DOI: https://doi.org/10.4414/smw.2018.14576
Cholecalciferol (vitamin D3) is widely supplemented in breast cancer survivors because of the favourable effect of vitamin D on multiple health outcomes, including: maintained bone integrity, muscle strength and immunity; reduced inflammation, cardiovascular disease mortality and cancer risk; and improved mental function, quality of life and survival [1–7].
Low- to moderate-quality evidence supports an antineoplastic effect of vitamin D with a more favourable prognosis in various cancers, including breast cancer [8–17]. Inflammation stress can decrease the levels of 25(OH)D by increasing its conversion to the vitamin D active metabolite 1,25(OH)2D [18]. Hypovitaminosis D decreases the conversion of 25(OH)D to 1,25(OH)2D in postmenopausal women [19]. Long-term therapy with certain drugs, especially cytochrome P450-inducing agents commonly used in patients with cancer can decrease the levels of calcitriol through accelerated cytochrome P450-mediated degradation [20, 21]. Some recreational drugs, including tobacco [22, 23] and alcohol [24] can modify the association between protective vitamin D levels and cancer risk. In addition, significant associations with vitamin D receptor gene (VDR) polymorphisms have been reported for prostate, breast, colorectal and skin cancer [25, 26], suggesting that vitamin D and/or VDR may modulate the risk of cancer.
Therefore patients with breast cancer receiving hormonal therapy, chemotherapy, radiotherapy, immunotherapy or combinations thereof, as well as breast cancer survivors and postmenopausal women in general may benefit from adequate levels of vitamin D.
The present observational study aimed to investigate 25(OH)D levels and their determinants in a cohort of breast cancer survivors in eastern Switzerland.
The study population consisted of all patients taking part in a cross-sectional study on sociodemographic, lifestyle and health characteristics of Swiss patients with early breast cancer, as reported elsewhere [27]. Consecutive patients from the St Gallen Breast Centre (a tertiary referral centre in eastern Switzerland) were offered study participation. Inclusion criteria were a diagnosis of early (nonmetastatic) breast cancer with preoperative, current or completed postoperative treatment and no evidence of recurrence. The study was reported according to the STROBE guidelines for observational studies and approved by the local Ethics Committee (EKSG-Ethikkommission des Kantons St. Gallen, 08/082) and all participants provided informed consent for use and analyses of baseline characteristics, sociodemographic data, questionnaires and biochemical data in this study.
All consenting patients were asked to complete a questionnaire about patient-related and sociodemographic variables including age, education, physical activity, smoking habit, place of residence (rural area vs urban area), comorbidity, use of complementary and alternative medicine and calcium and cholecalciferol intake. Vital parameters including weight, height, body mass index (BMI), bone mineral density (BMD) and body composition were recorded for all patients on the basis of routine procedures. Tumour biological characteristics including age at diagnosis, tumour stage, histology and grade of differentiation, hormone-receptor and HER2 status, antitumor treatment (therapy modalities), menopausal status, and concurrent disease were extracted manually from the records.
Cholecalciferol intake and serum concentration of the storage metabolite 25(OH)D and the active metabolite 1,25-dihydroxyvitamin D (1,25(OH)2D) were recorded at baseline and during a second (follow-up) visit. High-performance liquid chromatography was used to analyse 25(OH)D, (kit by Chromsystems, Gräflingen, Germany) and 1,25(OH)2D was analysed with a radioimmunassay (IDS, Tyne and Wear, UK). Since our assays did not separate the major circulating vitamin D2 and vitamin D3 metabolites and their respective epimers and isobars [28], we collectively termed them 25(OH)D and 1,25(OH)2D. Vitamin D deficiency was defined as 25(OH)D ≤50 nmol/l (≤20 ng/l); vitamin D insufficiency was defined as 25(OH)D between 50 and 75 nmol/l (20–30 ng/l), and optimal 25(OH)D levels were defined as between 75 and 100 nmol/l (30–40 ng/l), in accordance with the reference values of our assays and internationally accepted concentration intervals [29–31].
At the first visit, there were 133 patients already receiving daily calcium-vitamin D3 supplementation as a chewing tablet, and 3 patients already receiving vitamin D3 (cholecalciferol) supplementation alone. After 25(OH)D analysis, 12 patients showing 25(OH)D deficiency were advised to have a loading intramuscular dose of 300 000 IU cholecalciferol, and all patients with 25(OH)D insufficiency or deficiency were advised to take daily calcium-D3 supplementation (500 mg and 800 IU, respectively) as a chewing tablet.
We performed exploratory statistical analyses on the interrelatedness of various laboratory, clinical and lifestyle variables including 25(OH)D, 1,25(OH)2D, age, BMI, BMD, physical activity (including frequency of sporting activity) and place of residence (rural area vs urban area). Vitamin D was the primary outcome, and we based our statistical analyses on the storage form (25(OH)D) because this is the more abundant and stable form, and also because this is the commonly reported vitamin D assay. To check for the physiological status of vitamin D in our study population, we also considered 1,25(OH)2D in some analyses. Continuous variables were summarised as median and range, categorical as frequency and percent. We performed univariate analysis using Spearman’s rho to test for correlation between 25(OH)D and the continuous variables: age, 1,25(OH)2D level, BMD and BMI. To compare subgroups (place of residence, sport activity, season of the year, calcium and/or cholecalciferol supplementation) as regards to their respective median levels of vitamin D metabolites and the correlation to a number of variables, we used the Kruskal-Wallis test (age, season of the year, calcium and cholecalciferol supplementation) and the Wilcoxon rank-sum test (place of residence). We also performed a multiple regression model with 25(OH)D level as the outcome, and age, BMI, BMD, seasons of the year, place of residence and sport activity as covariates. Trends in 25(OH)D levels as related to tumour characteristics and therapy modalities were derived from a descriptive statistical analysis (median, standard deviation [SD], correlation). Because of the exploratory nature of the study, p-values were not corrected for multiple testing. The significance level used for all analyses was p <0.05. Data were visualised as scatter plots with scatter plot smoothers or as box plots. Analyses were performed with S-PLUS 8.1 (TIBCO Software, Palo Alto, CA, USA).
Between December 2008 and September 2010, 375 patients were offered participation in the study. Twenty-eight (8%) patients declined participation (unwillingness to participate, linguistic problems) and 5 (1%) patients were excluded from the analysis because they did not fulfil the selection criteria (e.g., no history of breast cancer, metastatic disease) or had withdrawn their consent. The remaining 342 patients completed the enrolment questionnaire. Figure 1 shows recruitment, reasons for exclusion and dropouts. Patients’ characteristics and concurrent and/or prior treatment were reported earlier and are summarised in table 1. Median age was 61 years, most patients were Swiss citizens (78%), and median time since diagnosis of breast cancer was 3.1 years. Breast cancer characteristics were typical for patients with early breast cancer (table 2).

Figure 1 Patient recruitment, reasons for exclusion and dropouts.
