dots) per institution as of May 2021. Horizontal lines show the median vaccination rates of residents (black line) and healthcare workers (red line). Institutions are in the same order as in figure 1. Missing data: one missing for residents and two missing for healthcare workers (institutions 9, 22, and 25).
This cross-sectional study of 59 Swiss long-term care facilities found their COVID-19 burden was high in 2020, with an overall incidence of all-cause deaths of 36.9 per 100 occupied beds, but also with high variability in mortality across institutions. Our main findings are the association between COVID-19 rates among residents and increased resident mortality. Factors such as routine symptom screening of healthcare workers, regulation of visits, the proportion of single rooms in the facility, and isolating COVID-19 patients in single rooms are potentially protective factors. This study’s strengths include its large cohort, including institutions from two geographical regions with a large number of residents, and its consideration of a multiplicity of possible influencing factors.
In Swiss long-term care facilities, we found excess mortality in 2020 driven by COVID-19, which accounted for 24.8% of all deaths. These findings are consistent with those in other countries [2] and the excess mortality seen in Switzerland for older age groups (up to 16% for men aged >70 years and 12% for women aged >75 years) [10]. Current data indicates that the level of community transmission is one of the strongest predictors of COVID-19 rates in long-term care facilities [11]. Consistent with this, the difference in COVID-19 incidence between long-term care facilities in St. Gallen and Vaud mirrors that of the surrounding population for the same period. As reported in previous studies [6, 12],we also found appreciable variability in COVID-19 incidence across facilities. Notably, several institutions in St. Gallen reported no COVID-19 cases but had mortality rates comparable to other institutions. We believe a lack of COVID-19 case detection during the first wave might explain this discrepancy.
Our study adds to the literature associating COVID-19 rates among healthcare workers with increased all-cause resident mortality [13–15]. Another Swiss study showed that severe acute respiratory syndrome coronavirus 2 (SARS-CoV-2) seroprevalence among nursing home staff was associated with COVID-19 cases and COVID-19-related hospitalisations and deaths among residents [15]. The role of healthcare workers in COVID-19 transmission is complex. They are at increased risk of acquiring SARS-CoV2 and can be a source of infection for residents and other healthcare workers at the same time [16]. One study reported that infection among healthcare workers was associated with death among long-term care residents and tried to assess transmission dynamics [13]. Given a six-day lag between infection in healthcare workers and deaths in long-term care residents, the authors concluded that residents were most likely infected by staff and not the reverse. While we did not assess transmission dynamics, our finding of an association between infection in healthcare workers and resident mortality highlights the importance of interventions targeting healthcare workers to reduce COVID-19 risk in long-term care facilities.
Therefore, screening healthcare workers for COVID-19 symptoms appeared to be an effective preventive strategy in our cohort, given its association with lower resident mortality in the univariate analysis. While a similar trend was observed for serial testing of asymptomatic residents and staff, it was not significant. In contrast with these findings, a comprehensive review by Dykgraaf et al. on preventive strategies in long-term care facilities found stronger evidence for universal serial testing than symptom-based approaches [17] due to the high proportion of asymptomatic infections [18–21]. In our cohort, the true impact of asymptomatic testing could not be appropriately assessed because only a few institutions had adopted this strategy. Regarding the effectiveness of symptom screening, at least two factors must be considered. Previous studies on the influenza pandemic [22, 23] show that healthcare workers often continue to work while experiencing mild symptoms. Furthermore, recognising mild symptoms may not always be straightforward. This issue is particularly true for breakthrough infections among fully vaccinated healthcare workers, who are often asymptomatic or paucisymptomatic [24]. Therefore, it is unsurprising that symptom screening, promoting timely and reliable recognition of symptoms, and, therefore, early detection of cases appear to be an effective strategy in our analysis. Our results suggest that symptom screening of healthcare workers should be part of routine infection prevention and control measures in long-term care facilities.
Another important finding of our study is the strong association between visitor regulation and decreased resident mortality in the univariate analysis. Several studies have reported their adverse effects on resident well-being [25]. However, to what extent different levels of restrictions protect residents remains unclear. A few studies, such as Verbeek et al., reported no new cases among residents after the relaxation of visits, provided there was strict adherence to infection prevention and control measures [26]. Our analysis showed a strong association between regulating visits and decreased mortality. In contrast, the trend for complete visit bans was nonsignificant, adding to the evidence that careful regulation of visitors within a host of infection prevention and control measures might be sufficient to prevent the introduction of COVID-19 into long-term care facilities.
