DOI: https://doi.org/10.4414/smw.2015.14155
Abbreviations
2D two dimensional
3D three dimensional
ACA anterior cerebral artery
BA basilar artery
CBF cerebral blood flow
CCD colour-coded duplex
CCA common carotid artery
CI confidence interval
EDV end diastolic velocity
ICA internal carotid artery
MCA middle cerebral artery
PCA posterior cerebral artery
PC-MRA phase contrast magnetic resonance angiography
PSV peak systolic velocity
VA vertebral artery
Assessment of the cerebral blood flow (CBF) is an established strategy in the evaluation of patients with stenosis of brain-supplying arteries for assessment of haemodynamic effects [1] that may impact patient selection for revascularisation therapy [2]. Furthermore, CBF assessment is used to determine the pattern and volume of collateral circulation in a compromised area [3] and for follow-up after revascularisation therapy. To date, noninvasive modalities for assessment of CBF include 133xenon single-photon emission computed tomography (CT) [4], positron-emission tomography [5], CT perfusion [6], magnetic resonance (MR) perfusion [7], phase contrast MR angiography (PC-MRA) [8], and colour-coded duplex (CCD) sonography. CCD sonography is an accurate tool for grading stenoses and for measuring CBF in large cerebral arteries [9] in daily clinical practice because of its wide availability. However, it is highly operator dependent and the assessment of the intracranial arteries may be limited by insufficient insonation windows [10]. Quantitative PC-MRA may evolve as powerful tool. Currently, time-resolved two-dimensional (2D) PC-MRA with velocity encoding in one spatial direction is used in clinical routine for determination of peak velocity, flow direction and flow volume [8]. In vitro experiments of PC-MRA in large and small vessels with laminar flow have demonstrated the inaccuracies of both velocities and flow volumes to be acceptable at approximately 