Table 1 Patients’ characteristics and treatment (n = 342).
| n | Median (range) | % | |
|---|---|---|---|
| Age; median (range), years | 61 (29–94) | ||
| Time since first diagnosis; median (range), years | 3.1 (0.1–35) | ||
| Postmenopausal | 298 | 87 | |
| Mood; median (range), VAS* | 7.2 (0.8–10) | ||
| Future; median (range), VAS† | 7.9 (0.5–10) | ||
| Body mass index; median (range), kg/m2 | 24.5 (17–48) | ||
| Blood pressure; median (mm Hg) | 129 / 80 | ||
| Heart rate, median (bpm) | 78 | ||
| Peak flow; median (range), l/min | 350 (120–580) | ||
| Haemoglobin; median (range), g/l | 133 (85–169) | ||
| Living together with partner | 258 | 75 | |
| Living in rural area | 245 | 72 | |
| Private health insurance | 139 | 41 | |
| Body composition (Impedance) | |||
| Water; median (range), % | 56 (41–64) | ||
| Fat; median (range), % | 31 (14–52) | ||
| Muscle; median (range), % | 31 (20–51) | ||
| Education | |||
| None or basic | 107 | 31 | |
| Professional honour | 163 | 48 | |
| Higher education | 67 | 20 | |
| Missing | 5 | 1 | |
| Working situation | |||
| At home (not actively in the work force) | 77 | 23 | |
| Full or part-time employment | 126 | 37 | |
| Retired | 112 | 33 | |
| Other | 27 | 8 | |
| Nationality at birth | |||
| Swiss | 265 | 77 | |
| European Union | 50 | 15 | |
| Other | 27 | 8 | |
| Smoking status | |||
| Never smoker | 204 | 60 | |
| Quit smoking >12 months ago | 80 | 23 | |
| Current smoker | 56 | 16 | |
| Current treatment | |||
| No | 116 | 34 | |
| Yes | 226 | 66 | |
| Endocrine | 197 | 87 | |
| Chemotherapy | 26 | 12 | |
| Anti-HER2 | 13 | 6 | |
| Radiotherapy | 0 | 0 | |
| Prior treatment | |||
| Surgery | 338 | 99 | |
| Endocrine | 124 | 36 | |
| Chemotherapy | 209 | 61 | |
| Anti-HER2 | 30 | 9 | |
| Radiotherapy | 244 | 71 | |
| Concomitant medication | |||
| Diabetes | 16 | 5 | |
| Hypertension | 97 | 28 | |
| Depression | 24 | 7 | |
| Other | 54 | 16 |
* Visual analogic scale (VAS): 0 = unhappy; 10 = happy † VAS: 0 = fear, 10 = confidence The table has been slightly adapted from the original article by Templeton et al. 2013 [25]. The original article is an open access article distributed under the terms of the Creative Commons Attribution License, which permits unrestricted use, distribution, and reproduction in any medium, provided the original work is properly cited.
Table 2 Breast tumour grading results (n = 342).
| n | % | ||
|---|---|---|---|
| Stage of primary tumour* | ypT0 | 9 | 3 |
| pT1 (incl. ypT1) | 178 | 52 | |
| pT2 (incl. ypT2) | 133 | 39 | |
| pT3 (incl. ypT3) | 16 | 5 | |
| pT4 (incl. ypT4) | 3 | 1 | |
| pTx (incl. ypTx) | 3 | 1 | |
| Stage of regional lymph nodes* | pN0 (incl. ypN0) | 161 | 47 |
| pN1 (incl. ypN1) | 139 | 41 | |
| pN2 (incl. ypN2) | 31 | 9 | |
| pN3 (incl. ypN3) | 10 | 3 | |
| Missing | 1 | 0 | |
| Oestrogen receptor status | Negative (0–9%) | 85 | 25 |
| Low (10–50%) | 29 | 8 | |
| Intermediate (51–80%) | 77 | 23 | |
| High (81–100%) | 147 | 43 | |
| Unknown | 4 | 1 | |
| Progesterone receptor status | No (0–9%) | 122 | 36 |
| Low (10–50%) | 62 | 18 | |
| Intermediate (51–80%) | 81 | 24 | |
| High (81–100%) | 72 | 21 | |
| Unknown | 5 | 1 | |
| HER2 Status | Negative | 230 | 67 |
| Positive | 55 | 16 | |
| Unknown | 57 | 17 | |
| Grade | G1 | 42 | 12 |
| G2 | 167 | 49 | |
| G3 | 103 | 30 | |
| GX | 30 | 9 | |
| Triple-negative status | No | 282 | 82 |
| Yes | 43 | 13 | |
| Unknown | 17 | 5 |
* “y” indicates stage after treatment
Baseline serum 25(OH)D results were available for 332 (97%) enrolled patients and follow-up 25(OH)D results were available for 230 (67%) patients. The follow-up measurement of vitamin D (25(OH)D and 1,25(OH)2D was performed at the second visit, a median 210 days (range 87–857) after the first visit.
At the baseline measurement, 25(OH)D-deficiency was diagnosed in 60 (18%) patients; insufficiency was diagnosed in 70 (21%) patients; optimal levels were found in 85 (26%) patients and 114 (35%) patients had 25(OH)D levels above optimum. At the follow-up visit, 25(OH)D deficiency was diagnosed in 44 (19%) patients and insufficiency was diagnosed in 47 (21%) patients. Twenty-five (41.6%) patients with 25(OH)D deficiency at baseline attained sufficient 25(OH)D levels at the follow-up, whereas 33 (16.5%) patients who had sufficient 25(OH)D levels at baseline became -deficient. Only 67 (30%) patients presented optimal 25(OH)D levels at the follow-up (fig. 2).

Figure 2 Distribution of the patients according to internationally accepted categories of serum 25-dihydroxyvitamin D (25(OH)D) levels: deficiency (<50 nmol/l), insufficiency (50–74 nmol/l), optimal level (75–100 nmol/l) and physiological level above optimum (>100 nmol/l). Note that the proportion of patients in each category did not change appreciably in the follow-up visit at median 210 days (range 87–857 days) after the first visit.
