2222 kidney transplantations at the University Hospital Basel: a story of success and new challenges

DOI: https://doi.org/10.4414/smw.2016.14317

Caroline Wehmeier, Argyrios Georgalis, Patricia Hirt-Minkowski, Patrizia Amico, Gideon Hoenger, Thomas Voegele, Nicole Brun, Andreas Bock, Thomas Wolff, Lorenz Guerke, Alexander Bachmann, Helmut Hopfer, Michael Dickenmann, Jürg Steiger, Stefan Schaub

Summary

QUESTIONS UNDER STUDY: The aim was to investigate changes in kidney allograft donor/recipient characteristics and outcomes at our centre.

METHODS: We retrospectively reviewed all 2222 kidney transplantations performed between 1967 and 2015. The population was divided into four eras on the basis of time intervals corresponding to major changes in immunosuppression and pretransplant risk stratification: (i.) 1967–1980 (n = 231), (ii.) 1981–1997 (n = 883), (iii.) 1998–2004 (n = 437), (iv.) 2005–2015 (n = 671).

RESULTS: In deceased donor transplants, we observed a continuous increase of the median recipient (45, 51, 56 and 58 years; p <0.0001) and donor (26, 36, 49 and 54 years; p <0.0001) age. Notably, the frequency of expanded criteria donors increased dramatically (1%, 10%, 28%, 40%, p <0.0001). Graft survival at 1 year (63%, 82%, 89%, 95%), 5 years (46%, 66%, 72%, 78%) and 10 years (27%, 46%, 48%, 61%) significantly improved (p <0.0001). Patient survival also significantly improved and remained stable at a high level within the last three eras (1 year: 97%; 5 years: 87%; 10 years: 71%). Similar trends along with slightly better outcomes were noticed in living donor transplantations. In the most recent era, graft losses in elderly patients were in 81% of cases related to the patient’s death, whereas in young patients 83% of graft losses were caused by transplant failure (mainly rejection). Allograft function at the time of patients’ deaths would have allowed for calculated 10 additional years with an estimated glomerular filtration rate >15 ml/min.

CONCLUSION: Despite increasing donor and recipient age, outcomes improved, illustrating ongoing progress in kidney transplantation. A major new challenge is to match the functional capacity of the donor organ with the anticipated lifespan of the recipient.

Introduction

Since the first successful kidney transplantation in 1954, major improvements regarding immunosuppressive drugs and assessment of immunological compatibility, as well as detection and treatment of allograft rejection, have been made [1]. Along with general advances in patient care and surgical procedures, an expansion of patients with end-stage renal disease considered to be good candidates for renal transplantation was observed. Unfortunately, the available kidney donor pool, which in the early years of transplantation consisted mainly of young deceased donors, was not able to cover the growing demand for organs. To overcome the problem of donor organ shortage, living kidney donors and elderly deceased donors with comorbidities have increasingly been accepted [2, 3]. These changes over time in donor and recipient acceptance for renal transplantation might have a significant impact on outcomes [4, 5].

Persisting trends in donor/recipient characteristics and evolution of pertinent outcomes such as patient and graft survival can best be assessed by observation of a large unselected cohort followed up over a long period of time. Indeed, this type of analysis offers an opportunity not only to document advances in renal transplantation, but also to pinpoint current challenges.

The aim of this single-centre retrospective study was to investigate the evolution of kidney allograft donor and recipient characteristics, as well as short- and long-term outcomes in 2222 kidney transplantations performed at the University Hospital Basel from 1967 to 2015.

Methods

Study design

This retrospective single-centre study was approved by the ethics committee of north-western and central Switzerland ( http://www.eknz.ch ). From July 1967 to August 2015, a total of 2222 kidney transplantations were performed at the University Hospital Basel. We extracted recipient and donor characteristics as well as clinical endpoints by thoroughly reviewing the charts of all 2222 kidney transplantations and contacting the treating physician if necessary. Follow-up ended on 31 August 2015.