5%–10% [11–13]. A small scale animal study investigated correlations in different grades of stenosis, and found a stronger correlation in vessel segments without stenosis [14]. The aim of our study was to validate flow velocity measurements with 2D PC-MRA in large and small arteries with laminar and turbulent flow by comparison with colour-coded Duplex (CCD) sonography in patients with cerebrovascular disease in daily clinical practice.
We retrospectively examined 24 consecutive patients (9 women; 64.1 ± 11.3 years) from August 2013 to December 2013. All patients underwent PC-MRA and CCD sonography within a median of 5 days (range 0–43) as part of clinical routine workup. Five patients (one woman) were examined twice within a median of 3 days (range 1–6), before and after carotid endarterectomy of a symptomatic high-grade stenosis of the internal carotid artery. All patients provided written informed consent for MR imaging and CCD sonography. The study protocol was approved by the local ethics review committee.

Figure 1
3D time-of-flight magnetic resonance angiography of the intracranial arteries with exactly perpendicular scan planes to vessel axis at target points, the green arrow indicates flow direction (a). Velocities were assessed 12 times each cardiac cycle (b).

Figure 2
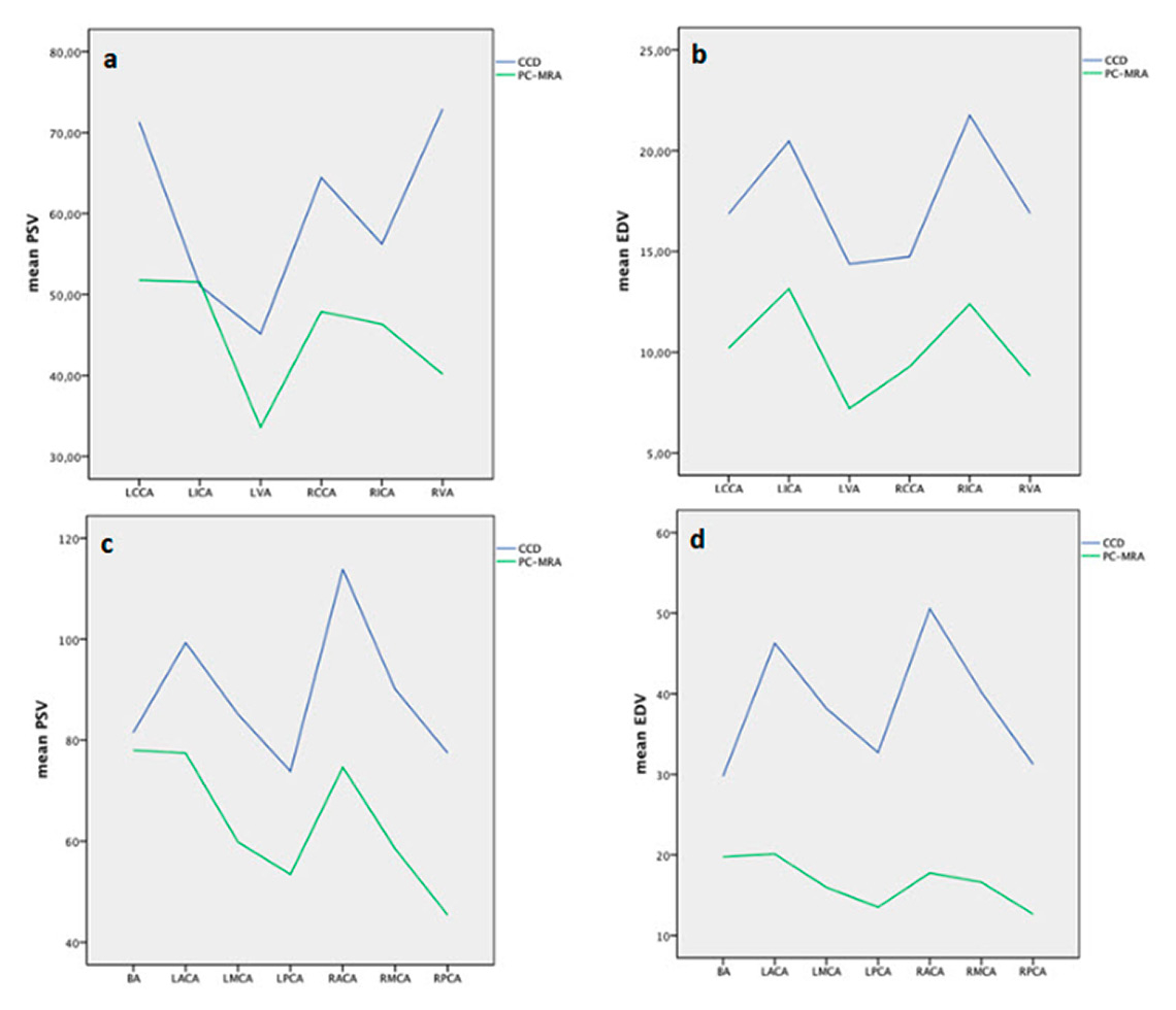
Mean peak systolic and end diastolic velocities of colour-coded duplex (CCD) sonography and phase contrast magnetic resonance angiography (PC-MRA) of extracranial (a,b) and intracranial (c,d) arterial segments.
BA = basilar artery; LACA = left anterior cerebral artery; LCCA = left common carotid artery; LICA = left internal carotid artery; LMCA = left middle cerebral artery; LPCA = left posterior cerebral artery; LVA = left vertebral artery; RACA = right anterior cerebral artery; RCCA = right common carotid artery; RICA = right internal carotid artery; RMCA = right middle cerebral artery; RPCA = right posterior cerebral artery; RVA = right vertebral artery

