DOI: https://doi.org/10.4414/smw.2020.20281
During the present coronavirus 2019 (COVID-19) pandemic, a wide range of experimental treatments have been offered on a wide scale to treat severe cases of COVID-19 – often using off-label regimens with well-established safety profiles that were licensed for other indications, such as lopinavir-ritonavir [1, 2]. Meanwhile, after preliminary results from the “Adaptive COVID-19 Treatment Trial”, the experimental drug remdesivir has received an emergency use authorisation by the US Food and Drug Administration. These recent decisions exhibit the pressure on regulatory agencies and healthcare professionals to make off-label treatments available during pandemics. A liberal approach to off-label treatment, however, has been criticised, as these treatments should first be evaluated in randomised controlled trials with adequate clinical endpoints prior to their widespread application for novel indications [3].
During pandemics, many healthcare workers may be hesitant to offer experimental treatments. The reasons are well grounded on the principles of evidence-based medicine and bioethics as we, healthcare professionals, live by the principle to first, do no harm, second, be careful, and third, heal (primum non nocere, secundum cavere, tertium sanare). Under some circumstances, healthcare workers’ and health policy makers’ decisions may be biased towards primum non nocere as they may tend to overestimate risks while underestimating the potential benefits of rapid initiation of experimental treatment; this may well also occur in the other direction, with underestimation of risks and overestimation of benefits – shifting decisions towards primum sanare. Therefore, off-label treatment decisions should be based on careful, preliminary estimations of the harm-benefit balance, to avoid passive and active harm to the patient.
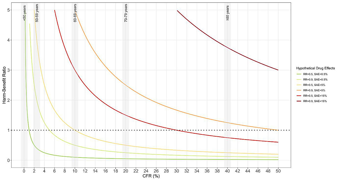
In figure 1, we have modelled a range of harm-benefit curves for off-label drugs with diverse efficacy and safety profiles in the treatment of infectious diseases caused by an unspecified pathogen. This could likely represent severe acute respiratory syndrome coronavirus 2, with a sharp increase in case fatality ratios for higher age groups (as depicted with age bands). This hypothetical example illustrates that some scenarios could result in net beneficial effects (harm-benefit ratio <1) of off-label treatments in patients with various case fatality ratios. In the end, harm-benefit ratios will be influenced by the case fatality ratio as well as the clinical efficacy and safety profile of an off-label drug regimen. If the relative risk reduction of all-cause mortality is small, then only those with higher case fatality may benefit sufficiently to outweigh the risk of serious adverse events. For COVID-19, a high case fatality has been observed in some cohorts despite early treatment with off-label drugs. Importantly, the first randomised controlled trials in COVID-19 patients showed no beneficial effects of certain off-label treatments compared with placebo. This may indicate that the expected clinical efficacy of these specific off-label drugs is limited (or absent) – shifting the harm-benefit curve to the right, towards higher case fatality ratios. These high-risk populations may, however, be disproportionally affected by drug-drug interactions, serious adverse events and comorbidities, which may complicate and argue against off-label treatment initiation.