Study population

To allow comparison among groups, the study population was divided into four eras corresponding to the different immunosuppressive regimens and pretransplant risk stratification used:

i.1967–1980 (n = 231) In the first era, azathioprine and steroids ± antithymocyte globulin were the major immunosuppressive agents used.

ii.1981–1997 (n = 883) The second era was strongly dominated by the use of the first calcineurin inhibitor ciclosporin along with azathioprine ± steroids.

iii.1998–2004 (n = 437) The third era was characterised by the use of various immunosuppressive agents. The regimens consisted mainly of a calcineurin inhibitor (ciclosporin or tacrolimus) and/or mammalian target of rapamycin (mTOR) inhibitors (sirolimus or everolimus) along with an antiproliferative agent (azathioprine or mycophenolate) ± steroids.

iv.2005–2015 (n = 671) Since 2005, our immunosuppressive regimen is consistently based on tacrolimus and mycophenolate. In addition, virtual crossmatching as pretransplant risk stratification was routinely used to allow for tailored immunosuppression and shorter cold ischaemia times for deceased donor transplantation [6].

Endpoints

The clinical endpoints investigated were transplant failure, patient death and graft function at the end of the observation period.

Transplant failure was defined as return to renal replacement therapy (haemodialysis or peritoneal dialysis). The cause of transplant failure was assigned according to the clinical course, performed surveillance and indication biopsies as well as the histological work-up following transplant nephrectomy. Causes were grouped as rejection-related, vascular and/or surgical complications, recurrence of glomerulonephritis or not-rejection-related primary nonfunction. In cases with more than one identified cause or other reasons for transplant failure, the results were grouped as “multifactorial/other”. If no or insufficient information on the cause of transplant failure was available, it was classified as “unknown”.

The cause of a patient’s death was determined from the autopsy report or, if not available, based on the clinical information obtained from the treating physician. Causes of death were classified as related to cardiovascular, infectious or malignant diseases, or other reasons. If no or insufficient information on the cause of death was available, it was classified as “unknown”.

Graft function at the end of the observation period was determined as follows: (i.) for patients who died, we extracted the last representative creatinine prior to death (for example, if a patient had stable creatinine of 100 µmol/l, but finally died from septic shock with multi-organ failure, the last representative creatinine was recorded as 100 µmol/l); (ii.) for patients who were alive with a functioning graft at the end of follow-up, the most recent available serum creatinine within 1 year prior to the end of follow-up was recorded.

If we could not retrieve recent data (i.e. last follow-up more than 1 year ago), the patient was assigned as “lost to follow-up”. These patients were included in the analysis, but survival data were censored at the date of last follow-up.

Calculation of remaining years of graft function

The estimated glomerular filtration rate (eGFR) was calculated using the Modification of Diet in Renal Disease (MDRD) equation and corresponds to ml/min/1.73 m2. We considered an eGFR of less than 15 ml/min to be equivalent to transplant failure. For the calculation of the remaining years of graft function, we used the eGFR at the last follow-up before death and assumed three different settings of deteriorating graft function (i.e. loss of 2 ml/min/year, 3 ml/min/year and 5 ml/min/year). For example, if a patient died with an eGFR of 45 ml/min, we calculated the remaining years of graft function as (45 ml/min–15 ml/min) / 2 ml/min/year → 15 years, (45 ml/min–15 ml/min) / 3 ml/min/year → 10 years, and (45 ml/min–15 ml/min) / 5 ml/min/year → 6 years, respectively.

Statistical analysis

Data were analysed using JMP Version 12 software (SAS institute Inc., Cary, NC, USA). Categorical data are presented as counts and/or percentages. Comparison between the eras was performed using Pearson’s chi-squared test. Continuous data are shown as median and interquartile ranges (IQRs) and compared by means of Wilcoxon rank sum tests. Survival curves were generated with the Kaplan-Meier method and groups compared using the log-rank test. We calculated the graft survival from the date of transplantation to the date of transplant failure, patient’s death or the last follow-up. For calculation of the death-censored graft survival, the follow-up period was censored at the date of patient’s death. Patient survival was calculated from the date of transplantation to the date of patient’s death or the end of follow-up. For all statistical tests, a two-tailed p-value <0.05 was considered to indicate statistical significance.

