DOI: https://doi.org/10.4414/smw.2015.14209
Chronic noncommunicable diseases are reaching epidemic proportions, and they affect people of all ages. In Switzerland, 4.7 to 7% of the population suffers from type 2 diabetes mellitus (T2DM). The occurrence of T2DM is gender-dependent: it is lower in women than in men (3.9% vs 5.5%) [1]. The prevalence increases to 11.0% in subjects aged 65–74 years and to 12.5% in individuals ≥75 years. The prevalence of T2DM, defined as glycated haemoglobin A1c (HbA1c) ≥6.5% or fasting plasma glucose (FPG) ≥7.0 mmol/l, is rising in our country, with an increase of 1.4% over the last 15 years; the increase in the population aged ≥75 years is even higher (3.2%). The SENIORLAB study results reported here are the product of clinical chemical laboratory screening.
Despite the wealth of epidemiological data on manifest diabetic disease, the prevalence data for impaired glucose regulation are limited. Each of the following categories, incidentally termed prediabetes (PreD), represents a status of impaired glucose metabolism associated with an increased risk to develop T2DM:
i. Impaired fasting glucose (IFG) – fasting plasma glucose (FPG) ≥5.6 mmol/l to 6.9 mmol/l (≥100 mg/dl to 125 mg/dl).
ii. Impaired glucose tolerance (IGT) – plasma glucose ≥7.8 mmol/l to 11.9 mmol/l (≥140 mg/dl to 199 mg/dl) measured two hours after a glucose load of 1.75 g/kg (maximum dose of 75 g) in an oral glucose tolerance test (OGTT).
iii. Haemoglobin A1C values between 5.7 and 6.4% (39 to 46 mmol/mol) are also being considered by some to indicate risk for T2DM and have been viewed as PreD in adults.
The approach for diagnosis/prevalence of unequivocal PreD has been the subject of recent updates [2–6].
In 2010, about one-third of adults in the USA (~79 million people) had PreD, a metabolic state of care seekers with FPG or HbA1c levels near the upper cut-off of the reference range, but not high enough to indicate T2DM [2, 3]. Recent studies have shown that only 11.9% of older people (≥65 years) diagnosed with PreD were aware of this problem of glucose regulation [7]; to appreciate the extent of inherent insulin resistance, a homeostasis model assessment that includes the FPG and insulin levels is now used for its estimation (HOMA-IR).
Our study defends laboratory screening for impaired glucose regulation as part of a strategy to avoid impending diabetes, i.e. to reduce the risk of progression to overt disease [8, 9]. According to a recent study, individuals who are diagnosed with PreD from the combination of FPG and HbA1c results had a significantly increased risk of T2DM [10]. The HbA1c reflects the long-term glycaemic exposure and is now a reliable test, except with haemoglobin variants unlikely to be present in the SENIORLAB cohort analysed here [11–13]); in contrast to FPG, quantitation of the HbA1c does not require fasting, with a 2-hour wait in the case of an OGTT, and the wider reference interval of HbA1c values better facilitates assessment of the risk forT2DM than the narrow reference interval of FPG. Such factors as obesity, arterial hypertension and lack of exercise merit special attention. These advantages should lead to increased identification and more timely treatment of people with impaired glucose regulation in the category of PreD or calculated T2DM.
The aim of the present study was to determine the prevalence of impaired glucose regulation, PreD and T2DM by laboratory screening of the FPG and HbA1c in subjectively healthy Swiss senior citizens (SENIORLAB).
This analysis was a cross-sectional cohort study. Consecutive, subjectively healthy senior volunteers of Western European descent and ≥60 years of age were recruited between February 2009 and December 2011 as part of the SENIORLAB cohort (ISRCTN registry no. 53778569), a prospective observational study on the Swiss plateau aimed at creating appropriate reference intervals (RIs) of several analytes in senior citizens (http://www.seniorlabor.ch). Subjectively healthy senior Caucasian volunteers, aged 60 years and older, were recruited. Participants with thyroid disease, known diabetes mellitus, active neoplasia, hospitalisation within the last 30 days, treatment with more than five drugs were excluded from participation. The study participants were contacted through newspaper advertisements, clubs and associations where there was a high probability that the membership would include healthy senior citizens (e.g., mountaineering clubs, sports clubs) and through the personal contacts of those involved in organising the study. A personal history of the subjects was collected, anthropometric measurements (body weight, height, and Body Mass Index [BMI]) were performed, and fasting venous blood was drawn into S-Monovette tubes (Sarstedt, Sevelen, Switzerland). The food intake by participants, according to the regional Swiss standard habit, included an approximate energy consumption per person per day in Switzerland of 2 661 kcal (11,135 kJ), consisting of 14% proteins, 51% carbohydrates and 35% fat [14]. None of the participants was alcohol dependent. The exclusion criteria on first sight included candidates knowingly suffering from overt T2DM and missing FPG or HbA1c values (fig. 1).