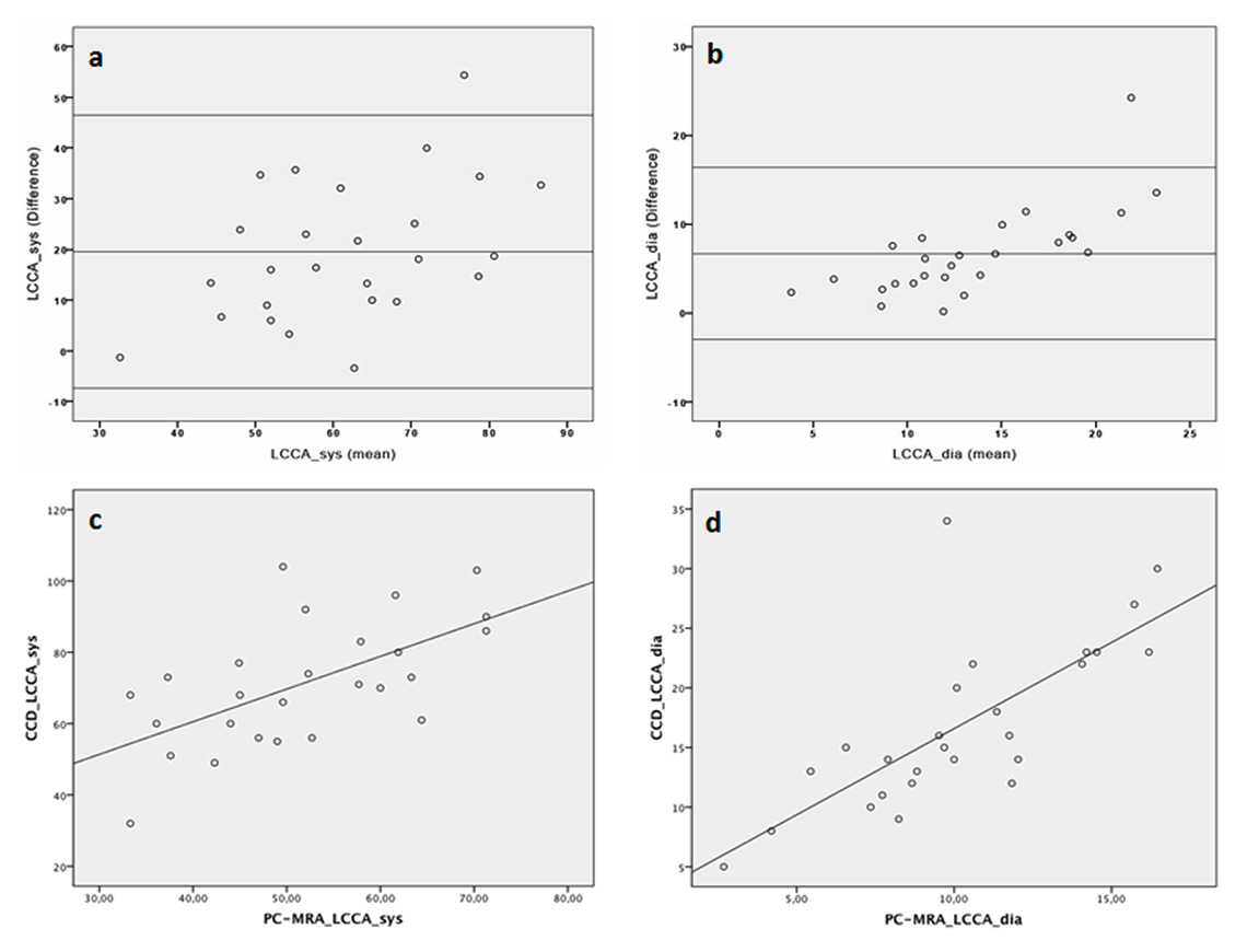
Figure 3
Bland-Altman analysis of colour-coded duplex (CCD) sonography compared with phase contrast magnetic resonance angiography (PC-MRA) of the left common carotid artery (LCCA) showed 25 of 26 points within 1.96 standard deviations for peak systolic velocity (PSV) (a) with a bias of 19.55 and 1.96 SD limits of agreement of –7.44 and 46.54 and for end diastolic velocity (EDV) (b) with a bias of 6.68 and 1.96 SD limits of agreement of –3.00 and 16.36. The Spearman’s r for PSV was 0.598 (c) and for EDV was 0.777 (d), both significant at the 5% level.
All patients underwent CCD sonography with a standard sonography unit (Acuson S2000, Siemens, Erlangen, Germany) with a linear-array transducer (9 MHz) for extracranial examination and a low-frequency phased-array transducer (2 MHz) for transtemporal insonation. Peak systolic velocity (PSV) and end diastolic velocity (EDV) are given in cm/s. The common carotid artery (CCA) was assessed proximal to the bifurcation, the internal carotid artery (ICA) was determined at its origin. The vertebral artery (VA) was insonated at the ostium of the subclavian artery. The intracranial arteries were examined through the temporal window in the axial plane. The M1- and the M2-segment of the middle cerebral artery (MCA), the A1-segment of the anterior cerebral artery (ACA), and the P1- and P2-segment of the posterior cerebral artery (PCA) were routinely evaluated. The basilar artery (BA) was insonated through the foramen magnum. Carotid artery stenoses were categorised into high grade (≥70%) and moderate grade (50%–69%) according to the criteria of the North American Symptomatic Carotid Endarterectomy Trial (NASCET) [15]. Intracranial stenoses were graded by using the peak systolic velocity and dichotomised into: <50% and ≥50% as reported previously [16].
