DOI: https://doi.org/10.4414/smw.2021.20572
Since the beginning of the coronavirus disease 2019 (COVID-19) pandemic, 704,620 cases of the severe acute respiratory syndrome coronavirus 2 (SARS-CoV-2) infection and 10,369 deaths related to COVID-19 have been reported in Switzerland (as of 8 July 2021) [1]. Worldwide, case fatality rates ranged between 12 and 80% during the first wave. Temporal trajectories of case fatality rates greatly varied between countries, which appears to be associated with comorbidity and socioeconomic factors [2]. After the early course of the pandemic, declining in-hospital mortality rates have been reported in several countries [3–5]. Improvement of survival may be linked to improved patient management and/or change of patient demographics. However, in December 2020, the emergence of at least three variants carrying mutations have led to an additional concern. The B.1.1.7, first detected in the United Kingdom in September 2020, was reported to be considerably more contagious than the original virus. Evidence indicated that infection with this B.1.1.7 variant is associated with an increased risk of severe illness and death [6, 7].
In Switzerland, a recent national report of deaths related to COVID-19 described an overall mortality rate of 11% in hospitalised patients and 28% of patients admitted to the intensive care unit (ICU) from February 2020 to February 2021 [8]. Over time, preventive measures such as increasing vaccination of people at high risk for severe COVID-19, improved in-hospital management, preferential treatment of old and very sick patients at home or in nursing homes, and development of natural herd immunity likely have impacted patient demographics and therefore outcomes over time. Large cohorts identified older age, pulmonary or cardiovascular disease, chronic kidney disease, obesity or immunocompromising conditions as risk factors for severe disease and increased mortality; however, none of those studies included patients from Switzerland [3, 9, 10]. Also, temporal trends of COVID-19-related in-hospital mortality and changing demographic factors have not been investigated in Switzerland. To address this gap in knowledge, we conducted a retrospective study of patients hospitalised at the University Hospital Basel.
We conducted a single-centre retrospective cohort study at the University Hospital Basel, a tertiary care centre in Switzerland with 773 beds and 37,000 annual hospital admissions. All patients with SARS-CoV-2 infection confirmed by reverse transcription polymerase chain reaction (RT-PCR) test hospitalised at the University Hospital Basel from 27 February 2020 to 10 May 2021 were included in the study. Only patients with a hospitalisation for COVID-19 or a hospitalisation complicated by a SARS-CoV-2 infection were included. Recurrent admissions of the same patient were considered as additional hospitalisations if the patient persistently tested positive for SARS-CoV-2. Patients were excluded if general informed consent was declined. Reflecting the dynamics of the epidemic in our region, we stratified the data in three periods: First, second and third waves from 27 February to 30 June 2020, 01 July 2020 to 28 February 2021 and 01 March to 10 May 2021, respectively. The electronic patient information system was screened daily by the study team for new patients admitted with positive SARS-CoV-2 RT-PCR. The data were collected and entered in a study database by trained physicians of the study team. There was no further data validation process. The study has been approved by the Ethikkommission Nordwest- und Zentralschweiz, Switzerland (Project-ID 2020-00769) and registered at ClinicalTrials.gov (NCT04351503). The study adheres to the Declaration of Helsinki.
All patients were treated according to internal treatment guidelines of the University Hospital Basel, which changed over time but were in agreement with Swiss guidance for COVID-19 from different societies such as the Society for Infectious Diseases or Intensive Medicine. During the first wave, standard care included lopinavir/ritonavir and hydroxychloroquine for all hospitalised patients. For patients with severe COVID-19, treatment included remdesivir and tocilizumab during the first wave, remdesivir and dexamethasone during the second wave, and remdesivir, dexamethasone and tocilizumab during the third wave. We used contraindications for remdesivir and tocilizumab application according to the guidance published by the Swiss Society for Infectious Diseases and the European Medicines Agency (EMA, 2020): elevated transaminase (alanine transaminase [ALT] ≥5 times the upper limit of normal) or renal impairment (estimated glomerular filtration rate [eGFR] <30 ml/minute) for remdesivir and presence of elevated liver enzymes (ALT ≥5 times the upper limit of normal) or ongoing bacterial infections for tocilizumab.
From the beginning we aimed to standardise intensive care treatment in our institution. It consisted of the usual elements for intensive care patients, depending on the number of failing organ systems. However, one main focus was the respiratory system and the treatment of acute respiratory distress syndrome. All established treatment modalities were used, from high-flow oxygen, noninvasive and invasive ventilation to extracorporeal membrane oxygenation. Prone positioning was and still is an additional key element. Another focus was on prevention and, when necessary, treatment of bacterial superinfection up to septic shock. Renal replacement therapy was started at the discretion of the treating physician whenever indicated to control fluid balance. The intensive care nurses focused on the continuous monitoring of ventilation therapy and the safe implementation of the prone position, as well as the prevention of secondary damage such as pressure ulcers.