We confirmed the findings of previous studies indicating that crowding was a risk factor. In a large cohort of 618 nursing homes from Ontario, Canada, COVID-19 incidence and mortality in facilities with a larger proportion of shared bedrooms and bathrooms was double that of facilities with single-occupancy rooms [27]. Similarly, a higher proportion of single bedrooms and the isolation of COVID-19 patients in single rooms were associated with lower mortality in our cohort.
Finally, our findings highlight a gap in COVID-19 vaccination coverage in Swiss long-term care facilities. Only one-third (33.8%) of healthcare workers had received their first COVID-19 vaccine dose by the end of May 2021. Vaccine coverage among healthcare workers might be underestimated given the substantial proportion of missing data and the fact that healthcare workers vaccinated outside their institutions might not report it to them.
Additionally, at the time of the survey, many healthcare workers might not yet have qualified for vaccination because of recent infection, according to the then-current FOPH recommendation. Nevertheless, our results align with another Swiss study on vaccination willingness among healthcare workers, in which barely 30% of 398 healthcare workers of long-term care facilities declared willingness to get vaccinated [28]. Vaccine uptake among long-term care residents was also suboptimal, despite the COVID-19 vaccination campaign being tailored to long-term care facilities. Indeed, it was lower than that reported in other EU countries by the end of May 2021 (69.9% in Switzerland vs 80.4% in EU countries) [29]. Vaccination of long-term care residents significantly decreased the risk of infection, severe disease, and death [2]. Breakthrough infections have also been reported among fully vaccinated residents [31] and healthcare workers [24, 32], but most are mild or asymptomatic. These findings emphasise the need for ongoing interventions to maximise vaccine uptake in Swiss long-term care facilities.
Our study had several limitations. First, selection bias may have arisen since study participation was voluntary. Assuming that particularly motivated institutions were more likely to participate in our study, underestimation of the actual COVID-19 burden in this setting is possible. Second, since long-term care facilities managers collected the data, they might be subject to self-reporting bias. Third, for some variables (e.g. mortality rates for 2019), some institutions could not be included in their calculation due to missing data. Fourth, the probability of chance significant findings was elevated by the large number of influencing factors considered.
This study was ongoing until 22 June 2022 with regular follow-up questionnaires. Its findings will allow us to understand better the impact of COVID-19 vaccination on the COVID-19 burden of long-term care facilities and to prospectively evaluate the effectiveness of different infection prevention and control measures. This outcome is particularly important in light of increased population immunity and the emergence of less virulent SARS-CoV-2 variants.
In conclusion, we identified SARS-CoV-2 infection among healthcare workers as a modifiable variable associated with increased mortality in long-term care facilities. Therefore, promoting COVID-19 vaccine uptake is pivotal among healthcare workers in Swiss long-term care facilities. Furthermore, we suggest including symptom screening of healthcare workers as part of routine infection prevention and control measures.
We thank the employees of the participating long-term care facilities for their help in collecting the resident data.
Disclaimer: The authors declare that the views expressed in the submitted article are their own and not an official position of the institution or funder.
This work was supported by the Department of Home Affairs and the Health Department of the canton St. Gallen and by the Federal Office of Public Health (FOPH). PK is supported by the Swiss National Science Foundation (grant number PZ00P3_179919).
All authors have completed and submitted the International Committee of Medical Journal Editors form for disclosure of potential conflicts of interest. No potential conflict of interest was disclosed.