Results

Data accuracy

The full dataset consisted of 2222 kidney transplantations performed at the University Hospital Basel. Complete data of both donor and recipient characteristics were available, except for the donor age, which was lacking in 40/2222 (1.8%) donors (39 deceased and 1 living donor). Only 40/2222 transplantations (1.8%) had to be assigned to “lost to follow-up”. This was mainly related to patients moving away from Switzerland or patients not attending regular medical surveillance for more than 1 year.

Figure 1

Transplantation frequency at the University Hospital Basel from 1967 until 2015, subdivided into deceased and living donor transplantations. For this figure, the complete number of transplantations in 2015 is presented.

Transplantation frequency

Figure 1 shows the evolution of transplantation frequency. It steadily increased over a period of 20 years until 1990, and then remained more or less stable at between 50 and 80 transplantations per year. Overall, 1471 transplantations (66%) were from deceased donors and 751 (34%) from living donors. The first deceased donor transplantation was performed in 1967, the first living donor transplantation followed in 1970. Living donor transplantations accounted for 3% (n = 7), 24% (n = 215), 49% (n = 214) and 47% (n = 315) in the different eras, respectively.

Donor and recipient age

We used density plots to illustrate the evolution of recipient and donor age in deceased and living donor transplantations (fig. 2).

Figure 2

Evolution of age distribution, subdivided into donors and recipients, and grouped according to donor kidney source (living vs deceased). Data are presented as density plots. The darkness of area corresponds to the number of patients.

The most striking changes were noted for deceased donor transplantation. The median age of deceased donors increased significantly from the first to the most recent era (26 [18–41] years, 36 [22–49] years, 49 [29–61] years, 54 [39–65] years; p <0.0001). Notably, so-called “expanded criteria donors” (defined as donors aged ≥60 years) accounted for only 1% of donors in the first era. This frequency increased to 10% and 28% in the two subsequent eras, and reached 40% in the most recent era. Furthermore, in the most recent era, 10% of deceased donor kidneys were from paediatric donors (defined as age ≤5 years). Thus, 50% of the deceased donor organs in the current era were not from “standard criteria donors”. The age of deceased donor kidney recipients also steadily increased from the first to the most recent era (45 [36–52] years, 51 [40–59] years, 56 [45–62] years, 58 [46–65] years; p <0.0001). In the current years, a prominent recipient age density peak is seen between 55 and 70 years.

In living donor transplantations, both recipients and donors were slightly younger compared with deceased donor transplantations. However, as shown in figure 2, the same trends of increasing age were observed. In the most recent era, the median donor age was 54 (47–62) years and the median recipient age was 51 (39–60) years.

Underlying kidney diseases

The distribution of the underlying diseases of the renal allograft recipients is detailed in figure 3. Throughout all eras, glomerulopathies were the leading cause of end-stage renal disease in transplanted patients, accounting for about one third of all cases. The proportion of vascular or diabetic nephropathy increased over time, but still accounted for less than 20% in the most recent era. The frequency of interstitial nephropathies dramatically decreased from 28% in the first era to 5% in the current era. This is related to the complete disappearance of the analgesic nephropathy induced by phenacetin [7].

Figure 3

Evolution of underlying diseases of recipients, subdivided according to the predefined eras.

Living donors’ relationship to recipients

The relationship of the recipients to their living donors is summarised in figure 4. While in the first two eras (until 1997) ≥80% of organs were donated by relatives, this number dropped to 52% in the most recent era. About half of the current donors are either (un)married partners or friends. True undirected altruistic donation was rare (1% in the last two eras).

Figure 4

Relationship between living donors and the recipients of their kidneys, subdivided according to the predefined eras.