PC-MRA was performed on a 3T MR Scanner (Magnetom Verio, Siemens, Erlangen, Germany) equipped with 12-channel head coil and 4-channel neck coil. Measurements of blood flow using the 2D PC-MRA sequence were calculated using commercial Software (NOVA, VasSOL, Chicago, IL) as previously described [17]. Initially, 3D and 2D time-of-flight MR angiography of the intra- and extracranial cervical arteries were performed and rotating 3D surface-rendered vascular images were reconstructed [18]. Scan planes to vessel axis were assessed at target levels exactly perpendicular to a straight vessel segment. ECG-triggered retrospectively gated fast 2D PC-MRA sequences were acquired with the following parameters: TR 10 ms; TE 4 ms; flip angle 25; number of excitations 4; slice thickness 4 mm with in-slice resolution of 0.5 x 0.9 mm2 (average 4–6 voxels for a 2 mm vessel); FOV 140 x 140; phase resolution 60%; matrix 256 x 256. The average temporal resolution for the collective was 67.77 ± 9.23 msec (mean ± SD). Velocity encoding was automatically adjusted by the software if necessary. The total scan time took 30–45 minutes. Velocity parameters were extracted from report files (fig. 1) and compared with the results from CCD. Six extracranial vessel segments (CCA, ICA, and VA bilaterally) and seven intracranial vessel segments (MCA, ACA, PCA bilaterally, and BA) were assessed.
Commercially available statistical software (IBM SPSS Version 20, Inc., Chicago, IL) was used. Paired sample t-tests were performed to determine the statistical significance of differences between CCD and PC-MRA. Correlation of the velocity measurements was evaluated with the Spearman correlation test. Agreement between both modalities was assessed by calculating the average value and the mean difference + 1.96 standard deviation (SD) limits of the differences between both techniques according to Bland and Altman [19]. Three continuous lines represent the bias estimated by the mean and the two SD of calculated velocity differences from all investigated vessel segments for PSV and EDV. The level of statistical significance was set at p <0.05.
Vessel segments (n = 168) not evaluated with both modalities were excluded from analysis. We examined a total of 209 vessel segments, 110 extracranial (52.6%) and 99 intracranial arterial segments (47.4%), thereby assessing 19 (9.1%) stenoses in 17 patients (table 1). The velocity measurements, the differences between PC-MRA and CCD, and their statistical significance are given in table 2 and displayed in figure 2. Generally, flow velocities assessed with CCD were higher compared with PC-MRA, 42% in intracranial and 32% extracranial arteries. Correlations of PSV and EDV as well as Bland-Altman plots comparing velocity measurements of PC-MRA with CCD extra- and intracranial are shown in figures 3 and 4. Overall, correlations were moderate in the intra- and extracranial arteries with a tendency being stronger intracranially. Flow velocities correlated significantly in 6 extracranial and 5 intracranial arterial segments (table 3). Nonsignificant correlations were found for PCA (PSV and EDV) and for BA (EDV). Agreements for PSV and EDV were high intra- and extracranially, with the vast majority of points lying within 1.96 SD (figures 3 and 4). Reversal of flow direction in the ACA (n = 8) in the case of ipsilateral high-grade stenosis or occlusion of the ICA was detected consistently with both methods.