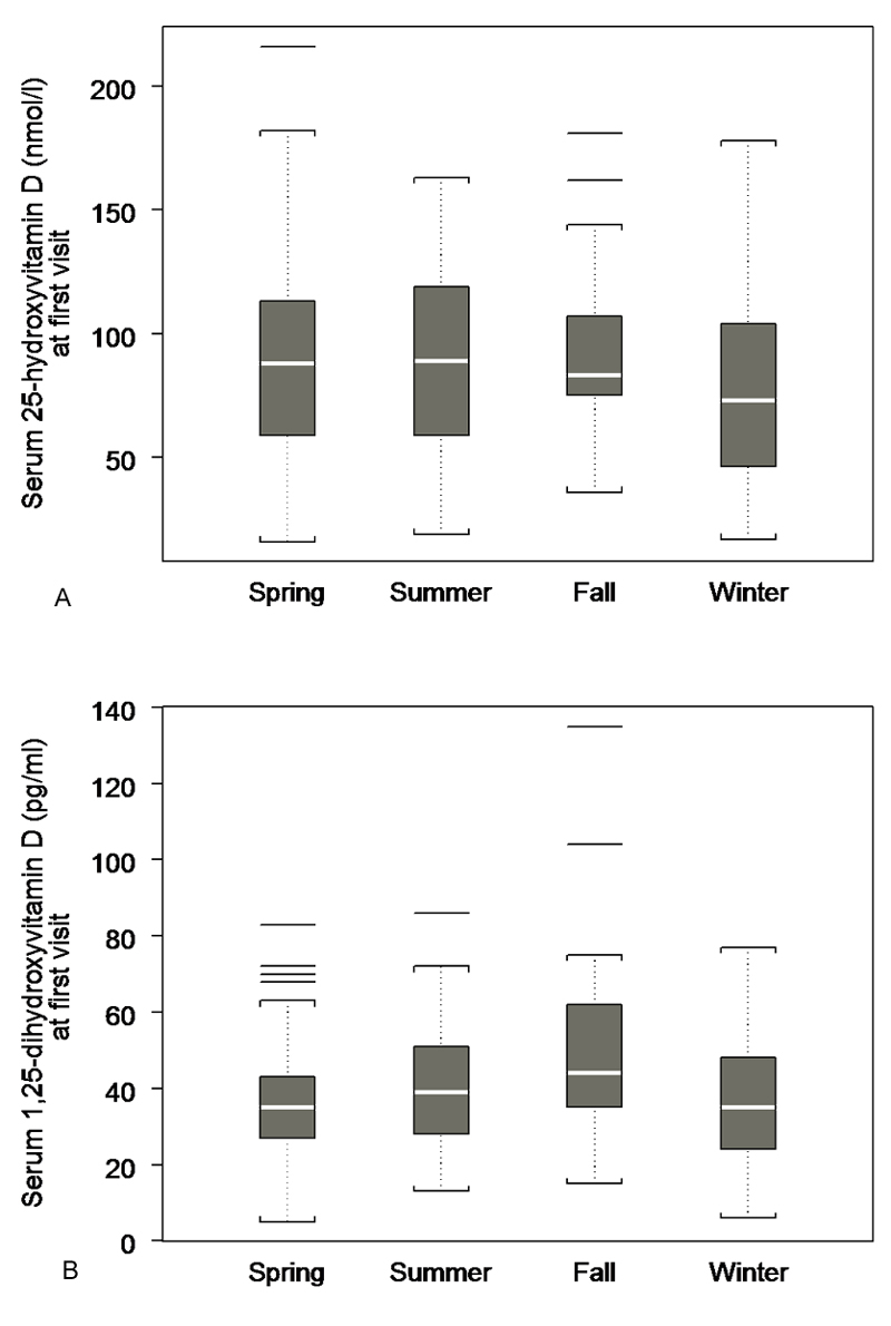
We focused our descriptive analyses on the baseline vitamin D levels for which we had more complete laboratory data, as above stated. Figure 3 and tables 3 and 4 show the baseline levels of 25(OH)D and 1,25(OH)2D during according to the season of the year for all patients. Median 25(OH)D and 1,25(OH)2D levels showed a significant seasonality, with increased levels during the seasons of higher sun exposure as compared with those of lower sun exposure: 25(OH)D at baseline, n = 332, Kruskal-Wallis p = 0.042; 1,25(OH)2D at baseline, n = 311, Kruskal-Wallis p = 0.001.

Figure 3 Seasonality of serum 25(OH)D (a) and 1,25(OH)2D (b) levels. Note that seasonality was more pronounced for 1,25(OH)2D, hinting at insufficient 25(OH)D levels in a large proportion of patients: sharp decreases in 1,25(OH)2D levels may imply 25(OH)D deficiency.
Table 3 25(OH)D level according to season.
| Season of the year | n |
Median
(nmol/l) |
Min. | Max. | Mean | SD |
|---|---|---|---|---|---|---|
| Spring | 113 | 88.0 | 16 | 216 | 88.0 | 38.0 |
| Summer | 77 | 89.0 | 19 | 163 | 90.0 | 36.8 |
| Autumn | 46 | 83.5 | 36 | 181 | 91.5 | 31.7 |
| Winter | 96 | 73.0 | 17 | 178 | 77.2 | 39.1 |
SD = standard deviation
Table 4 1,25(OH)2D level according to season.
| Season of the year | n |
Median
(pg/ml) |
Min. | Max. | Mean | SD |
|---|---|---|---|---|---|---|
| Spring | 105 | 35 | 5 | 83 | 35.6 | 14.4 |
| Summer | 73 | 39 | 13 | 86 | 40.2 | 15.4 |
| Autumn | 42 | 44 | 15 | 135 | 49.0 | 22.9 |
| Winter | 91 | 35 | 6 | 77 | 35.0 | 15.5 |
SD = standard deviation
Living in a rural area was associated with a higher median 25(OH)D concentration as compared with living in an urban area: 87 nmol/l (range 16–216), n = 240, median BMI 24.6 kg/m2 versus 46 nmol/l (range 17–162), n = 92, median BMI 24.1 kg/m2; Wilcoxon p = 0.001 (fig. 4).

Figure 4 Living in a rural area was associated with a higher median 25(OH)D level as compared with living in an urban area; the same trend was observed for 1,25(OH)2D.
A significant correlation was observed between 25(OH)D and1,25(OH)2D levels (n = 310, Spearman’s rho = 0.21, p <0.001) but the plot was very scattered with a flattening of the trend line for 25(OH)D levels higher than 80 nmol/l (fig. 5).

Figure 5 Correlation between 25(OH)D and 1,25(OH)2D. Note the large scattering of the data and the flattening of the trend line for 25(OH)D levels higher than 80 nmol/l.
BMI was inversely related to both 25(OH)D- and 1,25(OH)2D levels (n = 311, Spearman’s rho = −0.24, p <0.001 and n = 310, Spearman’s rho = −0.23, p <0.001, respectively; fig. 6), and regular sporting activity was associated with a higher median 25(OH)D level even when of moderate intensity (n = 328, Kruskal-Wallis p = 0.045; medians 65 nmol/l for no activity, 84 nmol/l for one and 88 nmol/l for two activities per week; table 5).

Figure 6 Body mass index (BMI, kg/m2) was inversely related to both 25(OH)D (a) and 1,25(OH)2D (b) levels.
Table 5 Physical activity and serum 25(OH)D.
| No sport | Sport once weekly | Sport >once weekly | |||||||
|---|---|---|---|---|---|---|---|---|---|
| Mean (SD) |
Median (range) |
n | Mean (SD) |
Median (range) |
n | Mean (SD) |
Median (range) | n | |
| BMI (kg/m2) | 27.0 (6.6) |
25.2 (19.7–48.1) |
37 | 26.6 (4.9) |
26.2 (18.1–40.8) |
69 | 24.8 (4.2) |
24.2 (16.7–39.5) |
231 |
| 25(OH)D (nmol/l) | 71.8 (41.2) |
65 (18–163) |
37 | 86.5 (35.0) | 83.5 (16–178) |
66 | 88.1(37.2) | 88 (17–216) |
225 |
BMI = body mass index; SD = standard deviation
The 25(OH)D level at baseline was higher in patients already receiving oral supplementation with calcium and cholecalciferol (usually one or two chewing tablets containing 500 mg calcium plus 400 IU cholecalciferol) as compared with those patients who were not receiving supplementation. Some patients diagnosed with low 25(OH)D at the first visit took cholecalciferol supplementation thereafter, but the dose and form of substitution varied among patients. Sixty-two (27%) patients, including 15 with 25(OH)D deficiency, did not take any cholecalciferol supplementation between the first and second visits. A few patients received 300 000 IU cholecalciferol as a single dose either orally or intramuscularly, whereas the majority of patients preferred to take calcium-vitamin D chewing tablets containing 500 mg calcium and 400 IU cholecalciferol once or twice daily. The 25(OH)D level in those patients with lower 25(OH)D increased after supplementation, as expected, and at the second visit were: median 25(OH)D levels, no supplementation, 65 nmol/l (range 4–161), n = 55; supplementation started before the first visit, 88 nmol/l (range 12–194), n = 121; supplementation started after the first visit 81.5 nmol/l (range 22–180), n = 38; Kruskal Wallis p = 0.002 (fig. 7).