Figure 1
Study flow diagram.
In addition to the exclusions for known diabetes mellitus, we had to exclude subjects in whom the relevant laboratory tests were not available. * Four participants fulfilled both exclusion criteria.
The FPG level was measured using the enzymatic hexokinase procedure on the Roche Integra 800 (Rotkreuz, Switzerland). HbA1c was measured by IFCC- (International Federation of Clinical Chemistry) approved high performance liquid chromatography (HPLC D-10™, Biorad, Reinach, CH), which is an NGSP (National Glycohemoglobin Standardization Program [ http://www.ngsp.org ]) testing system with a coefficient of variation (CV) of <3% (CV with units in terms of mmol/mol); it provides results consistent with IFCC-assigned external quality control samples.
Serum insulin was measured using an electrochemiluminescence immunoassay (ECLIA; Cobas 6000, Roche Diagnostics, Baar, Switzerland). Insulin resistance (IR) was estimated by the Homeostasis Model Assessment (HOMA), which is derived from a mathematical assessment of the balance between the hepatic glucose output and insulin secretion from the fasting levels of glucose (HOMA index = serum insulin [µU/ml] x serum glucose [mmol/l] divided by 22.5); the model requires a single measurement of insulin and glucose in the basal state. The HOMA index values and cut-offs were evaluated as ≤2.0 = no insulin resistance, >2.0–<2.5 = indication for insulin resistance, ≥2.5–≤5.0 = insulin resistance likely; values >5.0 are mostly seen in patients with T2DM. The accuracy and precision of our assays were within the requirements set by the Swiss commission for quality assurance in the medical laboratory (QUALAB).
The current ADA (American Diabetes Association) RIs for the diagnosis of PreD (HbA1c 5.7–6.4%, FPG 5.6–6.9 mmol/l) and T2DM (HbA1c ≥6.5%, FPG ≥7.0 mmol/l) were applied [15].
This study was conducted in accordance with the ethical guidelines of the Declaration of Helsinki, and informed consent was obtained from all participants. Ethical approval for the present study was obtained from the local ethics committee (Kantonale Ethikkommission Bern KEK [Ethic Board Canton of Berne, Study Nr 166/08]), Bern, Switzerland. Participants provided written informed consent, the standard form being kept on file for each, and KEK approved of the consent procedure used in this study.
We used descriptive statistical methods for characterisation of the study participants. For proportions, 95% confidence intervals (CIs) were calculated. We investigated agreement between fasting plasma glucose and HbA1c in diagnosing PreD and T2DM by means of Cohen’s weighted kappa statistic for evaluation of interrater agreement. A kappa <0.2 indicates poor, 0.21–0.4 fair, 0.41–0.6 moderate, 0.61–0.8 good, and 0.81–1.0 very good agreement. Proportions were compared by means of chi-squared test. Continuous results among three or more groups were compared by the Kruskal Wallis test followed by post-hoc analysis by the method of Conover. A p-value <0.05 was considered statistically significant. For statistical computation, MedCalc for Windows software, Version 12.5 (Ostend, Belgium) was employed.