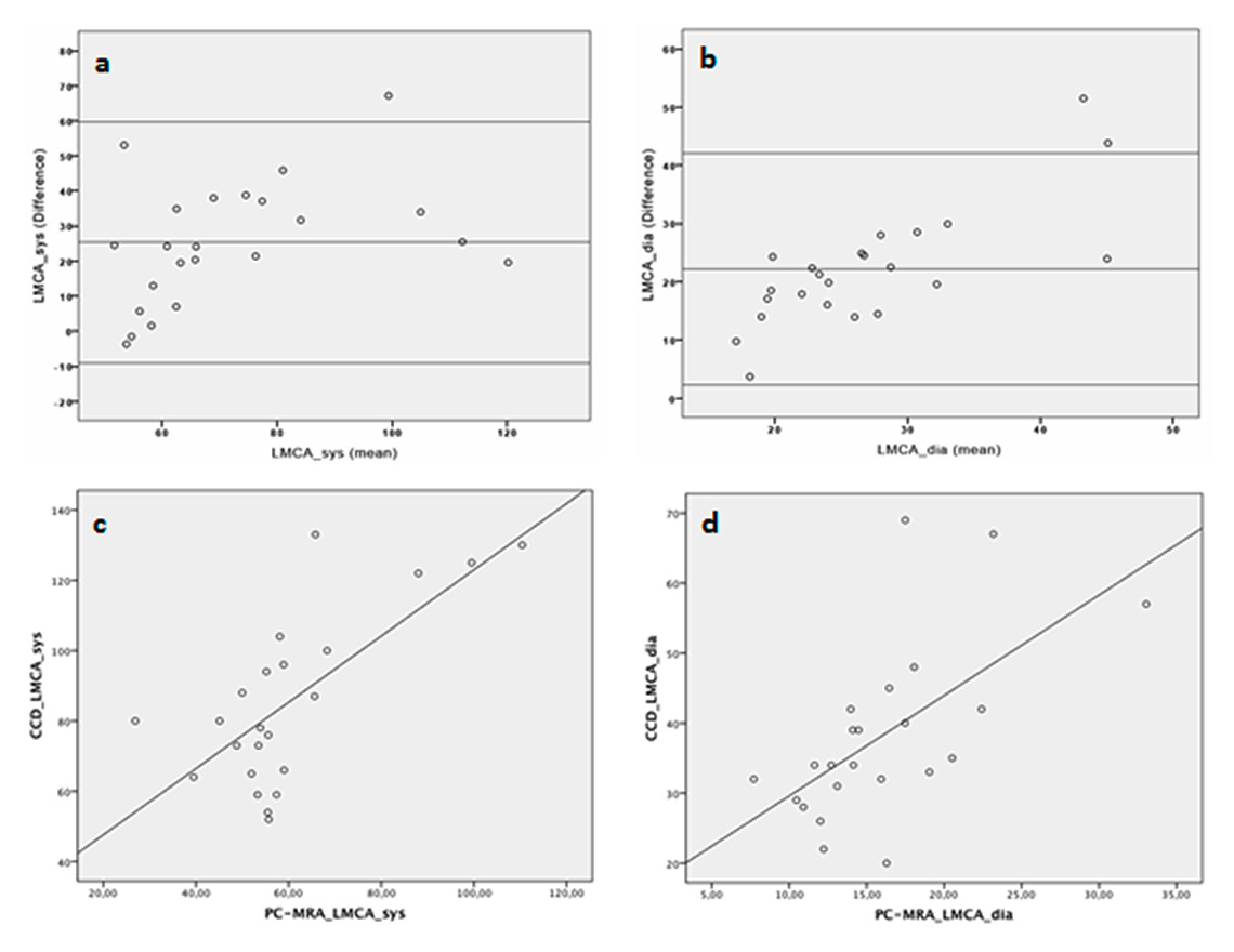
Figure 4
Bland-Altman analysis of colour-coded duplex sonography (CCD) compared with phase contrast magnetic resonance angiography (PC-MRA) of the left middle cerebral artery (MCA) showed 22 of 23 points within 1.96 for peak systolic velocity (PSV) (a) with a bias of 19.55 and 1.96 standard deviations limits of agreement of –7.44 and 46.54 and 21 of 23 points within 1.96 SD for end diastolic velocity EDV (b) with a bias of 6.68 and 1.96 SD limits of agreement of –3.00 and 16.36. The Spearman’s r for PSV was 0.555 (c) and for EDV was 0.673 (d), both significant at the 5% level.

Figure 5
Illustrative case of a 61 year male patient with ischaemic stroke in the left MCA territory due to high grade stenosis of the left ICA with consecutive reversal of flow in the left ACA.
BA = basilar artery; LACA = left anterior cerebral artery; LCCA = left common carotid artery; LICA = left internal carotid artery; LMCA = left middle cerebral artery; LPCA = left posterior cerebral artery; LVA = left vertebral artery; RACA = right anterior cerebral artery; RCCA = right common carotid artery; RICA = right internal carotid artery; RMCA = right middle cerebral artery; RPCA = right posterior cerebral artery; RVA = right vertebral artery
Nineteen (9.1%) stenoses were identified in 17 patients, mostly (n = 16) extracranial (table 1). Ten stenoses were high-grade (ICA), eight moderate (ICA, VA, PCA and MCA), and one low grade (VA). An illustrative case with high-grade stenosis of the left ICA and consecutive reversal flow in the left ACA is shown in figure 5. In the case of stenosis of the ICA (n = 14), flow velocities (PSV and EDV) obtained by CCD were higher than with PC-MRA, albeit this was not significant. The correlations were moderate, with Spearman’s rho of 0.451 for PSV and 0.466 for EDV, both being not significant.