Figure 7 Effect of cholecalciferol supplementation on median 25(OH)D levels. Levels of 25(OH)D were higher in patients under newly started cholecalciferol supplementation and also during continued supplementation, as compared with no supplementation.
Age, which has been shown to affect 25(OH)D levels in other studies in elderly people [32–35] had no significant correlation with the levels of serum 25(OH)D in our series of mostly middle-aged patients (n = 332, rho = −0.03, p = 0.629). No clear correlation was found between 25(OH)D levels and BMD as assessed with bone densitometry (n = 234, rho = −0.07; p = 0.257).
A nonsignificant trend towards lower median 25(OH)D with increasing breast tumour grade was observed: 96 nmol/l (17–165), 85 nmol/l (16–216) and 82 nmol/l (17–181) for patients with grade 1 (n = 41), grade 2 (n = 163) and grade 3 (n = 98) tumours, respectively. Patients with triple negative breast tumours showed a trend towards lower 25(OH)D levels as compared with patients with other histological types: 74 nmol/l (17–181), n = 41 vs 86 nmol/l (16–216), n = 274, respectively.
Serum 25(OH)D- and 1,25(OH)2D levels according to the therapy modalities are shown in table 6. Patients who had undergone chemotherapy showed a nonsignificant lower median 25(OH)D level as compared with patients who had not had any chemotherapy, but the former were younger than the latter (p ˂0.001). Also, the patients undergoing chemotherapy at the time of the first visit were on average younger than the patients who had not had chemotherapy at this time point (p ˂0.001). The patients who were under endocrine therapy at the time of the first visit tended to have higher 25(OH)D levels than the smaller number of patients who were not under endocrine therapy at this time. The few patients who were receiving HER2-directed therapy at the time of the first visit tended to have lower 25(OH)D levels than patients who were not under HER2-directed therapy at this time. However, possibly owing to the low sample sizes and therefore the low statistical power, none of the differences in 25(OH)D and 1,25(OH)2D as related to tumour biology or therapy modality reached statistical significance.
Table 6 Therapy modalities and serum 25(OH)D, 1,25(OH)2D levels.
| Types of therapy undergone by patients |
Median age
years (range, n) |
Median 25(OH)D
nmol/l (range, n) |
Median 1,25(OH)2D
pg/ml (range, n) |
|---|---|---|---|
| No prior chemo- or endocrine therapy | 63.2 (40.9––85.3, 62) | 86 (16––216, 61) | 33 (8––77, 59) |
| Prior chemotherapy | 58.9 (28.5––93.6, 189) | 81.5 (17––182, 182) | 38 (12––135, 165) |
| Prior endocrine therapy | 61.1 (28.5––86.1, 124) | 89.5 (17––169, 120) | 39 (5––83, 111) |
| Current chemotherapy | 55.6 (35.5–76.2, 26) | 53.5 (27–181, 24) | 33 (10–50, 25) |
| Current endocrine therapy | 61.2 (28.5–88.4, 197) | 91.5 (16–216, 192) | 37 (5–104, 179) |
| No current endocrine therapy | 58.2 (35.5–78, 30) | 51 (24–181, 28) | 30 (10–50, 29) |
| No current HER2-directed therapy | 60.5 (28.5–88.4, 214) | 86 (16–216, 207) | 36 (5–86, 196) |
| Current HER2-directed therapy | 66.1 (41.3–76.2, 13) | 79 (24–176, 13) | 26.5 (13–104, 12) |
The multiple regression analyses yielded results similar to the univariate models. The interpretation of regression coefficients as depicted in table 7 is exemplified by the continuous variable age (average 25(OH)D decrease per age year is 0.26) and the categorical variable season (25(OH)D is on average 11.51 higher in spring than in winter). BMI and living in an urban area were significant predictors of 25(OH)D. Season and activity were significant and borderline significant, respectively, when nonsignificant age and BMD were eliminated from the model, so finally the same findings are obtained as in the univariate model (table 7; supplementary tables S1, S2, S3 in appendix 1).
Table 7 Multiple linear regression model for serum 25(OH)D (nmol/l) at first visit.
| Predictor | Categories |
Regression
coefficient |
95% confidence
interval |
p-alue
(Wald) |
|---|---|---|---|---|
| Age | – | –0.26 | (–0.69, 0.17) | 0.243 |
| BMD | – | –0.004 | (–0.02, 0.01) | 0.471 |
| BMI | – | –1.44 | (–2.42, –0.46) | 0.004 |
| Season | Spring Summer Autumn Winter (ref.) |
11.51 16.55 10.10 0 |
(–0.09, 23.11) (3.33, 29.77) (–5.54, 25.74) |
0.085 |
| Urban/rural area | Urban area Rural area (ref.) |
–18.22 0 |
(–28.93, –7.51) | 0.001 |
| Sport activity | Once weekly or more No sport (ref.) |
13.40 0 |
(–2.06, 28.86) | 0.091 |
BMD = bone mineral density; BMI = body mass index
In this observational study we described the vitamin D status of 332 breast cancer survivors at baseline and in 230 of them at a follow-up visit a median of 210 days thereafter. The effects of factors known to increase the 25(OH)D serum levels, such as sunlight exposure, place of residence, physical activity and supplementation with cholecalciferol, as well as factors known to reduce the 25(OH)D serum levels such as obesity and chemotherapy [36, 37], were recorded for our cohort.
The main conclusion that cholecalciferol supplementation (or lack thereof) was the single most important factor affecting vitamin D levels in our cohort seems to be quite obvious and could have been reached without this study. However, the study showed that a substantial number of patients have suboptimal 25(OH)D levels in spite of ongoing cholecalciferol supplementation. This suggests that adequate vitamin D supplementation regimens must be tailored to individual characteristics, needs and preferences.
Cholecalciferol is generated in the skin from 7-dehydrocholesterol or obtained from the diet. Cholecalciferol undergoes a first hydroxylation step in the liver to yield 25(OH)D, which is a widely measured precursor of the hormonally active metabolite, 1,25(OH) 2D. The activation of 25(OH)D to 1,25(OH)2D occurs through a second hydroxylation step occurring in great part in the kidneys, but also in other tissues including tumours [38–40]. The half-life of 25(OH)D varies between 2 and 5 weeks, depending on multiple factors such as vitamin D compound, ethnic background, vitamin D binding protein (DBP) genotype, kidney and liver function, disease states, pharmaceutical drugs, and the method used to measure the vitamin D metabolite [41–47]. The terminal half-life of 1,25(OH)2D is much shorter, ranging from only 5 to 10 hours in healthy subjects [48].
Despite cholecalciferol supplementation, we observed that the proportion of patients with 25(OH)D deficiency or insufficiency remained practically unchanged at about 40%, and the proportion of the patients with sufficient 25(OH)D levels remained at about 60% over time (see fig. 2).
Factors such as place of residence, physical activity, BMI, supplementation compliance and cholecalciferol dosage may help explain these findings. We have seen that people living in a rural area had higher 25(OH)D levels than people living in an urban area. Also, there were many more rural dwellers (72%) than urban dwellers (28%) in our cohort. Most – if not all – patients changed neither their place of residence, their BMI, nor their physical activity during the observation period. Thus, the constancy of these variables between the baseline and the follow-up visit was associated with stable vitamin D proportions during this period.