| Table 1: Demographics and number of participants in each age group for the homeostasis model assessment [13]. | |
| Characteristic | Data |
| Participants, n (%) | 1362 (100) |
| Age (years) – Mean – Range | 72.1 60–99 |
| Gender – Men, n (%) – Women, n (%) | 604 (45.0) 743 (55.0) |
| BMI (g/m2) – Men, median (IQR) – Women, median (IQR) | 25.5 (23.7–28.1) 24.5 (22.1–26.9) |
| HOMA index – Age group 60–64 years, mean – Age group 65–69 years, mean – Age group 70–74 years, mean – Age group 75–79 years, mean – Age group 80–84 years, mean – Age group ≥85 years, mean | 2.15 2.12 2.30 2.28 2.59 2.27 |
| Age group 60–64 years, n – Men, n (%) – Women, n (%) 65–69 years, n – Men, n (%) – Women, n (%) 70–74 years, n – Men, n (%) – Women, n (%) 75–79 years, n – Men, n (%) – Women, n (%) 80–84 years, n – Men, n (%) – Women, n (%) ≥85 years, n – Men, n (%) – Women, n (%) | 255 124 (48.6) 131 (51.4) 321 145 (45.2) 176 (54.8) 298 136 (45.6) 162(54.4) 224 97 (43.3) 127 (56.7) 169 77 (45.6) 92 (54.4) 95 34 (35.8) 61 (64.2) |
| BMI = body mass index: HOMA = homeostasis model assessment; IQR = interquartile range | |
| Table 2: Crude prevalence of unknown PreD and T2DM as assessed by measurement of FPG and HbA1c. | |||||
| Fasting plasma glucose(female/male) | |||||
| Neg | PreD | T2DM | Total | ||
| HbA1c (female/male) | Neg | 370 (204/166) | 78 (28/50) | 2 (1/1) | 450 |
| PreD | 549 (364/185) | 251 (109/142) | 6 (1/5) | 806 | |
| T2DM | 23 (12/11) | 51 (19/32) | 32 (11/21) | 106 | |
| Total | 942 | 380 | 40 | 1362 | |
| FPG = fasting plasma glucose; HbA1c = glycated haemoglobin; PreD = prediabetes; T2DM = type 2 diabetes mellitus | |||||
Of all participants (n = 1 467), 105 were excluded, for the following reasons: 74 declared manifest T2DM, and 35 had missing HbA1c values (fig. 1). The remaining 1 362 subjects (n = 100%) were included in the study. The demographics and number of participants per age group are shown in table 1. The mean BMI of the participants had values in the upper reference range for both sexes according to the World Health Organization (WHO) definition, and there was no significant difference between genders [16]. Of the 1 362 participants, we could analyse the HOMA index in 1 177 individuals. The HOMA index of the study participants in each age group is shown in table 1.

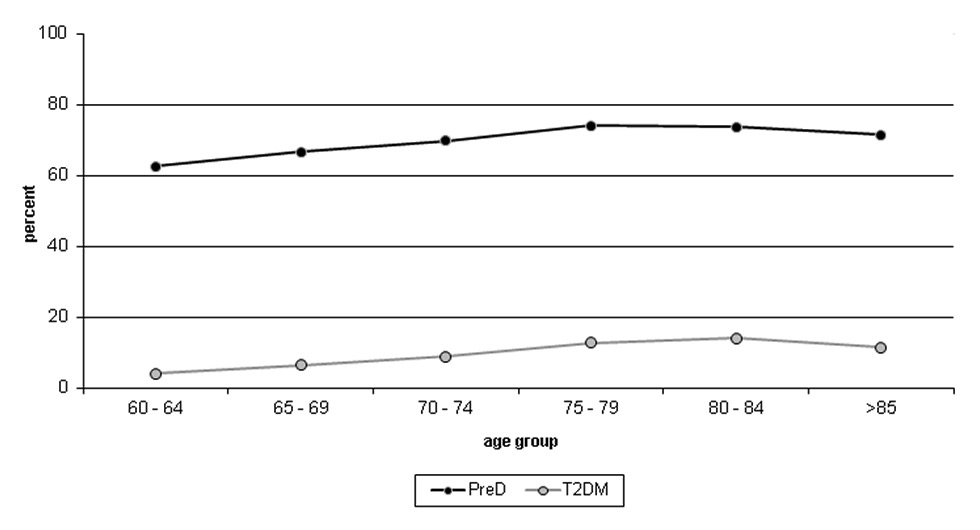
Figure 2
Prevalence of unknown prediabetes (PreD) and type 2 diabetes mellitus (T2DM) by age group. The prevalence of impaired fasting glucose (suppositious PreD) and T2DM continued to increase with age older than 60 years, and there is a curve exhibiting saturation characteristics from age 80 years onwards.

Figure 3
HOMA index according to a diagnosis of T2DM, as obtained from measurement of FPG and HbA1c. Gluc + indicates a FPG ≥7 mmol/l, whereas HbA1c + indicates an HbA1c ≥6.5%. Individuals meeting one or two diagnostic criteria had significantly higher HOMA indices than individuals without indication of T2DM.
FPG = fasting plasma glucose; Gluc = glucose; HbA1c = glycated haemoglobin; HOMA = homeostasis model assessment; T2DM = type 2 diabetes mellitus
Of 450 individuals with a normal HbA1c (33.0%, 95% CI 30.6–35.6), 370 participants (82.2%, 95% CI 78.4–85.5) had a normal FPG, 78 participants (17.3%, 95% CI 14.1–21.1) had a prediabetic FPG, and 2 participants (0.4%, 95% CI 0.1–1.6) had a diabetic status according to the FPG cutoffs.
Of the 806 participants with a prediabetic HbA1c (59.2%, 95% CI 56.5– 61.8), 549 subjects (68.1%, 95% CI 64.8–71.2) had a normal FPG, 251 subjects (31.1%, 95% CI 28.0–34.4) displayed a prediabetic FPG, and 6 subjects (0.7%, 95% CI 0.35–1.6) had a diabetic status according to the FPG.