Figure 1 Harm-benefit ratios for off-label drugs with different efficacy and safety profiles across case fatality ratios. Note: The depicted harm-benefit ratios for off-label drugs indicate the ratio between harms (i.e. serious adverse events and death due to an off-label treatment) and benefits (i.e. reduced infection-related mortality due to an off-label treatment). An off-label drug with a harm-benefit ratio <1.0 indicates a net beneficial effect for the given patient population with a specific baseline case fatality ratio. A rate ratio of <1.0 indicates a protective effect of the off-label drug. CFR = case fatality ratio; RR = rate ratio; SAE = serious adverse event
We have learned from previous instances in medical history that thorough clinical evaluation of off-label treatments are essential to protect patients’ welfare. A the same time, during large outbreaks and pandemics with highly pathogenic infectious agents without licensed treatment options, healthcare professionals may have to decide quickly whether off-label drug regimens could be offered to patients at high risk. In such emergency situations and given a high case fatality ratio in patient sub-groups and an acceptable safety profile of the experimental drug regimens under consideration for their approved indications, we reason that rapid off-label treatment initiation may be considered from the outset for patients at high risk, under certain conditions. This approach should be implemented in an internationally coordinated trial setting, which can be outlined in advance for future pandemics, and by following several key principles. We believe that off-label treatment decisions need to be based on (i) clearly defined selection and treatment criteria, (ii) a strong biological rationale based on data from in vitro and animal studies (e.g., antiviral activity, reduction of cytokine storm), (iii) a critical appraisal of prior evidence on the efficacy, effectiveness and safety profile of the off-label drug for similar indications and patient populations, and (iv) the estimated harm-benefit ratio. This strategy should be followed within a large, collaborative study setting to accrue experimental evidence as fast as possible in adequately designed and powered randomised controlled trials. Digital innovations and the increased availability of continuously updated electronic medical records and large learning health systems have the potential to facilitate evaluating many off-label treatments options as part of pragmatic clinical trials [4]. Nevertheless, waiting for conclusive trial results during health emergencies could mean withholding potentially effective off-label treatments from most severely ill patients in the exponential phase of a pandemic, which may turn out later to have been the correct or wrong decision. This can be especially problematic during pandemics, as most studies performed in the initial epidemic phase may be underpowered, not coordinated at an international level and poorly conducted. In a previous investigation that included 25 head-to-head treatment comparisons with 153 randomised controlled trials and 24,592 patients, off-label treatments were not reliably better or worse than approved drug treatments [5]: This general example underscores the importance of diverse randomised comparisons to detect effective off-label treatments among many possible candidates.
The COVID-19 pandemic has resulted in a tremendous upsurge in collaborative research activities to study novel diagnostic, prevention and treatment strategies, and to evaluate off-label treatments (covid-evidence.org). We should be cautious, carefully assess and not systematically over- or underestimate the potential harms and benefits associated with off-label treatments during international emergencies. Importantly, the well-established drug approval processes should not be “bypassed” but healthcare professionals need better guidance and frameworks to rapidly deploy, study and compare off-label treatments under controlled conditions during future international health emergencies – for instance as part of large-scale factorial trials with pragmatic and adaptive components. These decisions for or against off-label treatment need to be based on clearly defined selection and treatment criteria, a strong biological rationale, a critical appraisal of prior evidence, and the estimated harm-benefit ratio. The global research community has acted very dynamically during the initial phase of the COVID-19 pandemic and we should critically reflect how to make best use of collaborative research efforts and specifically clinical trials.
We thank Hélène Aschmann, MSc, University of Zurich, Zurich, Switzerland, for her critical revision of the manuscript draft.
No financial support and no other potential conflict of interest relevant to this article was reported.
1 Baden LR , Rubin EJ . Covid-19 - the search for effective therapy. N Engl J Med. 2020;382(19):1851–2. doi:.https://doi.org/10.1056/NEJMe2005477
2 Cao B , Wang Y , Wen D , Liu W , Wang J , Fan G , et al. A trial of lopinavir-ritonavir in adults hospitalized with severe Covid-19. N Engl J Med. 2020;382(19):1787–99; Epub ahead of print. doi:.https://doi.org/10.1056/NEJMoa2001282
3 Rome BN , Avorn J . Drug evaluation during the Covid-19 pandemic. N Engl J Med. 2020;NEJMp2009457. doi:.https://doi.org/10.1056/NEJMp2009457
4 Simon GE , Platt R , Hernandez AF . Evidence from pragmatic trials during routine care - slouching toward a learning health system. N Engl J Med. 2020;382(16):1488–91. doi:.https://doi.org/10.1056/NEJMp1915448
5 Ladanie A , Ioannidis JPA , Stafford RS , Ewald H , Bucher HC , Hemkens LG . Off-label treatments were not consistently better or worse than approved drug treatments in randomized trials. J Clin Epidemiol. 2018;94:35–45. doi:.https://doi.org/10.1016/j.jclinepi.2017.11.006
No financial support and no other potential conflict of interest relevant to this article was reported.