In our series of patients, both 25(OH)D and 1,25(OH)2D showed seasonal variation, but this seasonal variation was more pronounced with 1,25(OH)2D. This finding indicates that 25(OH)D levels were not sufficient in a large number of patients in our cohort. The active metabolite 1,25(OH)2D does not generally show any seasonal variation provided that 25(OH)D concentrations are sufficient [49].
The effect of cholecalciferol supplementation was not evenly distributed. Whereas most patients experienced a rise in 25(OH)D following oral supplementation, a few patients receiving even a large cholecalciferol dose of 300 000 IU maintained low levels or did not show an adequate rise of 25(OH)D at the second visit. Of these patients, two even had a decrease of their 25(OH)D levels a couple of months after the high-dose supplementation. Also, a large proportion of patients (round 35 and 30% at the first visit and at follow-up, respectively) showed 25(OH)D levels above optimum.
We thereby conclude that adequate cholecalciferol supplementation is important to maintain optimal 25(OH)D levels, but most of our patients did not have adequate cholecalciferol supplementation. Limitations to this conclusion include a lack of adjustments for a number of confounding factors, but use of a multiple regression model means that important confounding factors have been included in the analysis.
The cholecalciferol dosing regimen is a very important factor in the success of treatment in clinical trials, a point that is only just becoming apparent. The topic was first raised by B.W Hollis [50] and further explained by Hollis and Wagner (2013) [51]. These concepts have been shown to be accurate in a recent meta-analysis of randomised controlled trials involving vitamin D and infection, where bolus dosing of vitamin D failed and daily dosing was a success [52].
The Australasian expert panel of 2016 [53] concluded that (i) the target serum 25(OH)D concentration should be 50 to 60 nmol/l all the year around, with a conservative upper limit <100 nmol/l; (ii) the dosing interval may need to be <2 months to have a continuous benefit; and (iii) a maintenance dose of 1000 IU/day, or an equivalent dose weekly or monthly, is sufficient for most individuals in Australasia.
A similar maintenance dose has been recommended to people living in Europe and North America. The dose effects of cholecalciferol on 25(OH)D levels are depicted in figure 8, which shows that the usual daily maintenance supplementation with 1000 IU cholecalciferol is not enough to bring any appreciable change in the 25(OH)D levels over time in 25(OH)D-deficient patients. This usual dose regimen is well below the 2000–3000 IU/day required to safely raise serum 25(OH)D to optimal levels and normalise parathyroid hormone (PTH) during the winter season in the northern hemisphere [57]. There is currently no good reason to believe that these recommendations should not apply to Swiss breast cancer survivors.

Figure 8 Changes in serum 25(OH)D levels over time after different supplementation dose regimens during winter*. For all health endpoints considered by Bischoff-Ferrari et al [1], the most advantageous serum concentrations of 25(OH)D begin at 75 nmol/l (30 ng/ml), and the best are between 90 and 100 nmol/l (36–40 ng/ml). For most people living in urban areas, this optimal range can be reached with a supplementary cholecalciferol (vitamin D3) dose of 3000 IU daily (alternatively 20 000 IU weekly or 80 000 IU monthly; 1 IU = 0.025 µg vitamin D3; 1 µg vitamin D3 = 40 IU). A loading dose followed by maintenance doses at regular intervals can be considered on an individual base. Serum 25(OH)D determination at baseline and after supplementation may be required for dose adjustment; sub-sequential 25(OH)D determinations are usually not required.
*The data used to prepare this graphic were obtained from previous reports [54–56].
The observational study was originally planned as a cross-sectional study without an interventional-therapeutic part. The original study had some predefined hypotheses, e.g., higher socioeconomic status would be associated with higher vitamin D levels and a higher proportion of our patients would have vitamin D levels lower than the reference laboratory values reported in the literature. The descriptive results of our exploratory analyses are hypothesis-generating for future studies.
Strengths of our study include the prospective collection of data and prospective analysis plan and the high compliance of patients (>90%) included in the study, thus avoiding a relevant selection bias.
Limitations of this descriptive study include: the lack of normal controls; the lack of some outcome measure related to blood levels of 25(OH)D specifically related to breast cancer patients, as well as PTH, since PTH levels would have been helpful in light of the 1,25(OH)2D levels; the lack of adjustment for confounding factors such as the VDR and DBP genotypes; a possible selection bias in connection with the lack of 25(OH)D measurement during the second (follow up) visit in roughly one third of the patients; and the low numbers of patients in some subgroups of tumour stage, type and therapy.
The lack of a reference group in our survey is justified by Sakem et al., who determined the 25(OH)D serum concentrations in 1291 subjectively healthy Swiss men and women, 60 years or older, with high-performance liquid chromatography [58]. The percentage of participants in each of the four 25(OH)D deficiency groups – severely deficient (<10 ng/ml), deficient (10–20 ng/ml), insufficient (21–29 ng/ml) and normal (≥30 ng/ml) – were statistically compared. About 66% of the subjects had insufficient levels of 25(OH)D. Normal levels of 25(OH)D were found in 26.1% of the subjects of whom 21% were males and 30.5% were females. Severely deficient levels of 25(OH)D were found in 7.98% of the total study population. In a comparison with our results, vitamin D deficient and severely deficient healthy women were roughly twice as much as in our breast cancer survivor series (about two thirds in the normal population versus one third in our breast cancer survival series). The explanation for this difference is surely the higher prevalence of preventative vitamin D supplementation in our breast cancer survivors, reflecting this general conduct of Swiss medical doctors and patients alike. It remains to be proven in future studies whether a higher prevalence of vitamin D supplementation among breast cancer survivors influences disease-free survival or not.
Also, we acknowledge potential study limitations arising from basing the statistical analyses on 25(OH)D, as well as from the wide variability in the results as evident in the range of values to median figures, and from the fact that our assays did not separate the different vitamin D epimers and isobars, which may have resulted in inaccuracies in the measurement and interpretation of vitamin D status.
Some of these limitations are illustrated in figure 5, which showed a weaker correlation between 25(OH)D and 1,25(OH)2D for 25(OH)D levels higher than 80 nmol/l, which may reflect either the large variation in 25(OH)D levels within the cohort or varying rates of 25(OH)D conversion to 1,25(OH)2D, due, for example, to different metabolic activities, drug interactions, genetic variation, and perhaps the presence of vitamin D epimers and isobars not accounted for in our assays. It is known that the proportions of circulating vitamin D epimers and isobars from exogenous and endogenous sources can vary significantly [59], and their metabolic activities can differ [60–63]. Future studies shall approach the question whether these sources of variation have any clinical significance.
On a final note of caution, the associations reported herein do not allow inference of causality, and there is no high-quality evidence that the findings are relevant in terms of health outcomes in breast cancer survivors. These questions and other related questions are under scrutiny in a number of ongoing large-scale, randomised controlled clinical trials, for example, VITAL [64], FIND [65], ViDA [66], DOHealth [67], and VIDAL [68].
Although cholecalciferol is widely supplemented in breast cancer survivors in eastern Switzerland, a remarkable fraction of these patients had serum 25(OH)D below (40%) or above (30%) optimal levels, with only 30% of patients presenting optimal levels. As expected, both 25(OH)D and 1,25(OH)2D levels are higher in patients on cholecalciferol supplementation than in patients without supplementation, but usual supplementation regimens are not adequate to bring 25(OH)D levels to the internationally accepted optimal range for a large proportion of patients.