The crude prevalence of subjects with unknown T2DM was 8.4% (95% CI 7.0–9.9; n = 114), as measured with both tests. Of the 106 participants with diabetic HbA1c (7.8%, 95% CI 6.5–9.3), 23 subjects (21.70%, 95% CI 14.9–30.5) had a normal FPG, 51 subjects (48.1%, 95% CI 38.8–57.5) displayed a prediabetic FPG, and 32 subjects (30.2%, 95% CI 22.3–39.5) had a diabetic status according to the FPG. Screening with HbA1c alone left 8 undetected (7.1%, 95% CI–3.6, 13.2), and screening with FPG alone left 74 undetected (64.9%, 95% CI 55.8–73.1). The prevalence of undetected T2DM, when using only HbA1c or glucose as a screening parameter, was statistically higher in in males (70/613; 11.4%, 95% CI 9.1–14.2) than in females (44/749; 5.7%, 95% CI 4.4–7.8) (p = 0.01).
The crude prevalence of individuals who were unaware of having PreD, which was detected with a combination of the FPG and HbA1c, was 64.5% (95% CI 61.8–66.9; n = 880). Regarding the 878 participants without T2DM displaying PreD diagnosed with either FPG or HbA1c, screening with FPG alone left 549 undetected (62.5%, 95% CI 59.3–65.7) and screening with HbA1c alone left 78 undetected (8.9%, 95% CI 7.2–10.9). The proportion of PreD undetected by either impaired fasting glucose levels or prediabetic HbA1c was significantly (p <0.001) higher in women (392/749; 52.3%, 95% CI 48.8–55.9) than in men (235/613; 38.3%, 95% CI 34.6–42.2).
Together, when looking at agreement between fasting plasma glucose and HbA1c to diagnose PreD and T2DM, the weighted Cohen’s kappa was 0.19, indicating poor agreement between the two methods in diagnosing disorders of glucose metabolism in healthy seniors. With progressing age, the prevalence of PreD and T2DM increased, and the curve exhibited saturation characteristics after 80 years (fig. 2).
In the analysed cohort, 87 individuals (33 women, 54 men) declared being smokers. Of these, 12 showed evidence of T2DM (5 women, 15.2%, 95% CI 6.8–31.1; 7 men, 13.0%, 95% CI 6.5–24.5), whereas 51 showed evidence of PreD (16 women, 48.5%, 95% CI 32.4–64.9; 35 men, 64.8%, 95% CI 51.4–76.2). The respective prevalences in the 1 275 non-smokers (716 women, 559 men) were: 102 (39 women, 5.4%, 95% CI 4.0–7.4; 63 men, 11.3%, 95% CI 8.9–14.2) with T2DM, and 880 (515 women, 58.5%, 95% CI 55.2–61.7; 375 men, 42.6%, 95% CI 39.4–45.9) with PreD. The prevalence of PreD (p = 0.03) and T2DM (p = 0.049) was significantly higher in female smokers, whereas no such differences in prevalence could be observed among males.
There are two ranges for decision limits, a wider one (FPG: 5.6–6.9 mmol/l, HbA1c5.7–6.4%) set by the WHO and a narrower one (FPG 6.1–6.9 mmol/l, HbA1c 6.0–6.4%) suggested by Heianza et al. [17]. With a recent publication from the Japanese health authorities that clearly establishes that narrow decision limits allow for predicting progression to T2DM with a high degree of certainty, we compared our data, which were classified into both the wider ADA and more narrow Japanese intervals. The results are shown in table 3. When the criteria set by Heianza et al. were applied to the group investigated, the number of individuals with PreD dropped substantially compared with the number of individuals diagnosed according to ADA criteria and Heianzas’ recommendation [17].
Our study population had mean HOMA indices for the different age groups of between 2.12 and 2.59 (table 1). Because evidence of an increase in the HOMA-IR in overweight subjects is accruing, we also compared this index with the BMI, but they were not significantly associated (p >0.05). It should be noted that 3.12–8.78% of individuals in all age groups had a HOMA index >5.0. When looking at HOMA-Indices of individuals without any (neither diabetic FPG or HbA1c), with one (either FPG or HbA1c) or with two (FPG and HbA1c) criteria diagnostic for T2DM, significant differences could be seen (p <0.001; fig. 3). Post-hoc analysis revealed that individuals with nondiabetic FPG and diabetic FPG as well as individuals with diabetic FPG and nondiabetic HbA1c had significantly higher HOMAindices than individuals without indication of T2DM. Individuals with diabetic FPG (irrespective of HbA1c status) had a significantly higher HOMA index than individuals with diabetic HbA1c and nondiabetic FPG (<0.05). There was no difference between individuals with diabetic FPG having either diabetic or nondiabetic HbA1c.