The primary outcome of this study were the temporal trends of COVID-19-related in-hospital mortality and demographics in Switzerland. Secondary outcomes were COVID-19-related mortality in patients hospitalised on the ICU, rates of admission to ICU, renal replacement therapy and length of hospital stay, as well as a descriptive analysis of risk factors for in-hospital mortality. The following patient characteristics were extracted from the electronic medical record system: age, sex and comorbidities (chronic obstructive pulmonary disease [COPD], diabetes mellitus, arterial hypertension, cardiovascular disease, immunosuppression, history of cancer and chronic kidney disease). Comorbidities were collected from the electronic medical records. COPD, diabetes, arterial hypertension, cardiovascular disease and cancer were defined as present if documented in the final discharge letter and corresponding medication was prescribed. Immunosuppression was defined as use of high-dose corticosteroids (prednisone equivalent of ≥1 mg/kg body weight in the previous 7 days) or agents to prevent graft rejection in solid organ or human stem cell or bone marrow transplantation and to treat autoimmune diseases during the last 3 months.
Chronic kidney disease was adjudicated by board-certified nephrologists and defined as a persistent eGFR below 60 ml/min/1.73 m2 during the whole hospitalisation that was not presumed to be a cause of unrecovered acute kidney injury, using electronic medical records for the last 6 months prior to the index hospitalisation to define a baseline creatinine value. Comorbidities were recorded as assessed by the treating physician. The data-file was closed on 18 May 2021 and up to this point all patients except two (0.2%) had been discharged or had died. We adhere to the STROBE guidelines [11] in reporting our results, the checklist is provided in the appendix.
Analyses were performed using R (R Core Team 2019. R: A language and environment for statistical computing. R Foundation for Statistical Computing, Vienna, Austria. URL https://www.R-project.org/). A two-tailed alpha level of <0.05 was considered statistically significant. Discrete variables were expressed as counts (percentage) and continuous variables as median and interquartile range [IQR]. We used the Kruskal-Wallis test and Pearson’s chi-square test or Fisher’s exact test for group comparison, as appropriate.
To further investigate the relationship of comorbidities, demographics and in-hospital death in an explorative way, a logistic regression model was built. A table with the number of missing values for each variable is provided in the appendix. The assumptions of logistic regression were tested as followed: linearity of continuous variables with their logit-transformed outcome was checked visually by plotting age with mortality, multicollinearity was checked using the variance inflation factor. We included all comorbidities and the demographic variable age and sex in the model. Area under the receiver operating characteristic (ROC) curve (AUC) was used to assess the model performance and is reported in the appendix. Given the low event rate, logistic regression was not done separately for each wave. After the final model was chosen, to compare the relative importance of predictors in the model, a dominance analysis was performed using the package “dominance analysis” with the method of Azen and Traxel [12]. Briefly, the contribution of each variable to the model is assessed as the change of McFadden R when the predictor is added to the model. If the additional contribution of a variable is greater than that of another variable it is said to dominate the latter. Body mass index (BMI) was missing in 454 (48%) cases and was therefore not included in the analysis. No imputation was used to address missing values.
Between 27 February 2020 and 10 May 2021, 1001 patients with COVID-19 were admitted during 1022 hospitalisations at the University Hospital of Basel. After exclusion of patients with a documented refusal to give general informed consent or with recurrent hospitalisation for other reasons than COVID-19, 930 patients with 943 hospitalisations remained as study population (a flowchart is presented supplementary fig. S1 in the appendix). The baseline characteristics of the study population stratified for each wave are summarised in table 1. The median patient age was 65 years (IQR 53–76) and 596 (63%) were men. The number of admitted patients increased with age, with a majority of patients being 65–79 years of age (317 patients, 34%). Only 159 patients (17%) were older than 80 years (table 1 and fig. 1) and 686 patients (73%) had at least one comorbidity. The most common comorbidities were arterial hypertension (447 patients, 47%), cardiovascular disease (323 patients, 34%) and diabetes (265 patients, 28%). The median length of hospital stay was 7 days (IQR 5–13); 22% of all patients required intensive care treatment.

Figure 1 Hospital admission at the University Hospital of Basel between February 2020 and May 2021 stratified by age. The dashed lines indicate the first, second and third waves.
Table 1 Baseline characteristics of all patients and stratified by wave.
| Overall | 1st Wave | 2nd Wave | 3rd Wave | p-value | |
|---|---|---|---|---|---|
| n = 943 | n = 189 (20%) | n = 606 (64%) | n = 148 (16%) | ||
| Age (years), median (IQR) | 65 (53–76) | 62 (48–73) | 68 (58–78) | 58 (47–69) | <0.001 |
| Age group, n (%) | <0.001 | ||||
| – <50 years | 183 (19) | 53 (28) | 87 (14) | 43 (29) | |
| – 50–64 years | 284 (30) | 51 (27) | 177 (29) | 56 (38) | |
| – 65–79 years | 317 (34) | 63 (33) | 217 (36) | 37 (25) | |
| – ≥80 years | 159 (17) | 22 (12) | 125 (21) | 12 (8) | |
| Male sex, n (%) | 596 (63) | 115 (61) | 393 (65) | 88 (59) | 0.352 |
| Hospitalisation (days), median (IQR) | 7 (5–13) | 7 (4–11) | 8 (5–14) | 7 (4–11) | 0.014 |
| ICU admission, n (%) | 206 (22) | 39 (21) | 137 (23) | 30 (20) | 0.774 |
| Days in ICU, median (IQR) | 8 (3–18) | 10 (4–19) | 8 (3–16) | 9 (3–23) | 0.691 |
| COPD, n (%) | 64 (7) | 6 (3) | 52 (9) | 6 (4) | 0.012 |
| Diabetes, n (%) | 265 (28) | 35 (19) | 199 (33) | 31 (21) | <0.001 |
| Arterial hypertension, n (%) | 447 (47) | 87 (46) | 299 (49) | 61 (41) | 0.190 |
| Cardiovascular disease, n (%) | 323 (34) | 47 (25) | 251 (41) | 25 (17) | <0.001 |
| Immunocompromising condition, n (%) | 103 (11) | 25 (13) | 61 (10) | 17 (11) | 0.437 |
| Cancer, n (%) | 160 (17) | 33 (17) | 114 (19) | 13 (9) | 0.010 |
| Chronic kidney disease, n (%) | 165 (17) | 30 (16) | 116 (19) | 19 (13) | 0.163 |
| Renal replacement therapy during hospitalisation, n (%) | 16 (2) | 11 (6) | 4 (1) | 1 (1) | <0.001 |
| Days on RRT, median (IQR) | 8 (2–15) | 8 (2–16) | 4 (2–10) | 14 (14, 14) | 0.581 |
ICU = intensive care unit; COPD = chronic obstructive pulmonary disease; RRT = renal replacement therapy and was defined as renal replacement therapy during hospitalisation. The first wave was defined from 27 February to 30 June 2020, the second from 01 July 2020 to 28 February 2021 and the third from 01 March to 10 May 2021. Values are number (percentage) or median (interquartile range [IQR]). The p-values are calculated between all three waves using a Kruskal-Wallis test for continuous variables and chi-square test for categorical variables.