Table S1 Outcome serum 25-hydroxyvitamin D (nmol/l) at first visit: all predictors (type III sum of squares).
| Df | Sum of Sq | Mean Sq | F Value | Pr(F) | |
|---|---|---|---|---|---|
| Age | 1 | 1862.3 | 1862.32 | 1.49333 | 0.2230023 |
| Bone | 1 | 786.6 | 786.57 | 0.63073 | 0.4279405 |
| BMI | 1 | 9964.3 | 9964.35 | 7.99007 | 0.0051348 |
| Season | 3 | 8427.6 | 2809.22 | 2.25261 | 0.0831362 |
| City | 1 | 13843.3 | 13843.28 | 11.10045 | 0.0010116 |
| Activity | 1 | 1765.4 | 1765.40 | 1.41561 | 0.2354033 |
| Residuals | 221 | 275607.2 | 1247.09 |
BMI and city were significant in the full model. If we eliminate bone from the model, season also becomes significant. Finally, three predictors are significant and we have the same findings as in univariate analyses. In univariate analyses BMI and city were significant (p <0.001 and p = 0.001, respectively), and season was weakly significant (p = 0.042).
Table S2 Outcome serum 25-hydroxyvitamin D (nmol/l) at first visit: body mass index, season and city as predictors (type III sum of squares).
| Df | Sum of Sq | Mean Sq | F Value | Pr(F) | |
|---|---|---|---|---|---|
| BMI | 1 | 23791.9 | 23791.86 | 18.79223 | 0.000019464 |
| Season | 3 | 16439.4 | 5479.79 | 4.32826 | 0.005205761 |
| City | 1 | 18907.1 | 18907.10 | 14.93395 | 0.000134430 |
| Residuals | 325 | 411465.6 | 1266.05 |
Table S3 Outcome serum 1,25-dihydroxyvitamin D (pg/ml) at first visit: all predictors (type III sum of squares).
| Df | Sum of Sq | Mean Sq | F Value | Pr(F) | |
|---|---|---|---|---|---|
| Age | 1 | 5.96 | 5.960 | 0.024880 | 0.8748225 |
| Bone | 1 | 13.85 | 13.855 | 0.057835 | 0.8101907 |
| BMI | 1 | 2085.60 | 2085.601 | 8.706091 | 0.0035406 |
| Season | 3 | 2635.46 | 878.485 | 3.667131 | 0.0132041 |
| City | 1 | 367.95 | 367.950 | 1.535965 | 0.2166364 |
| Activity | 1 | 226.78 | 226.778 | 0.946657 | 0.3317184 |
| Residuals | 205 | 49109.08 | 239.556 |
BMI and season are significant, so here we have in the full model the same findings as in univariate analyses.
We gratefully acknowledge the critique of the reviewers who helped improve the manuscript.
No financial support and no other potential conflict of interest relevant to this article was reported.
1 Bischoff-Ferrari HA , Giovannucci E , Willett WC , Dietrich T , Dawson-Hughes B . Estimation of optimal serum concentrations of 25-hydroxyvitamin D for multiple health outcomes. Am J Clin Nutr. 2006;84(1):18–28. Correction in: Am J Clin Nutr. 2006;84(5):1253.
2 Hossein-nezhad A , Holick MF . Vitamin D for health: a global perspective. Mayo Clin Proc. 2013;88(7):720–55. doi:.https://doi.org/10.1016/j.mayocp.2013.05.011
3 Ordóñez-Mena JM , Schöttker B , Haug U , Müller H , Köhrle J , Schomburg L , et al. Serum 25-hydroxyvitamin d and cancer risk in older adults: results from a large German prospective cohort study. Cancer Epidemiol Biomarkers Prev. 2013;22(5):905–16. doi:.https://doi.org/10.1158/1055-9965.EPI-12-1332
4 Durup D , Jørgensen HL , Christensen J , Tjønneland A , Olsen A , Halkjær J , et al. A Reverse J-Shaped Association Between serum 25-hydroxyvitamin D and cardiovascular disease mortality: The CopD study. J Clin Endocrinol Metab. 2015;100(6):2339–46. doi:.https://doi.org/10.1210/jc.2014-4551
5 Pant S , Shapiro CL . Aromatase inhibitor-associated bone loss: clinical considerations. Drugs. 2008;68(18):2591–600. doi:.https://doi.org/10.2165/0003495-200868180-00005
6 Autier P , Boniol M , Pizot C , Mullie P . Vitamin D status and ill health: a systematic review. Lancet Diabetes Endocrinol. 2014;2(1):76–89. doi:.https://doi.org/10.1016/S2213-8587(13)70165-7
7 Wimalawansa SJ . Non-musculoskeletal benefits of vitamin D. J Steroid Biochem Mol Biol. 2018;175:60–81. doi:.https://doi.org/10.1016/j.jsbmb.2016.09.016
8 Sakaki T , Yasuda K , Kittaka A , Yamamoto K , Chen TC . CYP24A1 as a potential target for cancer therapy. Anticancer Agents Med Chem. 2014;14(1):97–108. doi:.https://doi.org/10.2174/18715206113139990307
9 Giovannucci E . The epidemiology of vitamin D and cancer incidence and mortality: a review (United States). Cancer Causes Control. 2005;16(2):83–95. doi:.https://doi.org/10.1007/s10552-004-1661-4
10 Lazzeroni M , Serrano D , Pilz S , Gandini S . Vitamin D supplementation and cancer: review of randomized controlled trials. Anticancer Agents Med Chem. 2013;13(1):118–25. doi:.https://doi.org/10.2174/187152013804487281
11 Scarmo S , Afanasyeva Y , Lenner P , Koenig KL , Horst RL , Clendenen TV , et al. Circulating levels of 25-hydroxyvitamin D and risk of breast cancer: a nested case-control study. Breast Cancer Res. 2013;15(1):R15. doi:.https://doi.org/10.1186/bcr3390
12 Lappe JM , Travers-Gustafson D , Davies KM , Recker RR , Heaney RP . Vitamin D and calcium supplementation reduces cancer risk: results of a randomized trial. Am J Clin Nutr. 2007;85(6):1586–91.
13 Mohr SB , Gorham ED , Kim J , Hofflich H , Garland CF . Meta-analysis of vitamin D sufficiency for improving survival of patients with breast cancer. Anticancer Res. 2014;34(3):1163–6.
14 Kelly JL , Salles G , Goldman B , Fisher RI , Brice P , Press O , et al. Low serum vitamin D levels are associated with inferior survival in follicular lymphoma: A prospective evaluation in SWOG and LYSA studies. J Clin Oncol. 2015;33(13):1482–90. doi:.https://doi.org/10.1200/JCO.2014.57.5092
15 Palmer JR , Gerlovin H , Bethea TN , Bertrand KA , Holick MF , Ruiz-Narvaez EN , et al. Predicted 25-hydroxyvitamin D in relation to incidence of breast cancer in a large cohort of African American women. Breast Cancer Res. 2016;18(1):86. doi:.https://doi.org/10.1186/s13058-016-0745-x
16 Feldman D , Krishnan AV , Swami S , Giovannucci E , Feldman BJ . The role of vitamin D in reducing cancer risk and progression. Nat Rev Cancer. 2014;14(5):342–57. doi:.https://doi.org/10.1038/nrc3691
17 Yao S , Kwan ML , Ergas IJ , Roh JM , Cheng TD , Hong C-C , et al. Association of serum level of vitamin D at diagnosis with breast cancer survival. A case-cohort analysis in the Pathways Study. JAMA Oncol. 2017;3(3):351–7. Published online November 10, 2016. doi:.https://doi.org/10.1001/jamaoncol.2016.4188
18 Barker T , Martins TB , Kjeldsberg CR , Trawick RH , Hill HR . Circulating interferon-γ correlates with 1,25(OH)D and the 1,25(OH)D-to-25(OH)D ratio. Cytokine. 2012;60(1):23–6. doi:.https://doi.org/10.1016/j.cyto.2012.05.015
19 Rejnmark L , Vestergaard P , Heickendorff L , Mosekilde L . Plasma 1,25(OH)2D levels decrease in postmenopausal women with hypovitaminosis D. Eur J Endocrinol. 2008;158(4):571–6. doi:.https://doi.org/10.1530/EJE-07-0844
20 Xu Y , Hashizume T , Shuhart MC , Davis CL , Nelson WL , Sakaki T , et al. Intestinal and hepatic CYP3A4 catalyze hydroxylation of 1alpha,25-dihydroxyvitamin D(3): implications for drug-induced osteomalacia. Mol Pharmacol. 2006;69(1):56–65.