| Table 3:Prevalence of impaired glucose metabolism, PreD and T2DM according to the ADA criteria and based on a combination of narrowing cut-offs as published by Heianza et al. [17]. | ||||
| ADA criteria | ADA criteria | Heianza et al. | Heianza et al. | |
| HbA1c 5.7–6.4% | FPG 5.6–6.9 mmol/l | HbA1c 6.0–6.4% | FPG 6.1–6.9 mmol/l | |
| PreD, n, % Men, n (%) Women, n (%) | 806 (59.2) 332 (41.2) 474 (58.8) | 380 (27.9) 224 (58.9) 156 (41.1) | 355 (44.0) 150 (42.2) 205 (57.8) | 118 (30.1) 75 (63.6) 43 (36.4) |
| Combination of HbA1c 5.7–6.4% and FPG 5.6–6.9 mmol/l | Combination of HbA1c 6.0–6.4% and FPG 6.1–6.9 mmol/l | |||
| PreD, n, % Men, n (%) Women, n (%) | 251 (18.4) 142 (56.6) 109 (43.4) | 54 (21.5) 31 (57.41) 23 (42.59) | ||
| ADA = American Diabetes Association; FPG = fasting plasma glucose; HbA1c = glycated haemoglobin; PreD = prediabetes; | ||||
With scarce prevalence data on PreD in Switzerland, we realise that our study is the first to evaluate participants aged 60+ years old, who were recruited among the healthy elderly as part of screening for laboratory evidence pointing to PreD and T2DM [18]. In Europe there are approximately 56 × 106 overt T2DM patients, with an estimated 46.0% of cases that are undiagnosed [19]. The so far estimated 4.0 to 7.0% of the Swiss population suffering from T2DM [1] is reflected in our study, with 74 of 1 467 subjects declaring manifest T2DM (5.0% = excluded participants). The prevalence of cases, unknown prior to study entry, with laboratory-associated T2DM was estimated to be as high as 8.4% (n = 114); for PreD, it was as high as 64.5% (n = 878).
The ADA’s international expert committee recently recommended the adoption of the HbA1c assay for diagnosing T2DM at a cut-off point of 6.5% and PreD at a cut-off of 5.7–6.4% [20]. According to the ADA, the HbA1c more closely reflects the long-term (hyper)glycaemic exposure than the current diagnostic tests that are based on point-in-time measures of the fasting and post-load blood glucose [13].
In the USA population, few subjects with PreD are detected in general healthcare (4.8%); the majority of the cases remain undiagnosed and untreated [21]. In 2005 and 2006, only approximately 7.0% of people in the USA with PreD were aware of their condition, regardless of their educational level, income level, or healthcare access status [7, 22]. An impending hyperglycaemic state is an occult health condition that places patients at a high risk of developing T2DM (5.0–10.0% of people per year) [23]. The diagnostic precision for impending T2DM is substantially improved by use of the combination of FPG and HbA1c for screening. On meta-analysis, many reports on the FPG and HbA1c screening tests struggle to distinguish between laboratory and clinically based diagnosis, and good clinical practice calls for second, confirmatory test efforts, including an OGTT. Interpretation of the results reported here should refrain from overdiagnosis, but our findings cannot be discounted as false positive results ( http://www.choosingwisely.org ).
Laboratory T2DM went undetected less frequently in women than in men, as assessed with the HbA1c and FPG. This may reflect the current Swiss national data showing inequality in the prevalence between men and women, with a prevalence of 13.9–18.2% in men ≥65 years compared with 8.4–8.8% for women ≥65 years [24], in agreement with a 25–41-year age group recently addressed [2]; predominance of smokers in men at least is in line with previous evidence for nicotine-related impaired glucose regulation [25] without, however, reaching statistical power since only 87 participants declared tobacco use.
If evaluated with the HbA1c, women more frequently presented with PreD, whereas screening with the FPG levels had the opposite result. Again, the fact that more men are detected with impaired glucose regulation when tested with the FPG reflects the high prevalence of T2DM in the Swiss male population [1]. In this regard, the gender-neutral BMI of our population did not play a relevant role. One study previously published also reported a gender difference in the FPG test, including the observation of a higher prevalence among men [26]. The diagnostic power of the HbA1c test over the FPG test is the improvement in identifying T2DM, making it possible to take care of high-risk patients, namely subjects who were unaware of their T2DM status, in a timely manner; therefore both tests should be utilised in the search for unknown prediabetic and diabetic glycaemic states. On the other hand, our results are in line with other studies that have concluded that the use of the HbA1c criteria alone leads to a lower PreD prevalence [10, 27]. Unsolicited screening uncovering impaired glucose regulation could be used to motivate those ready to adjust their lifestyle to prevent diabetes, the more so as such health policy brings harm reduction, for both the patients and health costs (Memorandum of Understanding, http://www.news.admin.ch 2015).