| Table 1: Summary of the demographic and clinical data. | |
| Total no. of patients examined: total / women / men | 24 / 9 / 15 |
| No. of patients with atrial fibrillation / no. of examinations | 2 / 3 |
| No. of patients with vessel stenosis: total / women / men | 17 / 5 / 12 |
| Total vessel segments / extracranial / intracranial | 209 / 110 / 99 |
| Stenotic vessel segments: total / extracranial / intracranial | 19 / 16 / 3 |
| Vessel segments with high-grade / moderate / mild stenosis | 10 / 8 / 1 |
| Table 2: Mean values and velocity differences (Δ) for peak systolic velocities (PSV) and end diastolic velocities (EDV) acquired with color coded duplex (CCD) sonography and phase contrast magnetic resonance angiography (PC-MRA). | |||||||||
| PSV (cm/s) | EDV (cm/s) | ||||||||
| Number of velocity samples | CCD mean (SD) | PC-MRA mean (SD) | Mean Δ velocity (SD) | Lower; upper limits of 95% CI | CCD mean (SD) | PC-MRA mean (±SD) | Mean Δ velocity (±SD) | Lower; upper limits of 95% CI | |
| CCA left | 26 | 71.3 (17.4) | 51.8 (11.6) | 19.6 (13.8) | 14.0; 25.1* | 16.9 (7.0) | 10.2 (3.6) | 6.7 (4.9) | 4.6; 8.7* |
| CCA right | 23 | 64.4 (19.5) | 47.9 (17.9) | 16.6 (17.5) | 9.0; 24.1* | 14.7 (7.4) | 9.3 (4.1) | 5.5 (4.7) | 3.4; 7.5* |
| ICA left | 25 | 51.1 (18.3) | 51.5 (27.5) | –0.4 (22.8) | –9.8; 9.0 | 20.5 (7.3) | 13.2 (5.2) | 7.3 (6.9) | 4.5; 10.2* |
| ICA right | 17 | 56.2 (14.5) | 46.3 (14.2) | 9.9 (12.5) | 3.5; 16.3* | 21.8 (6.6) | 12.4 (4.7) | 9.4 (6.3) | 6.1; 12.6* |
| VA left | 8 | 45.1 (10.9) | 33.6 (9.4) | 11.5 (6.2) | 6.3; 16.7* | 14.4 (5.4) | 7.2 (2.8) | 7.2 (3.0) | 4.6; 9.7* |
| VA right | 11 | 72.9 (30.8) | 40.2 (16.4) | 32.7 (26.0) | 15.3; 50.2* | 15.4 (9.1) | 8.3 (3.7) | 7.0 (7.3) | 2.1; 11.9* |
| MCA left | 23 | 85.1 (24.5) | 59.8 (18.2) | 25.3 (17.5) | 17.7; 32.9* | 38.2 (12.5) | 16.0 (5.3) | 22.2 (10.2) | 17.8; 26.6* |
| MCA right | 22 | 90.1 (36.0) | 58.5 (19.3) | 31.6 (28.8) | 18.8; 44.4* | 40.2 (18.4) | 16.6 (4.9) | 23.6 (16.4) | 16.3; 30.9* |
| ACA left | 18 | 99.3 (39.8) | 77.4 (41.6) | 21.9 (19.6) | 12.1; 31.7* | 46.3 (20.5) | 20.1 (9.6) | 26.2 (13.3) | 19.6; 32.8* |
| ACA right | 13 | 113.9 (43.7) | 74.7 (30.0) | 39.2 (42.8) | 13.3; 65.1* | 50.5 (20.7) | 17.8 (7.6) | 32.8 (18.9) | 21.3; 44.2* |
| PCA left | 7 | 73.9 (26.8) | 53.4 (16.8) | 20.4 (19.4) | 2.5; 38.3* | 32.7 (13.4) | 13.5 (6.0) | 19.2 (10.1) | 9.9; 28.5* |
| PCA right | 8 | 77.5 (44.7) | 45.4 (19.8) | 32.1 (34.7) | 3.1; 61.1 | 31.3 (15.7) | 12.7 (4.9) | 18.6 (14.5) | 6.5; 30.7* |
| BA | 8 | 81.5 (29.3) | 78.0 (32.5) | 3.5 (18.5) | –11.9; 18.9 | 29.8 (8.3) | 19.8 (7.2) | 10.0 (5.7) | 5.2; 14.7* |
| * Significant difference at 5% level ACA = anterior cerebral artery; BA = basilar artery; CCA = common carotid artery; CI = confidence interval; ICA = internal carotid artery; PCA = posterior cerebral artery; SD = standard deviation; VA = vertebral artery | |||||||||
| Table 3: Correlation analysis of measured velocities between colour-coded duplex sonography (CCD) and phase contrast magnetic resonance angiography (PC-MRA). | ||||
| PSV | EDV | |||