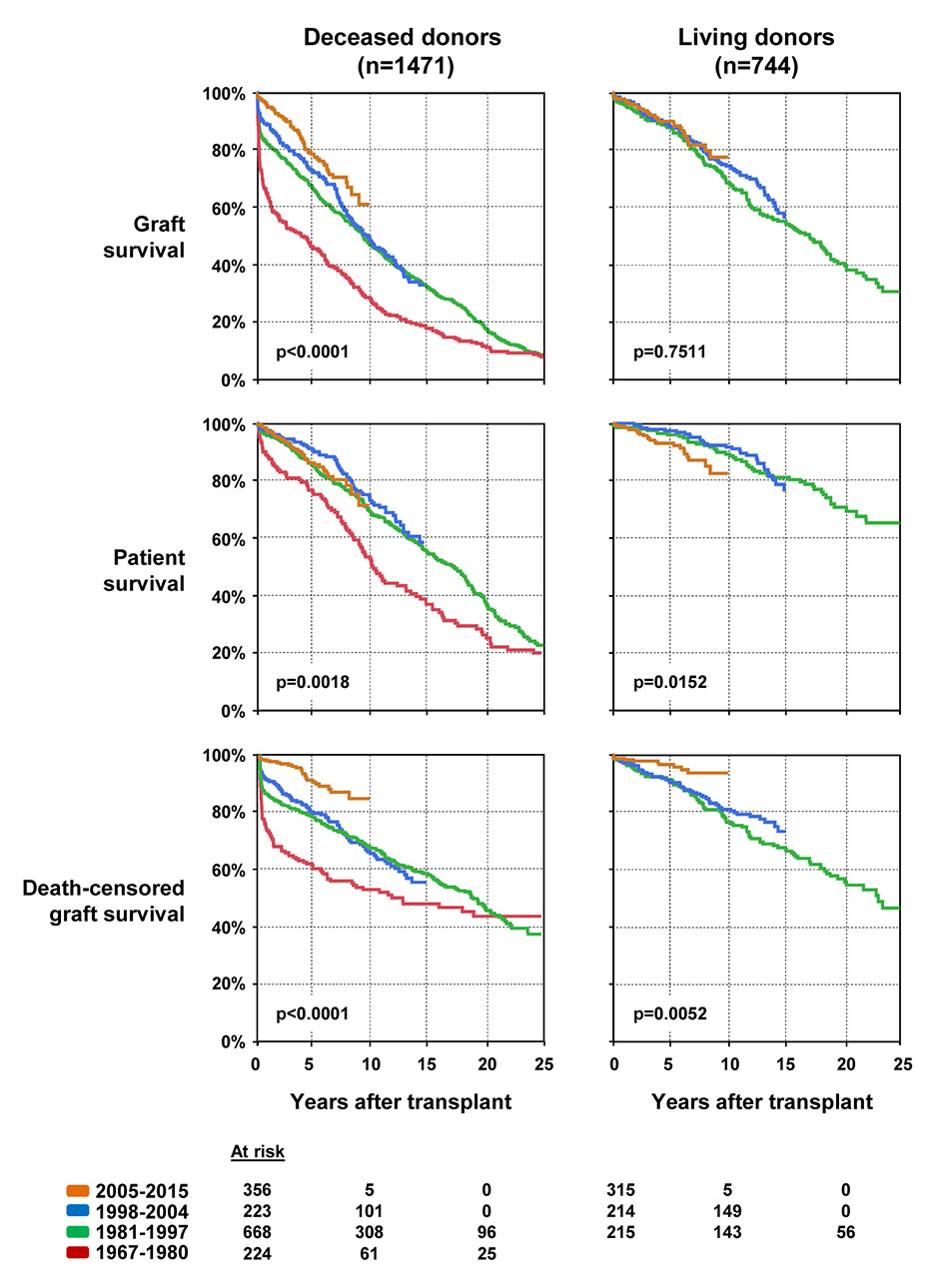
Graft and patient survival

Graft survival, patient survival, and death-censored graft survival for deceased and living donor transplantations are detailed in figure 5. Notably, for the most recent era, 1- and 5-year survival data can be regarded as reliable, while 10-year survival data have to be interpreted with caution because only a few grafts/patients were still at risk (fig. 5).