Over time, the number of older patients admitted to the hospital decreased significantly from the first and second to the third wave. Similarly, the burden of patients with multiple comorbidities decreased from the first and second to the third wave (fig. 2) The predominance of male patients remained stable during all three waves (table 1). Although the need for ICU admission was similar in all waves, the number of older patients with ICU dependency decreased in the third wave. Also, fewer patients needed renal replacement therapy over the course of the three waves (table 1 and fig. 2). Median length of stay was similar in the first and third wave (both 7 days, IQR 4–11) and peaked in the second wave (8 days, IQR 5–14; p = 0.014).

Figure 2 Proportion of patients during the three waves stratified by age (A), number of comorbidities (B), need for ICU (C), age at ICU (D) need for renal replacement therapy during hospital stay (E) and mortality (F). ICU = intensive care unit; RRT = renal replacement therapy.
Over the course of the three waves, 88 patients (9.3%) died during the hospitalisation. Compared with patients who survived, patients who died more often had a history of diabetes (n = 35, 40% vs n = 230, 27%), arterial hypertension (n = 59, 67% vs n = 388, 45%), cardiovascular disease (n = 47, 53% vs n = 276, 32%), chronic kidney disease (n = 38, 43% vs n = 127, 15%) and more often required renal replacement therapy (n = 8, 9% vs n = 8, 1%) (table 2).
Table 2 Baseline characteristics of all patients and stratified by each wave, and survivors and patients who died.
| Surviving | Died | |||||||
|---|---|---|---|---|---|---|---|---|
| Overall | 1st wave | 2nd wave | 3rd wave | Overall | 1st wave | 2nd wave | 3rd wave | |
| n = 855 (91%) |
n = 171 (90%) | n = 544 (90%) |
n = 141 (95%) |
n = 88 (9%) |
n = 18 (10%) |
n = 62 (10%) |
n = 8 (5%) |
|
| Age (years), median (IQR) | 63 (52–75) | 60 (46–72) | 66 (56–76) | 56 (47–69) | 75 (68–83) | 75 (68–84) | 76 (70–84) | 69 (68–75) |
| Age group, n (%) | ||||||||
| – <50 years | 180 (21) | 53 (31) | 84 (15) | 43 (31) | 3 (3) | 0 (0) | 3 (5) | 0 (0) |
| – 50–64 years | 276 (32) | 49 (29) | 171 (31) | 56 (40) | 8 (9) | 2 (11) | 6 (10) | 0 (0) |
| – 65–79 years | 274 (32) | 54 (32) | 189 (35) | 31 (22) | 43 (49) | 9 (50) | 28 (45) | 6 (75) |
| – ≥80 years | 125 (15) | 15 (9) | 100 (18) | 10 (7) | 34 (39) | 7 (39) | 25 (40) | 2 (25) |
| Male sex, n (%) | 533 (62) | 104 (61) | 346 (64) | 83 (59) | 63 (72) | 11 (61) | 47 (76) | 5 (62) |
| Hospitalisation (days), median (IQR) | 7 (5–13) | 7 (4–12) | 7 (5–13) | 7 (4–11) | 11 (5–18) | 5 (3–10) | 12 (6–18) | 16 (5–24) |
| ICU admission, n (%) | 148 (17) | 30 (18) | 95 (17) | 23 (16) | 58 (66) | 9 (50) | 42 (68) | 7 (88) |