Even though differences in dietary composition among races do exist, data from our regional study cohort may support the conclusion of a Japanese study of over 6 000 participants, in which a combination of both narrowing RIs for the HbA1C to 6.0–6.4% and FPGs to 6.1–6.9 mmol/l produced a cumulative risk ratio close to 100% in predicting progression to T2DM [28]. At least, genetic susceptibility loci for T2DM should not differ much across populations of diverse ancestry [29].
Life expectancy, which is increasing at a rate of ~2 months per year in Switzerland, has now reached 84.7 years for women and 80.5 years for men. Accordingly, the increase in laboratory-based and clinically manifest T2DM, in addition to being related to the more frequent opportunistic screening of a steadily growing healthy aged population, is due to the increasing life expectancy. From a pathophysiological point of view, the age-related decline in pancreatic islet function and the increase of insulin resistance has been confirmed in several studies [30–32]. Therefore, we postulate that the reason for the phenomena in our older study population may be the higher mortality rate in individuals with unknown subdiabetic and diabetic hyperglycaemia and associated risks.
A graded dose-response relationship between exercise and the improvement in insulin sensitivity has been proposed [33]. This could explain why endurance training in older people with PreD delays the development of overt T2DM [34]. Several studies emphasize the prevention of T2DM through changes in lifestyle among subjects with impending diabetes [35]. However, regrettably, this does not result in reductions in all-cause cardiovascular mortality [36], the more so as the very old (≥85 years) when frail, will be unable to change lifestyle.
Without taking adequate measures, a gradual progression of the diabetic state will lead to micro- and macrovascular complications; older adults aged ≥75 years are more at risk than those aged 65–75 years [37]. People whose test results indicate they have impending hyperglycaemia should have their FPG checked again in 6-month to 1-year intervals [7]. Basic research approaches likely lead to improved diagnostic precision of impaired glycaemia control [38, 39].
This is the first time that healthy Swiss senior citizens have been strictly screened for impaired glycaemic control, suggestive of PreD and constituting a risk for later development of T2DM if not already present from a laboratory perspective. Our study underlines the need for the early identification of impaired glycaemic control and diabetic hyperglycaemia in older healthy subjects to reduce the incidence of potentially modifiable risks early on (e.g., cardiovascular, overweight, hypertension) aggravating disturbed metabolic status.
The study is cross-sectional, and we cannot show data about progression to clinically relevant conditions in our study population. Furthermore, we analysed only subjectively healthy older people, limiting the external validation to a general population. Indeed, the prevalence of PreD in the general population may be even higher. The single FPG test would have been strengthened with the use of a second examination or glycaemic profile; an OGTT was not considered for ethical concerns. Future studies should define whether early diagnosis of patients with PreD using the new ADA recommendations is cost effective and translates into improved outcomes of seemingly healthy individuals.
PreD (64.5%) and T2DM (8.4%), based on laboratory screening, occur frequently among subjectively healthy Swiss senior citizens, according to the current ADA criteria. This calls for increased vigilance in identifying occult occurrence of metabolic disturbances in older people. The introduction of HbA1c as a screening parameter has increased the prevalence of T2DM by a factor of 1.6 compared with screening with the FPG alone. The high rate of abnormal glyacemic plasma levels, together with sedentary lifestyles in a senior population, make it likely that diabetes will continue to be a major problem in Switzerland if we do not fight against this trend. We need to identify apparently healthy subjects with clinically occult impaired glucose regulation and/or diabetic hyperglycaemia in a timely manner to adopt immediate preventive lifestyle modifications and/or therapeutic interventions.
Acknowledgments:The authors are grateful to Mrs. Elisabeth Lenggenhager, study nurse, for her care with the study subjects, to Mrs. Jeannie Wurz for editing the language in the manuscript and to Mr. Chris Grebhardt for helping in review.
1 Kaiser A, Vollenweider P, Waeber G, Marques-Vidal P. Prevalence, awareness and treatment of type 2 diabetes mellitus in Switzerland: the CoLaus study. Diabet Med. 2012;29(2):190–7.
2 Blum J, Aeschbacher S, Schoen T, Bossard M, Pumpol K, Brasier N, et al. Prevalence of prediabetes according to hemoglobin A1c versus fasting plasma glucose criteria in healthy adults. Acta Diabetol. 2015;52(3):631–2.