Figure 5

Evolution of graft survival, patient survival and death-censored graft survival, grouped by the donor source (living vs deceased). Due to the limited number of living donor transplantations in the era from 1967 to 1980 (n = 7), the Kaplan-Meier curve for this era is not presented.

In deceased donor transplantations, 1-year graft survival continuously improved from the first to the most recent era (63%, 82%, 89%, 95%; p <0.0001). This improvement persisted at 5 (46%, 66%, 72%, 78%) and 10 years (27%, 46%, 48%, 61%). One-year patient survival was lowest in the first era and comparable in the subsequent three eras (88%, 96%, 98%, 97%; p = 0.0018). The same observation was made at 5 (75%, 85%, 90%, 86%) and 10 years (50%, 69%, 73%, 71%). One-year death-censored graft survival significantly improved from the first era (72%) to the second and third era (85% and 91%), and dramatically further increased in the most recent era (98%) (p <0.0001). This improvement was similarly conserved at 5 (61%, 77%, 80%, 90%) and 10 years (52%, 68%, 65%, 85%). Remarkably, death-censored graft survival in the most recent era was only slightly lower in deceased donor compared with living donor transplantations (1 year: 98% vs 99%; 5 years: 90% vs 97%; 10 years: 85% vs 94%).

In living donor transplantations, 1-, 5- and 10-year graft survival was not different among the three most recent eras (97–98%; 88–90%; 69–78%; p = 0.75). Although patient survival was high and similar in the second and third eras, it slightly but significantly dropped in the most recent era (1 year: 99% vs 99%; 5 years: 97% vs 93%; 10 years: 91% vs 83%; p = 0.0152). By contrast, death-censored graft survival was significantly higher in the most recent era compared with the two previous eras (1 year: 97% vs 99%; 5 years: 91% vs 97%; 10 years: 79% vs 94%; p = 0.0052).

Allograft function at last follow-up

Nine hundred and forty-seven of 2222 grafts (43%) were functioning at the end of the observation period. At this time, the functioning grafts had a median follow-up of 7 (3–14) years. The median serum creatinine of patients with functioning grafts was 127 (99–168) μmol/l, corresponding to a median eGFR of 49 (36–65) ml/min.

Reasons for graft loss in the latest era

In the most recent era (2005–2015), 104/671 grafts (16%) were lost at the end of follow-up. Sixty-six of 104 graft losses (63%) were a result of the death of the patient with a functioning graft and 38/104 due to transplant failure (37%) (fig. 6A). Cardiovascular diseases (21%), infections (21%) and malignancies (17%) were identified as the major causes of death. The cause of death remained unknown in 27%. In most of these cases, patients died at home without having a prior acute illness. Among the 38 transplant failures, rejection was responsible for the majority of cases (56%). The phenotypes of rejection demonstrated a wide variety ranging from early antibody-mediated rejection to uncontrolled and persisting T cell-mediated rejection and late rejection due to nonadherence. Eight of 38 transplant failures (21%) were classified as “multifactorial/other”. In this category, preexisting donor-related impaired kidney function (n = 4), infection (n = 3), calcineurin inhibitor toxicity (n = 2) and postrenal obstruction (n = 2) were the most frequently detected processes.

In a next step, we investigated the causes of graft loss and transplant failure according to different age groups. These groups were defined as age <40, 40‑59, and ≥60 years at the time of transplantation. We identified a remarkable association between higher age at transplantation and death with functioning graft (fig. 6B). Eighty-one percent of recipients ≥60 years of age died with a functioning graft compared with only 17% of recipients <40 years of age (p <0.0001). Among the 38 transplant failures, 87% (13/15) were rejection-related in recipients <40 years of age, while rejection was causative in only 31% and 40%, respectively, of older patients (p = 0.0065) (fig. 6B). The median age of patients in the group <40 years who experienced transplant failure because of rejection was 32 (24–36) years. Of those patients, 31% (4/13) were younger than 25 years at the time of transplantation. Nonadherence was assumed to be responsible for rejection in 15% (2/13) of patients. One of these two patients belonged to the group of young adults with an age of less than 25 years at transplantation.