| Days in ICU, median (IQR) | 8 (3–16) | 10 (5–20) | 7 (3–16) | 7 (3–21) | 10 (4–19) | 6 (2–12) | 10 (5–18) | 20 (7–24) |
| COPD, n (%) | 55 (6) | 5 (3) | 44 (8) | 6 (4) | 9 (10) | 1 (6) | 8 (13) | 0 (0) |
| Diabetes, n (%) | 230 (27) | 31 (18) | 170 (31) | 29 (21) | 35 (40) | 4 (22) | 29 (47) | 2 (25) |
| Arterial hypertension, n (%) | 388 (45) | 72 (42) | 260 (48) | 56 (40) | 59 (67) | 15 (83) | 39 (63) | 5 (62) |
| Cardiovascular disease, n (%) | 276 (32) | 36 (21) | 217 (40) | 23 (16) | 47 (53) | 11 (61) | 34 (55) | 2 (25) |
| Immunocompromising condition, n (%) | 90 (11) | 23 (13) | 51 (9) | 16 (11) | 13 (15) | 2 (11) | 10 (16) | 1 (12) |
| Cancer, n (%) | 140 (16) | 29 (17) | 99 (18) | 13 (9) | 20 (23) | 4 (22) | 15 (24) | 1 (12) |
| Chronic kidney disease, n (%) | 127 (15) | 22 (13) | 88 (16) | 17 (12) | 38 (43) | 8 (44) | 28 (45) | 2 (25) |
| Renal replacement therapy during hospitalisation, n (%) | 8 (1) | 6 (4) | 2 (0) | 0 (0) | 8 (9) | 5 (28) | 2 (3) | 1 (12) |
| Days on RRT, median (IQR) | 8 (3–15) | 12 (7–17) | 2 (2–6) | – | 6 (1–14) | 1 (1–12) | 6 (4–12) | 14 (14–14) |
ICU = intensive care unit; COPD = chronic obstructive pulmonary disease; RRT = renal replacement therapy and was defined as renal replacement therapy during hospitalisation. The first wave was defined from 27 February to 30 June 2020, the second from 01 July 2020 to 28 February 2021 and the third from 01 March to 10 May 2021. Values are number (percentage) or median (interquartile range [IQR]).
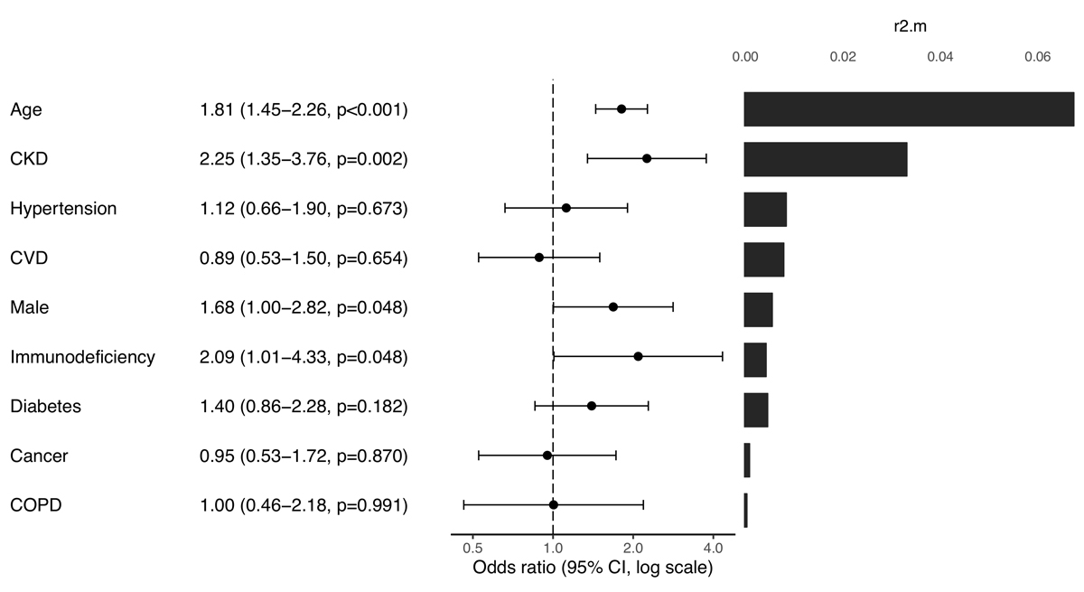
Crude in-hospital mortality was higher with increasing age (<50 years 1.6%, 50–64 years 2.8%, 65–79 years 13.6%, ≥80 years 21.4%). In-hospital mortality in patients requiring intensive care treatment was 28%. Over the course of the first two waves, the in-hospital mortality remained similar (first wave 9.5%, second wave 10.2%); it decreased in the third wave (5.4%). This decrease in mortality over the three waves was predominantly seen in patients older than 80 years (31.8%, 20%, and 16.7%, respectively) and in patients aged 50–64 years (3.92%, 3.39% and 0%, respectively), whereas in the age group of 65–79 years mortality remained stable (first wave 14.3%, second wave 12.9%, third wave 16.2%). Mortality in the ICU was highest in the second wave (30.7%) and was similar in the first (23.1%) and third wave (23.3%). Logistic regression revealed age (adjusted odds ratio [aOR] per 10-years increase 1.81, 95% confidence interval [CI] 1.45–2.26; p <0.001), male sex (aOR 1.68, 95% CI 1.00–2.82; p = 0.048), immunocompromising condition (aOR 2.09, 95% CI 1.01–4.33; p = 0.048) and chronic kidney disease (aOR 2.25, 95% CI 1.35–3.76; p = 0.002) to be significant predictors of all-cause mortality over the whole period (supplementary table S3, fig. 3).