1. Danis K , Fonteneau L , Georges S , Daniau C , Bernard-Stoecklin S , Domegan L , et al.; ECDC Public Health Emergency Team . High impact of COVID-19 in long-term care facilities, suggestion for monitoring in the EU/EEA, May 2020. Euro Surveill. 2020 Jun;25(22):2000956. https://doi.org/10.2807/1560-7917.ES.2020.25.22.2000956
2. Comas-Herrera A , Zalakaín J , Lemmon E , et al. Mortality associated with COVID-19 in care homes: international evidence. Published online February 1, 2021. Available at: https://ltccovid.org/wp-content/uploads/2021/02/LTC_COVID_19_international_report_January-1-February-1-2.pdf
3. European Centre for Disease Prevention and Control (ECDC) . COVID-19 clusters and outbreaks in occupational settings in the EU/EEA and the UK. Stockholm: ECDC, 2020. Available at: https://www.ecdc.europa.eu/en/publications-data/covid-19-clusters-and-outbreaks-occupational-settings-eueea-and-uk
4. Bundesamt für Gesundheit BAG. Bericht Todesfälle Im Zusammenhang Mit Covid-19 in Der Schweiz Und Im Internationalen Vergleich.; 2021. Available at: https://www.bag.admin.ch/dam/bag/de/dokumente/mt/k-und-i/aktuelle-ausbrueche-pandemien/2019-nCoV/bericht-todesfaelle-februar-2021.pdf
5. Robalo Nunes T , Lebowitz D , Fraccaro M , et al. Can long-term care facilities remain a coronavirus disease 2019 (COVID-19)-free bubble? An outbreak report. Infect Control Hosp Epidemiol. Published online January 11, 2021:1-2. doi:https://doi.org/10.1017/ice.2020.1432
6. Shallcross L , Burke D , Abbott O , Donaldson A , Hallatt G , Hayward A , et al. Factors associated with SARS-CoV-2 infection and outbreaks in long-term care facilities in England: a national cross-sectional survey. Lancet Healthy Longev. 2021 Mar;2(3):e129–42. https://doi.org/10.1016/S2666-7568(20)30065-9
7. Bundesamt für Gesundheit BAG. Situationsbericht Zur Epidemiologischen Lage in Der Schweiz Und Im Fürstentum Liechtenstein - Woche 51 (14.12.-20.12.2020).; 2020. Available at: https://www.bag.admin.ch/bag/de/home/krankheiten/ausbrueche-epidemien-pandemien/aktuelle-ausbrueche-epidemien/novel-cov/situation-schweiz-und-international.html
8. REDCap . Accessed November 2, 2021. Available at: https://www.project-redcap.org
9. Bundesamt für Gesundheit BAG. Kennzahlen der Schweizer Pflegeheime. Available at: https://www.bag.admin.ch/bag/de/home/zahlen-und-statistiken/zahlen-fakten-zu-pflegeheimen/pflegeheim-suchen.html. Accessed November 8, 2021.
10. Locatelli I , Rousson V . A first analysis of excess mortality in Switzerland in 2020. Picone GA, ed. PLoS ONE. 2021;16(6):e0253505. doi:https://doi.org/10.1371/journal.pone.0253505
11. Suñer C , Ouchi D , Mas MÀ , Lopez Alarcon R , Massot Mesquida M , Prat N , et al. A retrospective cohort study of risk factors for mortality among nursing homes exposed to COVID-19 in Spain. Nat Aging. 2021;1(7):579–84. https://doi.org/10.1038/s43587-021-00079-7
12. Sepulveda ER , Stall NM , Sinha SK . A Comparison of COVID-19 Mortality Rates Among Long-Term Care Residents in 12 OECD Countries. J Am Med Dir Assoc. 2020 Nov;21(11):1572–1574.e3. https://doi.org/10.1016/j.jamda.2020.08.039
13. Fisman DN , Bogoch I , Lapointe-Shaw L , McCready J , Tuite AR . Risk Factors Associated With Mortality Among Residents With Coronavirus Disease 2019 (COVID-19) in Long-term Care Facilities in Ontario, Canada. JAMA Netw Open. 2020 Jul;3(7):e2015957. https://doi.org/10.1001/jamanetworkopen.2020.15957
14. Arnedo-Pena A , Romeu-Garcia MA , Gascó-Laborda JC , Meseguer-Ferrer N , Safont-Adsuara L , Prades-Vila L , et al. Incidence, Mortality, and Risk Factors of COVID-19 in Nursing Homes. Epidemiologia (Basel). 2022 Mar;3(2):179–90. https://doi.org/10.3390/epidemiologia3020014
15. Wisniak A , Menon LK , Dumont R , Pullen N , Regard S , Dubos R , et al.; The SEROCoV-Work Study Group . Association between SARS-CoV-2 Seroprevalence in Nursing Home Staff and Resident COVID-19 Cases and Mortality: A Cross-Sectional Study. Viruses. 2021 Dec;14(1):43. https://doi.org/10.3390/v14010043