3 Salinero-Fort MA, de Burgos-Lunar C, Mostaza Prieto J, Lahoz Rallo C, Abanades-Herranz JC, Gomez-Campelo P, et al. Validating prediction scales of type 2 diabetes mellitus in Spain: the SPREDIA-2 population-based prospective cohort study protocol. BMJ Open. 2015;5(7):e007195.
4 Jornayvaz FR, Philippe J. Le diabète en 2015: en augmentation constante, mais avec une offre thérapeutique qui s’élargit. Rev Med Suisse. 2015;11(477):1219–20.
5 Selvin E, Parrinello CM, Sacks DB, Coresh J. Trends in prevalence and control of diabetes in the United States, 1988-1994 and 1999–2010. Ann Internal Med. 2014;160(8):517–25.
6 Mota M, Popa SG, Mota E, Mitrea A, Catrinoiu D, Cheta DM, et al. Prevalence of diabetes mellitus and prediabetes in the adult Romanian population: PREDATORR study. J Diabetes. 2015 Apr 7. doi: 10.1111/1753-0407.12297. [Epub ahead of print]
7 Centers for Disease Control and Prevention (CDC). Awareness of prediabets – United Status, 2005-2010. MMWR Morb and Mortal Wkly Rep. 2013;62(11):209–12.
8 Diabetes Prevention Program Outcomes Study Research Group, Orchard TJ, Temprosa M, Barrett-Connor E, Fowler SE, Goldberg RB, et al. Long-term effects of the Diabetes Prevention Program interventions on cardiovascular risk factors: a report from the DPP Outcomes Study. Diabet Med. 2013;30(1):46–55.
9 Gillies CL, Abrams KR, Lambert PC, Cooper NJ, Sutton AJ, Hsu RT, et al. Pharmacological and lifestyle interventions to prevent or delay type 2 diabetes in people with impaired glucose tolerance: systematic review and meta-analysis. BMJ. 2007;334(7588):299.
10 Heianza Y, Hara S, Arase Y, Saito K, Fujiwara K, Tsuji H, et al. HbA1c 5.7–6.4% and impaired fasting plasma glucose for diagnosis of prediabetes and risk of progression to diabetes in Japan (TOPICS 3): a longitudinal cohort study. Lancet. 2011;378(9786):147–55.
11 Jaisson S, Leroy N, Guillard E, Desmons A, Gillery P. Analytical performances of the D-100TM hemoglobin testing system (Bio-Rad) for HbA1c assay. Clin Chem Lab Med. 2015 May 23. pii: /j/cclm.ahead-of-print/cclm-2015-0288/cclm-2015-0288.xml. doi: 10.1515/cclm-2015-0288. [Epub ahead of print]
12 Little RR, La’ulu SL, Hanson SE, Rohlfing CL, Schmidt RL. Effects of 49 Different Rare Hb Variants on HbA1c Measurement in Eight Methods. J Diabetes Scie Technol. 2015;9(4):849–56.
13 Nathan DM, Kuenen J, Borg R, Zheng H, Schoenfeld D, Heine RJ, et al. Translating the A1C assay into estimated average glucose values. Diabetes Care. 2008;31(8):1473–8.
14 Federal Office of Public Health (FOPH). The 6th Swiss Nutrition Report. 2012.
15 American Diabetes Association (ADA). Standards of medical care in diabetes – 2014. Diabetes Care. 2014;37(Suppl1):S14–S80.
16 WHO. Physical status: the use and interpretation of anthropometry. Geneva. World Health Organ Tech Rep ser. 2006.
17 Heianza Y, Arase V, Hsieh SD, Saito K, Tsuji H, Kodoma S, et al. Development of a new scoring system for predicting the 5 year incidence of type 2 diabetes in Japan: the Toranomon hospital health management center study 6 (TOPICS 6). Diabetologia. 2012;55:3213–23.
18 McMurdo ME, Roberts H, Parker S, Wyatt N, May H, Goodman C, et al. Improving recruitment of older people to research through good practice. Age Ageing. 2011;40(6):659–65.
19 Zimmet PZ, Magliano DJ, Herman WH, Shaw JE. Diabetes: a 21st century challenge. The Lancet Diabetes Endocrinol. 2014;2(1):56–64.
20 International Expert Committee report on the role of the A1C assay in the diagnosis of diabetes. Diabetes Care. 2009;32:1327–34.
21 Karve A, Hayward RA. Prevalence, diagnosis, and treatment of impaired fasting glucose and impaired glucose tolerance in nondiabetic U.S. adults. Diabetes Care. 2010;33(11):2355–9.