To estimate the years of graft function lost by the preceding death of the recipient, we calculated the remaining years of graft function based on the creatinine at the last follow-up before death. Assuming a stable eGFR loss of 2 ml/min, 3 ml/min and 5 ml/min per year, the median years of remaining graft function after death were 14 (9–23), 10 (6–15) and 6 (4–9), respectively (fig. 6C). The median of these anticipated years was slightly higher among living (16 [10–23], 11 [7–15], 6 [4–9]) than among deceased donor transplantations (13 [9–23], 9 [6–15], 5 [4–9]).

Innovations and achievements of kidney transplantation at the University Hospital Basel

Overlooking almost 50 years of kidney transplantation, some pioneering or special transplantations are worth mentioning:

Figure 6

Reasons for graft loss in the era from 2005 to 2015. A. Distribution of reasons for graft loss. B. Causes of graft loss and transplant failure, grouped by recipient age at transplantation. C. Calculation of remaining years of graft function after death, presented as box plots. GN = glomerulonephritis.

‒ Although kidney transplantation in the early years was a risky procedure, the ninth kidney transplantation at our centre, performed in 1968, was very successful and resulted in stable, good graft function until today (current serum creatinine 116 μmol/l). The graft of this patient, which has functioned for almost 47 years, is one of the longest-living allografts worldwide.

‒ Although there had been a general reluctance to perform renal transplantation in patients with diabetes and diabetic nephropathy because of assumed inferior outcomes, patients with diabetic nephropathy had early access to renal transplantation at our centre. In 1968, deceased donor kidney transplantation in a patient with diabetic nephropathy was performed for the first time worldwide. Living donor kidney transplantation in patients with diabetes and diabetic nephropathy started in 1983.

‒ Up to the present, four kidney transplant recipients have received a transplant from their identical twin and therefore do not need any maintenance immunosuppression.

‒ The first cross-over living-donor transplantation (two married couples) in Switzerland, and likely also in Europe, was performed in 1999 [8].

‒ In the early years of living donor transplantation, only related donors were accepted. One of the first unrelated living donor transplantations was performed at our centre in 1991. In addition, the first altruistic living donor transplantation in Switzerland took place in 2003.

‒ While early attempts to transplant patients across the blood group barrier go back to the 1980s, the first systematic ABO-incompatible programme in Switzerland was started at our centre in 2005. Up to the end of our follow-up, 61 patients had received an ABO-incompatible allograft, which accounts for 18% of all living donor transplantations in the corresponding time frame.

Discussion

Achievements and challenges

The most significant demographic change observed was an increase in recipient and donor age. This reflects the expanding eligibility criteria for kidney transplant recipients and the efforts to cover the increasing demand for organs by using older donors. Despite these dramatic changes, graft survival steadily improved for deceased donor transplantation and remained at a high level for living donor transplantation. Furthermore, death-censored graft survival improved significantly in the most recent era for both living and deceased donor transplantations, suggesting better preservation of organ function. We attribute this recent improvement mainly to the introduction of the virtual crossmatch approach for pretransplant risk stratification, which enables individualised immunosuppression and shorter cold ischaemia times.

However, the analysis of the most recent era clearly identified two current challenges: (i.) graft loss due to rejection in young recipients, and (ii.) death with an often well-functioning graft in elderly recipients. As the challenges are age-dependent, we will discuss them separately.