16. Abbas M , Robalo Nunes T , Martischang R , Zingg W , Iten A , Pittet D , et al. Nosocomial transmission and outbreaks of coronavirus disease 2019: the need to protect both patients and healthcare workers. Antimicrob Resist Infect Control. 2021 Jan;10(1):7. https://doi.org/10.1186/s13756-020-00875-7
17. Dykgraaf SH , Matenge S , Desborough J , Sturgiss E , Dut G , Roberts L , et al. Protecting Nursing Homes and Long-Term Care Facilities From COVID-19: A Rapid Review of International Evidence. J Am Med Dir Assoc. 2021 Oct;22(10):1969–88. https://doi.org/10.1016/j.jamda.2021.07.027
18. Arons MM , Hatfield KM , Reddy SC , Kimball A , James A , Jacobs JR , et al.; Public Health–Seattle and King County and CDC COVID-19 Investigation Team . Presymptomatic SARS-CoV-2 Infections and Transmission in a Skilled Nursing Facility. N Engl J Med. 2020 May;382(22):2081–90. https://doi.org/10.1056/NEJMoa2008457
19. Borras-Bermejo B , Martínez-Gómez X , San Miguel MG , Esperalba J , Antón A , Martin E , et al. Asymptomatic SARS-CoV-2 Infection in Nursing Homes, Barcelona, Spain, April 2020. Emerg Infect Dis. 2020 Sep;26(9):2281–3. https://doi.org/10.3201/eid2609.202603
20. Kimball A , Hatfield KM , Arons M , James A , Taylor J , Spicer K , et al.; Public Health – Seattle & King County; CDC COVID-19 Investigation Team . Asymptomatic and Presymptomatic SARS-CoV-2 Infections in Residents of a Long-Term Care Skilled Nursing Facility - King County, Washington, March 2020. MMWR Morb Mortal Wkly Rep. 2020 Apr;69(13):377–81. https://doi.org/10.15585/mmwr.mm6913e1
21. Patel MC , Chaisson LH , Borgetti S , Burdsall D , Chugh RK , Hoff CR , et al. Asymptomatic SARS-CoV-2 Infection and COVID-19 Mortality During an Outbreak Investigation in a Skilled Nursing Facility. Clin Infect Dis. 2020 Dec;71(11):2920–6. https://doi.org/10.1093/cid/ciaa763
22. Mossad SB , Deshpande A , Schramm S , Liu X , Rothberg MB . Working Despite Having Influenza-Like Illness: Results of An Anonymous Survey of Healthcare Providers Who Care for Transplant Recipients. Infect Control Hosp Epidemiol. 2017 Aug;38(8):966–9. https://doi.org/10.1017/ice.2017.91
23. Tartari E , Saris K , Kenters N , et al. Not sick enough to worry? “Influenza-like” symptoms and work-related behavior among healthcare workers and other professionals: Results of a global survey. Katz M, ed. PLoS ONE. 2020;15(5):e0232168. doi:https://doi.org/10.1371/journal.pone.0232168
24. Bergwerk M , Gonen T , Lustig Y , et al. Covid-19 Breakthrough Infections in Vaccinated Health Care Workers. N Engl J Med. Published online July 28, 2021:NEJMoa2109072. doi:https://doi.org/10.1056/NEJMoa2109072
25. Hugelius K , Harada N , Marutani M . Consequences of visiting restrictions during the COVID-19 pandemic: an integrative review. Int J Nurs Stud. 2021 Sep;121:104000. https://doi.org/10.1016/j.ijnurstu.2021.104000
26. Verbeek H , Gerritsen DL , Backhaus R , de Boer BS , Koopmans RT , Hamers JP . Allowing Visitors Back in the Nursing Home During the COVID-19 Crisis: A Dutch National Study Into First Experiences and Impact on Well-Being. J Am Med Dir Assoc. 2020 Jul;21(7):900–4. https://doi.org/10.1016/j.jamda.2020.06.020
27. Brown KA , Jones A , Daneman N , Chan AK , Schwartz KL , Garber GE , et al. Association Between Nursing Home Crowding and COVID-19 Infection and Mortality in Ontario, Canada. JAMA Intern Med. 2021 Feb;181(2):229–36. https://doi.org/10.1001/jamainternmed.2020.6466
28. Zürcher K , Mugglin C , Egger M , Müller S , Fluri M , Bolick L , et al. Vaccination willingness for COVID-19 among healthcare workers: a cross-sectional survey in a Swiss canton. Swiss Med Wkly. 2021 Sep;151(37-38):w30061. https://doi.org/10.4414/SMW.2021.w30061
29. European Centre for Disease Prevention and Control (ECDC) . COVID-19 Vaccine Tracker. Available at: https://vaccinetracker.ecdc.europa.eu/public/extensions/COVID-19/vaccine-tracker.html#uptake-tab. Accessed November 3, 2021.