| Spearman’s rho | Lower; upper limits of 95% CI | Spearman’s rho | Lower; upper limits of 95% CI | |
| CCA left | 0.598 | 0.305; 0.791* | 0.777 | 0.489; 0.930* |
| CCA right | 0.474 | 0.004; 0.816* | 0.784 | 0.543; 0.913* |
| ICA left | 0.681 | 0.301; 0.909* | 0.486 | 0.016; 0.874* |
| ICA right | 0.572 | 0.034; 0.897* | 0.585 | 0.132; 0.855* |
| VA left | 0.898 | 0.329;1.000* | 0.934 | 0.615; 1.000* |
| VA right | 0.645 | 0.035; 0.972* | 0.756 | 0.155; 0.962* |
| MCA left | 0.555 | 0.077; 0.806* | 0.673 | 0.380; 0.838* |
| MCA right | 0.560 | 0.090; 0.865* | 0.552 | 0.066; 0.909* |
| ACA left | 0.940 | 0.801; 0.987* | 0.912 | 0.740; 0.975* |
| ACA right | 0.850 | 0.535; 0.983* | 0.852 | 0.510; 0.978* |
| PCA left | 0.714 | –0.059; 1.000 | 0.750 | –0.059; 1.000 |
| PCA right | 0.643 | –0.145; 1.000 | 0.479 | –0.559; 0.975 |
| BA | 0.976 | 0.730; 1000* | 0.619 | –0.307; 1.000 |
| * Significant at the 0.05 level (two-tailed test) ACA = anterior cerebral artery; BA = basilar artery; CCA = common carotid artery; CI = confidence interval; EDV = end diastolic velocity; ICA = internal carotid artery; PCA = posterior cerebral artery; PSV = peak systolic velocity; VA = vertebral artery | ||||
Our study addressed the feasibility and potential limitations of 2D phase-contrast MR-angiography and accuracy as a workup tool for evaluation of patients with cerebrovascular diseases in daily routine. In the absence of an invasive reference standard to determine the true blood flow velocities, we compared with colour-coded Duplex sonography.
Velocities assessed with PC-MRA correlated significantly with CCD in our study, as reported in the literature [20, 21]. We found moderate correlations in all six extracranial arteries and strong to moderate correlations in five out of seven intracranial arteries (Spearman’s rho ranging from 0.98 to 0.56). PC-MRA is advantageous in not being restricted by insonation angles and anatomic windows compared with intracranial sonography techniques [10]. These technical aspects may underlie the nonsignificant correlations in the posterior cerebral arteries and basilar artery (EDV), which may lead to an underestimation of true flow velocities with transcranial sonography [10, 25]. Overall, the velocities in the intra- and extracranial arteries obtained with PC-MRA were lower, consistent with previous reports [20, 21]. The explanations for this observation include the fact that PC-MRA is an ECG-triggered retrospectively gated technique inherent of shifting peak velocity position resulting in averaging velocity over multiple heartbeats. Furthermore, disturbed flow and resolution effects limit the detection of peak velocities. Additionally, the temporal resolution of PC-MRA is substantially lower than that of CCD resulting in lower peak velocities obtained with PC-MRA [21]. In our study there was a trend for overestimation of the flow velocities in the ICA by PC-MRA, which has been reported earlier [22]. Probably, spatiotemporal averaging effects contribute to vessel size-dependent underestimation of velocities by PC-MRA in smaller, and overestimation in larger arteries.