Figure 3 Odds ratio plot displaying the adjusted odds ratio (OR) with the 95% confidence interval (CI) of each variable to predict in-hospital mortality over all three waves. On the right side the average contribution of each variable is plotted on a horizontal scale representing the average contribution of each variable to the model using McFadden R. A table with all the crude and fully adjusted effect estimates, 95% CI and p-values is presented in the appendix. CKD = chronic kidney disease; CVD = cardiovascular disease
Dominance analysis revealed that age and chronic kidney disease are the most important predictors in our model. However, when stratified by patients with and without comorbidities, the in-hospital mortality in patients without comorbidities was low in all age groups (1.6%), whereas it gradually increased in patients with any comorbidity (12.2%, fig. 4).

Figure 4 Mortality stratified by patients with and without comorbidities. Panel A shows a scatter plot with the circle representing all patients stratified by age and number of comorbidities. Blue circles represent survivors and red circles represent patients who died during the hospitalisation. Panels B and C report the proportion of in-hospital mortality in patients without any (B) and with any (C) comorbidities stratified by age.
In this retrospective analysis we investigated the temporal trends of in-hospital mortality and demographics of patients with COVID-19 hospitalised at the University Hospital Basel – the only tertiary care institution in the north-western part of Switzerland. We report five major findings. First, we observed a decrease of older and comorbid patients in the third wave as compared with the first two waves. Second, we report a low in-hospital-mortality of 9.5%, 10.2% and 5.4% in the first, second and third waves, respectively. Third, we found a significant decrease of kidney failure dependent on renal replacement over the course of the pandemic. Fourth, we confirmed age, chronic kidney disease, male sex and immunocompromising condition as risk factors for in-hospital mortality in patients with COVID-19. Age as well as chronic kidney disease were the most dominant predictors of in-hospital death. Fifth, in-hospital mortality was lower than 2% in patients without comorbidities in all age groups.
To the best of our knowledge this is the first and most comprehensive study of hospitalised COVID-19 patients in Switzerland over the course of the pandemic. Also, in an international context such comprehensive studies over the entire time span are scarce. The decrease of older patients hospitalised for COVID-19 in the third wave compared to the first two waves is in line with the nationwide trends in Switzerland, which show a steady reduction in patients over 80 years of age since mid-December [13]. We believe that one reason for this reduction is the vaccination campaign starting at the end of December 2020 / beginning of January 2021 for people over 80, which led to an overall vaccination rate of 25% by March 2021 [1]. Additionally, a change in referral practice by nursing homes and general practitioners (e.g., because of advance directives), as well as a reduction of the population at risk due to the high mortality among older people in the first two waves might have also contributed to this reduction.
The in-hospital mortality of 9.5% during the first wave is lower than the in-hospital mortality rate of the first wave from other countries and centres: for example, 22% in Germany [14], 30% in the UK [15] and 18.7% in Denmark [16]. A study from Geneva (Switzerland) reported an in-hospital mortality of 15.6% [17]. There are a number of possible explanations for these different in-hospital mortality rates. First, compared with our cohort, the median age of the study population in comparable studies was higher. Second, differences in referral practice by nursing homes and general practitioners – such as not referring patients with a very high mortality risk – might also have contributed to the different in-hospital mortality. In fact, elderly patients who refused intensive care treatment in advance, were hospitalised in neighbouring geriatric hospitals. Third, during the first wave patient management and treatment procedures might not have been similar. Fourth, the proportion of patients with multiple comorbidities might depend on the hospital setting. As comorbidities usually are not uniformly collected and defined among different studies, comparison of the proportion of patients with comorbidities is difficult. Lastly, Switzerland has one of the most developed healthcare systems worldwide with one of the highest life expectancies (81.9 years for men and 85.9 years for women in 2019 [18]). Hence, hospitalised patients may have encountered COVID-19 disease in a generally better health status. In addition, staffing by well-educated nurses with a relatively high nurse to patient ratio was possible.
We observed a decline of the in-hospital mortality in the third wave, which might be due to the relative decrease of older patients – as mortality among older patients was the highest. The nationwide trends in Switzerland show a decline of the case fatality rate for COVID-19 patients (out- and inpatients) in all age groups (data derived from [13]). In the general population, this may be the result of increased testing, and thus more frequent detection of mild cases. However, the testing strategy for symptomatic patients has not changed in our hospital and systematic in-hospital screenings of asymptomatic patients – albeit increased over time – detected a very small number of asymptomatic cases, not explaining the decrease of in-hospital-mortality [19]. The experience and evidence with the treatment of COVID-19 patients since the beginning of the pandemic have increased tremendously, both on the scientific international level and on the local institutional level [20], and might have impacted mortality. This might also be mirrored by the longer days on ICU of deceased patients seen in our study. Antiviral [21–23] and immunomodulatory treatments [24–28], as well as ventilation management [29, 30], might have affected mortality over time. On the other hand, changes in admission practices may also have influenced in-hospital mortality over time. The mortality in this study was lower than in comparable international studies, but still very considerable. Unfortunately, the small numbers and the retrospective nature of the study do not allow analysis of the effect of different treatments.
In previous studies, infection with the variant B.1.1.7 has been linked to greater disease severity and possibly mortality [6, 7]. Since the beginning of March 2021, B.1.1.7 is considered the predominant variant in Switzerland, responsible for >90% of SARS-CoV-2 infections [13]. Although sequencing data for the patient population studied was not available, high rates of infection with B.1.1.7 can be assumed for the third wave in our patient population. Despite that, we did not observe an increase, but rather a decrease, in in-hospital mortality.