21 Wang Z , Lin YS , Dickmann LJ , Poulton EJ , Eaton DL , Lampe JW , et al. Enhancement of hepatic 4-hydroxylation of 25-hydroxyvitamin D3 through CYP3A4 induction in vitro and in vivo: implications for drug-induced osteomalacia. J Bone Miner Res. 2013;28(5):1101–16. doi:.https://doi.org/10.1002/jbmr.1839
22 Afzal S , Bojesen SE , Nordestgaard BG . Low plasma 25-hydroxyvitamin D and risk of tobacco-related cancer. Clin Chem. 2013;59(5):771–80. doi:.https://doi.org/10.1373/clinchem.2012.201939
23 Deschasaux M , Souberbielle JC , Latino-Martel P , Sutton A , Charnaux N , Druesne-Pecollo N , et al. Prospective associations between vitamin D status, vitamin D-related gene polymorphisms, and risk of tobacco-related cancers. Am J Clin Nutr. 2015;102(5):1207–15. doi:.https://doi.org/10.3945/ajcn.115.110510
24 Deschasaux M , Souberbielle JC , Latino-Martel P , Sutton A , Charnaux N , Druesne-Pecollo N , et al. Weight status and alcohol intake modify the association between vitamin D and breast cancer risk. J Nutr. 2016;146(3):576–85. doi:.https://doi.org/10.3945/jn.115.221481
25 Gandini S , Gnagnarella P , Serrano D , Pasquali E , Raimondi S . Vitamin D receptor polymorphisms and cancer. Adv Exp Med Biol. 2014;810:69–105.
26 Berlanga-Taylor AJ , Knight JC . An integrated approach to defining genetic and environmental determinants for major clinical outcomes involving vitamin D. Mol Diagn Ther. 2014;18(3):261–72. doi:.https://doi.org/10.1007/s40291-014-0087-2
27 Templeton AJ , Thürlimann B , Baumann M , Mark M , Stoll S , Schwizer M , et al. Cross-sectional study of self-reported physical activity, eating habits and use of complementary medicine in breast cancer survivors. BMC Cancer. 2013;13(1):153. doi:.https://doi.org/10.1186/1471-2407-13-153
28 Shah I , James R , Barker J , Petroczi A , Naughton DP . Misleading measures in Vitamin D analysis: a novel LC-MS/MS assay to account for epimers and isobars. Nutr J. 2011;10(1):46. doi:.https://doi.org/10.1186/1475-2891-10-46
29 Hollis BW . Circulating 25-hydroxyvitamin D levels indicative of vitamin D sufficiency: implications for establishing a new effective dietary intake recommendation for vitamin D. J Nutr. 2005;135(2):317–22.
30 Vieth R . What is the optimal vitamin D status for health? Prog Biophys Mol Biol. 2006;92(1):26–32. doi:.https://doi.org/10.1016/j.pbiomolbio.2006.02.003
31 Duque G , Daly RM , Sanders K , Kiel DP . Vitamin D, bones and muscle: myth versus reality. Australas J Ageing. 2017;36(Suppl 1):8–13. doi:.https://doi.org/10.1111/ajag.12408
32 Maïmoun L , Simar D , Malatesta D , Caillaud C , Peruchon E , Couret I , et al. Response of bone metabolism related hormones to a single session of strenuous exercise in active elderly subjects. Br J Sports Med. 2005;39(8):497–502. doi:.https://doi.org/10.1136/bjsm.2004.013151
33 Veldurthy V , Wei R , Oz L , Dhawan P , Jeon YH , Christakos S . Vitamin D, calcium homeostasis and aging. Bone Res. 2016;4:16041. doi:.https://doi.org/10.1038/boneres.2016.41
34 Zhen D , Liu L , Guan C , Zhao N , Tang X . High prevalence of vitamin D deficiency among middle-aged and elderly individuals in northwestern China: its relationship to osteoporosis and lifestyle factors. Bone. 2015;71:1–6. doi:.https://doi.org/10.1016/j.bone.2014.09.024
35 Van Pottelbergh G , Matheï C , Vaes B , Adriaensen W , Gruson D , Degryse JM . The influence of renal function on vitamin D metabolism in the very elderly. J Nutr Health Aging. 2013;17(2):107–11. doi:.https://doi.org/10.1007/s12603-012-0094-0
36 Aguirre M , Manzano N , Salas Y , Angel M , Díaz-Couselo FA , Zylberman M . Vitamin D deficiency in patients admitted to the general ward with breast, lung, and colorectal cancer in Buenos Aires, Argentina. Arch Osteoporos. 2016;11(1):4. doi:.https://doi.org/10.1007/s11657-015-0256-x
37 Shirazi L , Almquist M , Malm J , Wirfält E , Manjer J . Determinants of serum levels of vitamin D: a study of life-style, menopausal status, dietary intake, serum calcium, and PTH. BMC Womens Health. 2013;13(1):33. doi:.https://doi.org/10.1186/1472-6874-13-33
38 Miller GJ , Stapleton GE , Hedlund TE , Moffat KA . Vitamin D receptor expression, 24-hydroxylase activity, and inhibition of growth by 1alpha,25-dihydroxyvitamin D3 in seven human prostatic carcinoma cell lines. Clin Cancer Res. 1995;1(9):997–1003.
39 Friedrich M , Diesing D , Cordes T , Fischer D , Becker S , Chen TC , et al. Analysis of 25-hydroxyvitamin D3-1alpha-hydroxylase in normal and malignant breast tissue. Anticancer Res. 2006;26(4A):2615–20.