Potential approaches to improve outcomes in young recipients

Among recipients <40 years of age, 83% of graft losses were due to transplant failure, which was attributable to rejection in 87% (fig. 5). Thus, strategies to improve graft survival in young recipients should focus on prevention of graft rejection. This is a complex issue and involves many modifiable factors. First, whenever possible, incompatibilities such as donor-specific human leucocyte antigen (HLA) antibodies or a large number of HLA mismatches should be avoided. Second, the donor organ should ideally provide a good functional capacity to compensate for some future rejection episodes. Third, (sub)clinical rejection episodes should be adequately treated and monitored with follow-up biopsies. Fourth, every effort should be made to enhance drug adherence because late rejection later than the first year after transplantation is a known problem in young recipients [9, 10]. In addition, as transition from paediatric to adult care is regarded as a critical step with respect to adolescents’ adherence, initiation of specialised care pathways might be very helpful [11]. In general, for a young recipient, living or deceased donor transplantation with few incompatibilities and good allograft function is advisable.

Potential approaches to improve outcomes in elderly patients

As detailed in figure 6, 81% of recipients aged ≥60 years died with a functioning graft. Thus, comorbidities of the patient and/or complications of the transplantation procedure rather than the graft itself represent the limiting factors in elderly recipients. Clearly, patient selection for kidney transplantation is a key element to reduce mortality. However, this is a difficult task as reliable parameters that predict inferior survival are lacking. On the other hand, some complications after transplantation such as infections, de novo malignancies, and augmented cardiovascular risk factors are related to immunosuppression and might be modifiable. Indeed, as older age is possibly associated with a lower risk of rejection [12], minimisation of immunosuppression in combination with prevention of immunologically high-risk transplantation could be a way to achieve better survival [13, 14].

Ideally, the functional capacity of the donor kidney matches the life expectancy of the recipient. As shown, 42/52 patients aged ≥60 years (81%) died with a functioning graft, which could have provided additional 5 to 13 years of remaining function for deceased donor organs and 7 to 18 years for living donor organs. For living donor organs, we regard this “loss” of organ function as acceptable because the decision was taken in agreement with the donor/recipient pair. However, loss of many years of remaining graft function from a deceased donor raises challenging questions regarding the efficacy of the organ allocation procedure. Eurotransplant implemented an “Old for Old” programme in 1999 [15]. The United Network for Organ Sharing (UNOS) recently introduced a system that aims to allocate the best 20% of deceased donor kidneys to those 20% of recipients who are considered to have the longest life expectancy [16]. All these attempts try to improve the utilisation of the limited deceased donor organ pool.

Strength and limitations of this study

The study has several strengths. First, the observation period of the study is very long and comprises almost 50 years. Second, none of the 2222 kidney transplantations performed at our centre was excluded from the analysis. Finally, we have a high completeness of data as less than 2% of data were missing and less than 2% of patients were lost to follow-up.

Some limitations apply to our study. First, it is a retrospective analysis. Therefore, we can only describe observations but not causal relationships. Second, we report the results of a single-centre study. Although it is difficult to compare our results directly with published data due to different population characteristics, they are mostly in line with large cohorts such as the Collaborative Transplant Study (CTS), UNOS and Eurotransplant [17, 18]. In particular, graft survival of deceased donor transplantations in the most recent era at our centre is comparable to European data from the CTS study and better than US data from the UNOS registry (1-year: 95% vs 91% vs 91%; 5-year: 78% vs 77% vs 71%; 10-year: 61% vs 56% vs 46%) [17].

Conclusion

Despite a dramatic increase of both donor and recipient age, graft and patient survival steadily improved and/or remained at a high level, illustrating significant advances in renal transplantation from 1967 until 2015. The current challenges are age-dependent and include prevention of rejection-related transplant failure in young recipients. For elderly recipients, death with a functioning graft emerges as a key problem, highlighting the need for adequate recipient selection and reasonable allocation of deceased donor grafts, whose function ideally matches the anticipated life expectancy of the recipient.

Authors’ contribution: CW and AG contributed equally as lead authors.

References

  1 Shrestha B, Haylor J, Raftery A. Historical perspectives in kidney transplantation: an updated review. Prog Transplant. 2015;25(1):64–69, 76.

  2 Audard V, Matignon M, Dahan K, Lang P, Grimbert P. Renal transplantation from extended criteria cadaveric donors: problems and perspectives overview. Transpl Int. 2008;21(1):11–7.