Interestingly, the duration of hospitalisation needed by survivors was similar across the different waves. However, as the follow-up in our study was limited to the hospitalisation period, it might not be a very good parameter for the duration of symptoms.
Acute kidney injury has been shown to be common among patients with COVID-19 [31–33] and occurring with a higher incidence in patients with COVID-19 than with other respiratory infections. Interestingly, over the course of the pandemic the need for renal replacement, as a surrogate for severe acute kidney injury therapy, decreased in our study. Given the high mortality of COVID-19-associated acute kidney injury, this is an encouraging finding and has been reported previously from the United States [34, 35]. The reasons for this decline are not quite clear, but implicate a change in clinical care, fluid administrations and a shift in demographics of the admitted patients.
Our study builds on the increasing evidence that chronic kidney disease, age, male sex and immunosuppressive conditions are important risk factors for in-hospital mortality [9, 10, 36, 37] and adds to the growing evidence that chronic kidney disease is a strong risk factor for in-hospital mortality [9, 10, 36, 37]. It highlights the importance of infection prevention in this vulnerable group of patients. Interestingly, we were able to show in our cohort that patients without comorbidities, regardless of their age, have a very low in-hospital mortality.
Our study has several limitations: This study was conducted at a single centre; thus, our findings might not be generalisable to other patient populations. Because of the retrospective nature of our study, not all parameters of interest were available for all patients (e.g., BMI) and might be subject to documentation bias. Comorbidities were recorded as assessed by the treating physician – the classification of comorbidities is therefore not consistent. In particular, in the absence of baseline values we defined chronic kidney disease as an eGFR <60ml/min/1.73m2 that was not presumed to be a cause of unrecovered acute kidney injury. This might have led to an overrepresentation of chronic kidney disease if patients did not recover from acute kidney injury. However, this has been a limitation in most studies on this topic. We studied only all-cause mortality and therefore cannot exclude that patients died due to other causes.
The strength of our study is the analysis over the entire time span including three COVID-19 waves, the detailed knowledge on comorbidities and that across all waves all units involved adhered to standardised protocols. Hence, we could analyse all patients treated in our centre since the beginning of the pandemic and therefore provide a realistic picture of the development over time.
In our study overall in-hospital-mortality was 9.3%. Despite tremendous research efforts since the onset of the pandemic, in-hospital-mortality remained high. However, patients without comorbidities had a very low in-hospital mortality regardless of their age.
Standardised, promptly adapted treatment protocols of all involved units and close collaboration supported the care of patients. Our study highlights the importance of infection prevention and control, and in particular, the vaccination campaigns.
Supporting information has been submitted as a separate file. Original data will be made available to the public upon publication.
The appendix is available in the PDF version of the article.
We would like to thank the hospital staff for their efforts during this pandemic, and thank all patients involved in this study. In particular we would like to thank the following people for entering data in our clinical database: Seraina Bally, Sabine Kuster, Silvio Ragozzino, Pascal Urwyler, Terence Tutumlu, Jeanna Fasel, Franziska Böni, Elodie Koller, Selina Ehrenzeller and the entire staff of the clinic of infectious diseases and hospital epidemiology.
No financial support and no other potential conflict of interest relevant to this article was reported.
1Federal Office of Public Health FOPH. Covid-19 Schweiz Informationen zur aktuellen Lage, Stand 21. Juni 2021 [Internet]. [cited 2021 Jun 21]. Available from: https://www.covid19.admin.ch/de/epidemiologic/vacc-persons?demoSum=total
2 Cao Y , Hiyoshi A , Montgomery S . COVID-19 case-fatality rate and demographic and socioeconomic influencers: worldwide spatial regression analysis based on country-level data. BMJ Open. 2020;10(11):e043560. doi:.https://doi.org/10.1136/bmjopen-2020-043560
3 Petrilli CM , Jones SA , Yang J , Rajagopalan H , O’Donnell L , Chernyak Y , et al. Factors associated with hospital admission and critical illness among 5279 people with coronavirus disease 2019 in New York City: prospective cohort study. BMJ. 2020;369:m1966. doi:.https://doi.org/10.1136/bmj.m1966