40 Li J , Luco AL , Ochietti B , Fadhil I , Camirand A , Reinhardt TA , et al. Tumoral vitamin D synthesis by CYP27B1 1-α-hydroxylase delays mammary tumor progression in the PyMT-MMTV mouse model and its action involves NF-κB modulation. Endocrinology. 2016;157(6):2204–16. doi:.https://doi.org/10.1210/en.2015-1824
41 Mawer EB , Lumb GA , Stanbury SW . Long biological half-life of vitamin D3 and its polar metabolites in human serum. Nature. 1969;222(5192):482–3. doi:.https://doi.org/10.1038/222482a0
42 Gray RW , Weber HP , Dominguez JH , Lemann J, Jr . The metabolism of vitamin D3 and 25-hydroxyvitamin D3 in normal and anephric humans. J Clin Endocrinol Metab. 1974;39(6):1045–56. doi:.https://doi.org/10.1210/jcem-39-6-1045
43 Jung RT , Davie M , Hunter JO , Chalmers TM , Lawson DE . Abnormal vitamin D metabolism in cirrhosis. Gut. 1978;19(4):290–3. doi:.https://doi.org/10.1136/gut.19.4.290
44 Kobayashi T , Okano T , Shida S , Okada K , Suginohara T , Nakao H , et al. Variation of 25-hydroxyvitamin D3 and 25-hydroxyvitamin D2 levels in human plasma obtained from 758 Japanese healthy subjects. J Nutr Sci Vitaminol (Tokyo). 1983;29(3):271–81. doi:.https://doi.org/10.3177/jnsv.29.271
45 Vicchio D , Yergey A , O’Brien K , Allen L , Ray R , Holick M . Quantification and kinetics of 25-hydroxyvitamin D3 by isotope dilution liquid chromatography/thermospray mass spectrometry. Biol Mass Spectrom. 1993;22(1):53–8. doi:.https://doi.org/10.1002/bms.1200220107
46 Kennedy DA , Cooley K , Skidmore B , Fritz H , Campbell T , Seely D . Vitamin d: pharmacokinetics and safety when used in conjunction with the pharmaceutical drugs used in cancer patients: a systematic review. Cancers (Basel). 2013;5(1):255–80. doi:.https://doi.org/10.3390/cancers5010255
47 Jones KS , Assar S , Harnpanich D , Bouillon R , Lambrechts D , Prentice A , et al. 25(OH)D2 half-life is shorter than 25(OH)D3 half-life and is influenced by DBP concentration and genotype. J Clin Endocrinol Metab. 2014;99(9):3373–81. doi:.https://doi.org/10.1210/jc.2014-1714
48 Bailie GR , Johnson CA . Comparative review of the pharmacokinetics of vitamin D analogues. Semin Dial. 2002;15(5):352–7. doi:.https://doi.org/10.1046/j.1525-139X.2002.00086.x
49 Pitson GA , Lugg DJ , Roy CR . Effect of seasonal ultraviolet radiation fluctuations on vitamin D homeostasis during an Antarctic expedition. Eur J Appl Physiol Occup Physiol. 1996;72(3):231–4. doi:.https://doi.org/10.1007/BF00838644
50 Hollis BW . Short-term and long-term consequences and concerns regarding valid assessment of vitamin D deficiency: comparison of recent food supplementation and clinical guidance reports. Curr Opin Clin Nutr Metab Care. 2011;14(6):598–604. doi:.https://doi.org/10.1097/MCO.0b013e32834be798
51 Hollis BW , Wagner CL . Clinical review: The role of the parent compound vitamin D with respect to metabolism and function: Why clinical dose intervals can affect clinical outcomes. J Clin Endocrinol Metab. 2013;98(12):4619–28. doi:.https://doi.org/10.1210/jc.2013-2653
52 Martineau AR , Jolliffe DA , Hooper RL , Greenberg L , Aloia JF , Bergman P , et al. Vitamin D supplementation to prevent acute respiratory tract infections: systematic review and meta-analysis of individual participant data. BMJ. 2017;356:i6583. doi:.https://doi.org/10.1136/bmj.i6583
53 Duque G , Daly RM , Sanders K , Kiel DP . Vitamin D, bones and muscle: myth versus reality. Australas J Ageing. 2017;36(Suppl 1):8–13. doi:.https://doi.org/10.1111/ajag.12408
54 Vieth R , Chan PC , MacFarlane GD . Efficacy and safety of vitamin D3 intake exceeding the lowest observed adverse effect level. Am J Clin Nutr. 2001;73(2):288–94.
55 Romagnoli E , Mascia ML , Cipriani C , Fassino V , Mazzei F , D’Erasmo E , et al. Short and long-term variations in serum calciotropic hormones after a single very large dose of ergocalciferol (vitamin D2) or cholecalciferol (vitamin D3) in the elderly. J Clin Endocrinol Metab. 2008;93(8):3015–20. doi:.https://doi.org/10.1210/jc.2008-0350
56 van Groningen L , Opdenoordt S , van Sorge A , Telting D , Giesen A , de Boer H . Cholecalciferol loading dose guideline for vitamin D-deficient adults. Eur J Endocrinol. 2010;162(4):805–11. doi:.https://doi.org/10.1530/EJE-09-0932
57 Leidig-Bruckner G , Roth HJ , Bruckner T , Lorenz A , Raue F , Frank-Raue K . Are commonly recommended dosages for vitamin D supplementation too low? Vitamin D status and effects of supplementation on serum 25-hydroxyvitamin D levels--an observational study during clinical practice conditions. Osteoporos Int. 2011;22(1):231–40. doi:.https://doi.org/10.1007/s00198-010-1214-5
58 Sakem B , Nock C , Stanga Z , Medina P , Nydegger UE , Risch M , et al. Serum concentrations of 25-hydroxyvitamin D and immunoglobulins in an older Swiss cohort: results of the Senior Labor Study. BMC Med. 2013;11(1):176. doi:.https://doi.org/10.1186/1741-7015-11-176
59 Singh RJ , Taylor RL , Reddy GS , Grebe SK . C-3 epimers can account for a significant proportion of total circulating 25-hydroxyvitamin D in infants, complicating accurate measurement and interpretation of vitamin D status. J Clin Endocrinol Metab. 2006;91(8):3055–61. doi:.https://doi.org/10.1210/jc.2006-0710
60 Nakagawa K , Sowa Y , Kurobe M , Ozono K , Siu-Caldera ML , Reddy GS , et al. Differential activities of 1alpha,25-dihydroxy-16-ene-vitamin D(3) analogs and their 3-epimers on human promyelocytic leukemia (HL-60) cell differentiation and apoptosis. Steroids. 2001;66(3-5):327–37. doi:.https://doi.org/10.1016/S0039-128X(00)00142-2
61 Kamao M , Tatematsu S , Hatakeyama S , Sakaki T , Sawada N , Inouye K , et al. C-3 epimerization of vitamin D3 metabolites and further metabolism of C-3 epimers: 25-hydroxyvitamin D3 is metabolized to 3-epi-25-hydroxyvitamin D3 and subsequently metabolized through C-1alpha or C-24 hydroxylation. J Biol Chem. 2004;279(16):15897–907. doi:.https://doi.org/10.1074/jbc.M311473200
62 Chailurkit LO , Aekplakorn W , Srijaruskul K , Ongphiphadhanakul B . Discrepant association of serum C-3 epimer of 25-hydroxyvitamin D versus non-epimeric 25-hydroxyvitamin D with serum lipid levels. Lipids Health Dis. 2016;15(1):157. doi:.https://doi.org/10.1186/s12944-016-0333-1
63 Djekic-Ivankovic M , Lavery P , Agellon S , Weiler HA . The C-3α Epimer of 25-hydroxycholecalciferol from endogenous and exogenous sources supports normal growth and bone mineral density in weanling rats. J Nutr. 2017;147(2):141–51. doi:.https://doi.org/10.3945/jn.116.231753
64VITAL Study homepage: http://www.vitalstudy.org
65FIND Study homepage: https://www.uef.fi/web/nutritionepidemiologists/find-2012-
66ViDA Study homepage: https://www.fmhs.auckland.ac.nz/en/soph/about/our-departments/epidemiology-and-biostatistics/research/vida-study.html
67DOHealth Study homepage: http://do-health.eu/wordpress/
68VIDAL Study homepage: http://vidal.lshtm.ac.uk/home/
No financial support and no other potential conflict of interest relevant to this article was reported.