  3 Maggiore U, Oberbauer R, Pascual J, Viklicky O, Dudley C, Budde K, et al. Strategies to increase the donor pool and access to kidney transplantation: an international perspective. Nephrol Dial Transplant. 2015;30(2):217–22.

  4 Saxena R, Yu X, Giraldo M, Arenas J, Vazquez M, Lu CY, et al. Renal transplantation in the elderly. Int Urol Nephrol. 2009;41(1):195–210.

  5 Stallone G, Infante B, Gesualdo L. Older donors and older recipients in kidney transplantation. J Nephrol. 2010;23(Suppl 15):S98–103.

  6 Amico P, Hirt-Minkowski P, Hoenger G, Guerke L, Mihatsch MJ, Steiger J, et al. Risk stratification by the virtual crossmatch: a prospective study in 233 renal transplantations. Transpl Int. 2011;24(6):560–9.

  7 Mihatsch MJ, Khanlari B, Brunner FP. Obituary to analgesic nephropathy – an autopsy study. Nephrol Dial Transplant. 2006;21(11):3139–45.

  8 Thiel G, Vogelbach P, Guerke L, Gasser T, Lehmann K, Voegele T, et al. Crossover renal transplantation: hurdles to be cleared! Transplant Proc. 2001;33(1-2):811–6.

  9 Dobbels F, Ruppar T, De Geest S, Decorte A, Van Damme-Lombaerts R, Fine RN. Adherence to the immunosuppressive regimen in pediatric kidney transplant recipients: a systematic review. Pediatr Transplant. 2010;14(5):603–13.

10 Wiebe C, Gibson IW, Blydt-Hansen TD, Pochinco D, Birk PE, Ho J, et al. Rates and determinants of progression to graft failure in kidney allograft recipients with de novo donor-specific antibody. Am J Transplant. 2015;15(11):2921–30.

11 Harden PN, Walsh G, Bandler N, Bradley S, Lonsdale D, Taylor J, et al. Bridging the gap: an integrated paediatric to adult clinical service for young adults with kidney failure. BMJ. 2012;344:e3718.

12 Scalea JR, Redfield RR, Muth BL, Mohamed M, Wilson NA, Ellis TM, et al. Older kidney transplant patients experience less antibody-mediated rejection: a retrospective study of patients with mild to moderate sensitization. Clin Transplant. 2015;29(12):1090–7.

13 Opelz G, Doehler B. Association between steroid dosage and death with a functioning graft after kidney transplantation. Am J Transplant. 2013;13(8):2096–105.

14 Praehauser C, Hirt-Minkowski P, Saydam Bakar K, Amico P, Vogler E, Schaub S, et al. Risk factors and outcome of expanded-criteria donor kidney transplants in patients with low immunological risk. Swiss Med Wkly. 2013;143:w13883.

15 Smits JM, Persijn GG, van Houwelingen HC, Claas FH, Frei U. Evaluation of the Eurotransplant Senior Program. The results of the first year. Am J Transplant. 2002;2(7):664–70.

16 Israni AK, Salkowski N, Gustafson S, Snyder JJ, Friedewald JJ, Formica RN, et al. New national allocation policy for deceased donor kidneys in the United States and possible effect on patient outcomes. J Am Soc Nephrol. 2014;25(8):1842–8.

17 Gondos A, Doehler B, Brenner H, Opelz G. Kidney graft survival in Europe and the United States: strikingly different long-term outcomes. Transplantation. 2013;95(2):267–74.

18 Samuel U. Annual Report 2014. Eurotransplant International Foundation. Leiden, The Netherlands. https://www.eurotransplant.org/cms/mediaobject.php?file=ar_2014.pdf

Notes

Authors’ contribution: CW and AG contributed equally as lead authors.

This work is dedicated to Prof. Gilbert Thiel, Prof. Felix Brunner, Prof. Florin Enderlin and Prof. Michael Mihatsch, who pioneered kidney transplantation at the University Hospital Basel.

 

Disclosure statement No financial support and no other potential conflict of interest relevant to this article was reported.