4 Dennis JM , McGovern AP , Vollmer SJ , Mateen BA . Improving Survival of Critical Care Patients With Coronavirus Disease 2019 in England: A National Cohort Study, March to June 2020. Crit Care Med. 2021;49(2):209–14. doi:.https://doi.org/10.1097/CCM.0000000000004747
5 Anesi GL , Jablonski J , Harhay MO , Atkins JH , Bajaj J , Baston C , et al. Characteristics, Outcomes, and Trends of Patients With COVID-19-Related Critical Illness at a Learning Health System in the United States. Ann Intern Med. 2021;174(5):613–21. doi:.https://doi.org/10.7326/M20-5327
6 Challen R , Brooks-Pollock E , Read JM , Dyson L , Tsaneva-Atanasova K , Danon L . Risk of mortality in patients infected with SARS-CoV-2 variant of concern 202012/1: matched cohort study. BMJ. 2021;372:n579. doi:.https://doi.org/10.1136/bmj.n579
7 Frampton D , Rampling T , Cross A , Bailey H , Heaney J , Byott M , et al. Genomic characteristics and clinical effect of the emergent SARS-CoV-2 B.1.1.7 lineage in London, UK: a whole-genome sequencing and hospital-based cohort study. Lancet Infect Dis. 2021:S1473-3099(21)00170-5. Online ahead of print. doi:.https://doi.org/10.1016/s1473-3099(21)00170-5
8Federal Office of Public Health (FOPH). Deaths related to COVID-19 in Switzerland and compared with other countries. Bern: FOPH; 2021
9 Williamson EJ , Walker AJ , Bhaskaran K , Bacon S , Bates C , Morton CE , et al. Factors associated with COVID-19-related death using OpenSAFELY. Nature. 2020;584(7821):430–6. doi:.https://doi.org/10.1038/s41586-020-2521-4
10 Grasselli G , Greco M , Zanella A , Albano G , Antonelli M , Bellani G , et al.; COVID-19 Lombardy ICU Network. Risk Factors Associated With Mortality Among Patients With COVID-19 in Intensive Care Units in Lombardy, Italy. JAMA Intern Med. 2020;180(10):1345–55. doi:.https://doi.org/10.1001/jamainternmed.2020.3539
11 Vandenbroucke JP , von Elm E , Altman DG , Gøtzsche PC , Mulrow CD , Pocock SJ , et al.; STROBE Initiative. Strengthening the Reporting of Observational Studies in Epidemiology (STROBE): explanation and elaboration. Int J Surg. 2014;12(12):1500–24. doi:.https://doi.org/10.1016/j.ijsu.2014.07.014
12 Azen R , Traxel N . Using Dominance Analysis to Determine Predictor Importance in Logistic Regression. Vol. 34. J Educ Behav Stat. 2009;34(3):319–47. doi:.https://doi.org/10.3102/1076998609332754
13Federal Office of Public Health FOPH. Covid-19 Switzerland, Information on the current situation, as of 4 June 2021 [Internet]. [cited 2021 Apr 6]. Available from: https://www.covid19.admin.ch/en/epidemiologic/case?demoView=graph
14 Karagiannidis C , Mostert C , Hentschker C , Voshaar T , Malzahn J , Schillinger G , et al. Case characteristics, resource use, and outcomes of 10 021 patients with COVID-19 admitted to 920 German hospitals: an observational study. Lancet Respir Med. 2020;8(9):853–62. doi:.https://doi.org/10.1016/S2213-2600(20)30316-7
15 Docherty AB , Mulholland RH , Lone NI , Cheyne CP , De Angelis D , Diaz-Ordaz K , et al.; ISARIC4C Investigators. Changes in in-hospital mortality in the first wave of COVID-19: a multicentre prospective observational cohort study using the WHO Clinical Characterisation Protocol UK. Lancet Respir Med. 2021;9(7):773–85. doi:.https://doi.org/10.1016/S2213-2600(21)00175-2
16 Holler JG , Eriksson R , Jensen TØ , van Wijhe M , Fischer TK , Søgaard OS , et al. First wave of COVID-19 hospital admissions in Denmark: a Nationwide population-based cohort study. BMC Infect Dis. 2021;21(1):39. doi:.https://doi.org/10.1186/s12879-020-05717-w
17 Vernaz N , Agoritsas T , Calmy A , Gayet-Ageron A , Gold G , Perrier A , et al. Early experimental COVID-19 therapies: associations with length of hospital stay, mortality and related costs. Swiss Med Wkly. 2020;150:w20446.
18Schweiz - Lebenserwartung nach Geschlecht 2019 [Internet]. [cited 2021 Jul 6]. Available from: https://de.statista.com/statistik/daten/studie/18667/umfrage/lebenserwartung-in-der-schweiz
19 Stadler RN , Maurer L , Aguilar-Bultet L , Franzeck F , Ruchti C , Kühl R , et al. Systematic screening on admission for SARS-CoV-2 to detect asymptomatic infections. Antimicrob Resist Infect Control. 2021;10(1):44. doi:.https://doi.org/10.1186/s13756-021-00912-z
20Bhimraj A, Morgan RL, Shumaker AH, Lavergne V, Baden L, Cheng VC, et al. Infectious Diseases Society of America Guidelines on the Treatment and Management of Patients with COVID-19. Infectious Diseases Society of America 2021; Version 4.3.0 [Internet]. [cited 2021 May 6]. Available from: https://www.idsociety.org/practice-guideline/covid-19-guideline-treatment-and-management/
21 Beigel JH , Tomashek KM , Dodd LE , Mehta AK , Zingman BS , Kalil AC , et al.; ACTT-1 Study Group Members. Remdesivir for the Treatment of Covid-19 - Final Report. N Engl J Med. 2020;383(19):1813–26. doi:.https://doi.org/10.1056/NEJMoa2007764