22 Geiss LS, James C, Gregg EW, Albright A, Williamson DF, Cowie CC. Diabetes risk reduction behaviors among U.S. adults with prediabetes. Am J Prev Med. 2010;38(4):403–9.
23 Tabak AG, Herder C, Rathmann W, Brunner EJ, Kivimäki M. Prediabetes: a high-risk state for developing diabetes. Lancet. 2012;379(9733):2279–90.
24 Swiss Federal Statistical Office (SFSO). Diabetes. Neuchâtel 2014.
25 Aeschbacher S, Schoen T, Clair C, Schillinger P, Schonenberger S, Risch M, et al. Association of smoking and nicotine dependence with pre-diabetes in young and healthy adults. Swiss Med Wkly. 2014;144:w14019.
26 Harris MI, Flegal KM, Cowie CC, Eberhardt MS, Goldstein DE, Little RR, et al. Prevalence of diabetes, impaired fasting glucose, and impaired glucose tolerance in U.S. adults. The Third National Health and Nutrition Examination Survey, 1988-1994. Diabetes Care. 1998;21(4):518–24.
27 Mann DM, Carson AP, Shimbo D, Fonseca V, Fox CS, Muntner P. Impact of A1C screening criterion on the diagnosis of pre-diabetes among U.S. adults. Diabetes Care. 2010;33(10):2190–5.
28 Heianza Y, Arase Y, Fujihara K, Tsui H, Saito K, Hsieh SD, et al. Screening for pre-diabetes to predict future diabetes using various cut-off points for HbA1c and impaired fasting glucose: the Toranomon Hospital Health Management Center Study 4 (TOPICS 4). Diabet Med. 2012;29:c279–c85.
29 Replication DIG, Meta-analysis C, Asian Genetic Epidemiology Network Type 2 Diabetes C, South Asian Type 2 Diabetes C, Mexican American Type 2 Diabetes C, Type 2 Diabetes Genetic Exploration by Next-generation sequencing in muylti-Ethnic Samples C, et al. Genome-wide trans-ancestry meta-analysis provides insight into the genetic architecture of type 2 diabetes susceptibility. Nat Geneti. 2014;46(3):234–44.
30 Chang AM, Halter JB. Aging and insulin secretion. Am J Physiol Endocrinol Metab. 2003;284(1):E7–12.
31 Reers C, Erbel S, Esposito I, Schmied B, Buchler MW, Nawroth PP, et al. Impaired islet turnover in human donor pancreata with aging. Eur J Endocrinol. 2009;160(2):185–91.
32 Maedler K, Schumann DM, Schulthess F, Oberholzer J, Bosco D, Berney T, et al. Aging correlates with decreased beta-cell proliferative capacity and enhanced sensitivity to apoptosis: a potential role for Fas and pancreatic duodenal homeobox-1. Diabetes. 2006;55(9):2455–62.
33 Dube JJ, Allison KF, Rousson V, Goodpaster BH, Amati F. Exercise dose and insulin sensitivity: relevance for diabetes prevention. Med Science Sports Exerc. 2012;44(5):793–9.
34 Yoon U, Kwok LL, Magkidis A. Efficacy of lifestyle interventions in reducing diabetes incidence in patients with impaired glucose tolerance: a systematic review of randomized controlled trials. Metabolism. 2013;62(2):303–14.
35 Crandall JP, Knowler WC, Kahn SE, Marrero D, Florez JC, Bray GA, et al. The prevention of type 2 diabetes. Nat Clin Pract Endocrinol Metab. 2008;4(7):382–93.
36 Hopper I, Billah B, Skiba M, Krum H. Prevention of diabetes and reduction in major cardiovascular events in studies of subjects with prediabetes: meta-analysis of randomised controlled clinical trials. Eur J Cardiovasc Prev Rehabil. 2011;18(6):813–23.
37 Li Y, Burrows NR, Gregg EW, Albright A, Geiss LS. Declining rates of hospitalization for nontraumatic lower-extremity amputation in the diabetic population aged 40 years or older: U.S., 1988-2008. Diabetes Care. 2012;35(2):273–7.
38 McGregor RA, Poppitt SD, Cameron-Smith D. Role of microRNAs in the age-related changes in skeletal muscle and diet or exercise interventions to promote healthy aging in humans. Ageing Res Rev. 2014;17:25–33.
39 Zhu Y, Armstrong JL, Tchkonia T, Kirkland JL. Cellular senescence and the senescent secretory phenotype in age-related chronic diseases. Curr Opin Clin Nutr Metab Care. 2014;17(4):324–8.
Disclosure statement: This work is funded by a grant from the INOVA Research Foundation (Forschungs- und Förderstiftung INOVA), Principality of Liechtenstein.