30. Shrotri M , Krutikov M , Palmer T , Giddings R , Azmi B , Subbarao S , et al. Vaccine effectiveness of the first dose of ChAdOx1 nCoV-19 and BNT162b2 against SARS-CoV-2 infection in residents of long-term care facilities in England (VIVALDI): a prospective cohort study. Lancet Infect Dis. 2021 Nov;21(11):1529–38. https://doi.org/10.1016/S1473-3099(21)00289-9
31. Teran RA , Walblay KA , Shane EL , Xydis S , Gretsch S , Gagner A , et al. Postvaccination SARS-CoV-2 Infections Among Skilled Nursing Facility Residents and Staff Members - Chicago, Illinois, December 2020-March 2021. MMWR Morb Mortal Wkly Rep. 2021 Apr;70(17):632–8. https://doi.org/10.15585/mmwr.mm7017e1
32. Lange B , Gerigk M , Tenenbaum T . Breakthrough Infections in BNT162b2-Vaccinated Health Care Workers. N Engl J Med. 2021 Sep;385(12):1145–6. https://doi.org/10.1056/NEJMc2108076
The questionnaire is available as a separate pdf for download.
Table S1Baseline characteristics of the institutions, residents and staff members with missing data.
| Variable | Rate Ratio | Lower 95% CI | Upper 95% CI | p-value | Missings | |
| Institution characteristics | Region: Canton Vaud vs St. Gallen | 1.107 | 0.831 | 1.472 | 0.489 | 0/59 |
| Number of beds | 1.001 | 0.997 | 1.006 | 0.549 | 0/59 | |
| Proportion of single rooms (%) | Medical coordination | 1.066 | 0.779 | 1.482 | 0.697 | 0/59 |
| Trained persons in IPC* | 1.15 | 0.837 | 1.607 | 0.405 | 0/59 | |
| IPC practice | Hygiene guidelines and staff training on IPC | 1.208 | 0.893 | 1.655 | 0.234 | 0/59 |
| COVID-19 manager in the institution | 1.632 | 0.91 | 3.311 | 0.138 | 0/59 | |
| Isolation in single room | Cohorting of residents with COVID-19 | 0.994 | 0.729 | 1.343 | 0.971 | 0/59 |
| Staff use of personal protective equipment (PPE) | Always FFP2 masks | 1.226 | 0.919 | 1.63 | 0.169 | 0/59 |
| Always gloves | 0.895 | 0.671 | 1.199 | 0.456 | 0/59 | |
| Always gowns | 1.62 | 0.873 | 3.47 | 0.171 | 0/59 | |
| Always goggles | 0.884 | 0.661 | 1.178 | 0.405 | 0/59 | |
| Visitors restrictions | Visit ban | 0.849 | 0.639 | 1.128 | 0.264 | 0/59 |
| Limited No of visitors per day | 0.654 | 0.495 | 0.87 | 0.004 | 0/59 | |
| Visits scheduled in advance | 0.74 | 0.562 | 0.976 | 0.037 | 0/59 | |
| Residents screening | Symptom Screening (outside outbreak) | 0/59 | ||||
| Daily vs never | 1.1 | 0.618 | 2.075 | 0.758 | ||
| Sometimes vs never | 1.433 | 0.862 | 2.583 | 0.201 | ||
| Temperature Screening | 0/59 | |||||
| Daily vs never | 0.956 | 0.491 | 1.942 | 0.897 | ||
| Sometimes vs never | 1.745 | 1.036 | 3.222 | 0.057 | ||
| Testing of asymptomatic residents | 0.891 | 0.492 | 1.48 | 0.68 | 0/59 | |
| Testing before (re-)admission | 0.841 | 0.634 | 1.115 | 0.234 | 0/59 | |
| Testing activity (No test per occ. beds) | 1.055 | 0.973 | 1.135 | 0.179 | 2/59 | |
| Staff screening&measures | Staff Symptom Screening (outside outbreak) | 0.699 | 0.504 | 0.953 | 0.031 | 0/59 |
| Testing of asymptomatic staff | 0.954 | 0.682 | 1.311 | 0.776 | 0/59 | |
| Testing of symptomatic staff | 1.456 | 0.626 | 4.62 | 0.453 | 0/59 | |
| Work until test results | 0.852 | 0.552 | 1.262 | 0.449 | 0/59 | |
| COVID rates | Among HCW (%) | 1.013 | 1.005 | 1.021 | 0.002 | 1/59 |
| Among residents (%) | 1.009 | 1.004 | 1.013 | 0 | 0/59 | |
| Residents characteristics | Median age (years) | 1.045 | 1.014 | 1.084 | 0.013 | 1/59 |
| Ratio of male sex | 0.886 | 0.264 | 2.56 | 0.836 | 1/59 | |
| Median Care Level** | 1.014 | 0.961 | 1.069 | 0.605 | 1/59 |

Figure S1 Conceptual framework mortality residents long-term care facilities.
HCW: Health care workers; IPC: infection prevention measures. *serves as proxy of non-diagnosed/asymptomatic COVID-19 cases in residents ** serves as proxy for HCW/residents ratio, different IPC-measures.