22 Pan H , Peto R , Henao-Restrepo AM , Preziosi MP , Sathiyamoorthy V , Abdool Karim Q , et al., WHO Solidarity Trial Consortium. Repurposed Antiviral Drugs for Covid-19 - Interim WHO Solidarity Trial Results. N Engl J Med. 2021;384(6):497–511. doi:.https://doi.org/10.1056/NEJMoa2023184
23 Spinner CD , Gottlieb RL , Criner GJ , Arribas López JR , Cattelan AM , Soriano Viladomiu A , et al.; GS-US-540-5774 Investigators. Effect of Remdesivir vs Standard Care on Clinical Status at 11 Days in Patients With Moderate COVID-19: A Randomized Clinical Trial. JAMA. 2020;324(11):1048–57. doi:.https://doi.org/10.1001/jama.2020.16349
24 Soin AS , Kumar K , Choudhary NS , Sharma P , Mehta Y , Kataria S , et al. Tocilizumab plus standard care versus standard care in patients in India with moderate to severe COVID-19-associated cytokine release syndrome (COVINTOC): an open-label, multicentre, randomised, controlled, phase 3 trial. Lancet Respir Med. 2021;9(5):511–21. doi:.https://doi.org/10.1016/S2213-2600(21)00081-3
25 Rosas IO , Bräu N , Waters M , Go RC , Hunter BD , Bhagani S , et al. Tocilizumab in Hospitalized Patients with Severe Covid-19 Pneumonia. N Engl J Med. 2021;384(16):1503–16. doi:.https://doi.org/10.1056/NEJMoa2028700
26 Salama C , Han J , Yau L , Reiss WG , Kramer B , Neidhart JD , et al. Tocilizumab in Patients Hospitalized with Covid-19 Pneumonia. N Engl J Med. 2021;384(1):20–30. doi:.https://doi.org/10.1056/NEJMoa2030340
27 Horby P , Lim WS , Emberson JR , Mafham M , Bell JL , Linsell L , et al., RECOVERY Collaborative Group. Dexamethasone in Hospitalized Patients with Covid-19. N Engl J Med. 2021;384(8):693–704. doi:.https://doi.org/10.1056/NEJMoa2021436
28 Tomazini BM , Maia IS , Cavalcanti AB , Berwanger O , Rosa RG , Veiga VC , et al.; COALITION COVID-19 Brazil III Investigators. Effect of Dexamethasone on Days Alive and Ventilator-Free in Patients With Moderate or Severe Acute Respiratory Distress Syndrome and COVID-19: The CoDEX Randomized Clinical Trial. JAMA. 2020;324(13):1307–16. doi:.https://doi.org/10.1001/jama.2020.17021
29 Elharrar X , Trigui Y , Dols A-M , Touchon F , Martinez S , Prud’homme E , et al. Use of Prone Positioning in Nonintubated Patients With COVID-19 and Hypoxemic Acute Respiratory Failure. JAMA. 2020;323(22):2336–8. doi:.https://doi.org/10.1001/jama.2020.8255
30 Ferrando C , Mellado-Artigas R , Gea A , Arruti E , Aldecoa C , Adalia R , et al.; COVID-19 Spanish ICU Network. Awake prone positioning does not reduce the risk of intubation in COVID-19 treated with high-flow nasal oxygen therapy: a multicenter, adjusted cohort study. Crit Care. 2020;24(1):597. doi:.https://doi.org/10.1186/s13054-020-03314-6
31 Diebold M , Zimmermann T , Dickenmann M , Schaub S , Bassetti S , Tschudin-Sutter S , et al. Comparison of Acute Kidney Injury in Patients with COVID-19 and Other Respiratory Infections: A Prospective Cohort Study. J Clin Med. 2021;10(11):2288. doi:.https://doi.org/10.3390/jcm10112288
32 Diebold M , Schaub S , Landmann E , Steiger J , Dickenmann M . Acute kidney injury in patients with COVID-19: a retrospective cohort study from Switzerland. Swiss Med Wkly. 2021;151:w20482. doi:.https://doi.org/10.4414/smw.2021.20482
33 Hirsch JS , Ng JH , Ross DW , Sharma P , Shah HH , Barnett RL , et al.; Northwell COVID-19 Research Consortium; Northwell Nephrology COVID-19 Research Consortium. Acute kidney injury in patients hospitalized with COVID-19. Kidney Int. 2020;98(1):209–18. doi:.https://doi.org/10.1016/j.kint.2020.05.006
34 Charytan DM , Parnia S , Khatri M , Petrilli CM , Jones S , Benstein J , et al. Decreasing Incidence of Acute Kidney Injury in Patients with COVID-19 Critical Illness in New York City. Kidney Int Rep. 2021;6(4):916–27. doi:.https://doi.org/10.1016/j.ekir.2021.01.036
35 Legrand M , Bell S , Forni L , Joannidis M , Koyner JL , Liu K , et al. Pathophysiology of COVID-19-associated acute kidney injury. Nat Rev Nephrol. 2021. Online ahead of print. doi:.https://doi.org/10.1038/s41581-021-00452-0
36 Navaratnam AV , Gray WK , Day J , Wendon J , Briggs TWR . Patient factors and temporal trends associated with COVID-19 in-hospital mortality in England: an observational study using administrative data. Lancet Respir Med. 2021;9(4):397–406. doi:.https://doi.org/10.1016/S2213-2600(20)30579-8
37 Kim L , Garg S , O’Halloran A , Whitaker M , Pham H , Anderson EJ , et al. Risk Factors for Intensive Care Unit Admission and In-hospital Mortality Among Hospitalized Adults Identified through the US Coronavirus Disease 2019 (COVID-19)-Associated Hospitalization Surveillance Network (COVID-NET). Clin Infect Dis. 2021;72(9):e206–14. doi:.https://doi.org/10.1093/cid/ciaa1012
M. Diebold and A. E. Martinez are shared first authors. M. Dickenmann and M. Weisser are shared last authors.
No financial support and no other potential conflict of interest relevant to this article was reported.