On the other hand, it has been reported that CCD tends to overestimate peak velocities by as much as 25% [23]. Additionally, interobserver differences have been reported to be up to 15.4% for predicting stenosis of the carotid arteries [24]. Furthermore, the decreased spatial resolution and frame rate, as well as the high angle dependency are further limitations of CCD sonography.
Taking the stenotic segments of the ICA (n = 14) separately into account, the correlations were moderate (PSV and EDV), and not significant. This is in accordance with the finding in an animal model, where stenosis was produced with a vascular tourniquet [14]. In the case of stenosis, dramatic change of flow velocity and turbulent flow pattern in the vicinity of bifurcations decreases the accuracy of PC-MRA and CCD sonography poststenotically [26]. Difficulties in obtaining valid measurements in the presence of stenosis reflect effects of reduced flow volume and turbulent flow [27]. Turbulent jets result in signal intensity loss causing errors in velocity quantification due to intravoxel dephasing [28]. In CCD, disturbed flow adds additional spectral broadening affecting velocity measurements, which is more pronounced in smaller sized arteries [29, 30]. This could explain the weaker correlation in the smaller calibre MCA in comparison to the larger sized BA.
Limitations could result from the time interval between PC-MRA and CCD sonography, which ranged up to more than 1 month in a single patient. However, major intraindividual haemodynamic variations may not significantly differ under similar examination conditions (lying position, no physical exertion) as cerebral autoregulatory mechanisms keep intracranial blood flow velocities constant as long as the arterial PaCO2 is kept constant. The number of subjects with stenosis was small, especially for the intracranial segments.
Significant strong to mediate correlation and high agreement between PC-MRA and CCD sonography emphasise that PC-MRA is a standardised, robust noninvasive tool in the work-up of cerebrovascular disease. This technique is suitable for overcoming some weaknesses of CCD, e.g. operator dependency and the insufficient insonation windows for the intracranial arteries.
1 Wada T, Kodaira K, Fujishiro K, Okamura T. Correlation of common carotid flow volume measured by ultrasonic quantitative flowmeter with pathological findings. Stroke. 1991;22(3):319–23.
2 Amin-Hanjani S, Rose-Finnell L, Richardson D, Ruland S, Pandey D, Thulborn KR, et al. Vertebrobasilar Flow Evaluation and Risk of Transient Ischaemic Attack and Stroke study (VERiTAS): rationale and design. Int J Stroke. 2010;5(6):499–505.
3 Levine RL, Turski PA, Turnipseed WD, Dulli DA, Grist TM. Vasodilatory responses and magnetic resonance angiography. Extracranial and intracranial intravascular flow data. J Neuroimaging. 1997;7(3):152–8.
4 Ogasawara K, Ogawa A, Yoshimoto T. Cerebrovascular reactivity to acetazolamide and outcome in patients with symptomatic internal carotid or middle cerebral artery occlusion: a xenon-133 single-photon emission computed tomography study. Stroke. 2002;33(7):1857–62.
5 Pantano P, Baron JC, Lebrun-Grandie P, Duquesnoy N, Bousser MG, Comar D. Regional cerebral blood flow and oxygen consumption in human aging. Stroke. 1984;15(4):635–41.
6 Jungreis CA, Yonas H, Firlik AD, Wechsler LR. Advanced CT imaging (functional CT). Neuroimaging Clin N Am. 1999;9(3):455–64.
7 Butcher K, Parsons M, Allport L, Lee SB, Barber PA, Tress B, et al. Rapid assessment of perfusion-diffusion mismatch. Stroke. 2008;39(1):75–81.
8 Zhao M, Amin-Hanjani S, Ruland S, Curcio AP, Ostergren L, Charbel FT. Regional cerebral blood flow using quantitative MR angiography. AJNR Am J Neuroradiol. 2007;28(8):1470–3.
9 Aaslid R, Markwalder TM, Nornes H. Noninvasive transcranial Doppler ultrasound recording of flow velocity in basal cerebral arteries. J Neurosurg. 1982;57(6):769–74.
10 Baumgartner RW, Mathis J, Sturzenegger M, Mattle HP. A validation study on the intraobserver reproducibility of transcranial color-coded duplex sonography velocity measurements. Ultrasound Med Biol. 1994;20(3):233–7.
11 Zananiri F V, Jackson PC, Goddard PR, Davies ER, Wells PN. An evaluation of the accuracy of flow measurements using magnetic resonance imaging (MRI). J Med Eng Technol. 1991;15(4-5):170–6.
12 Ley S, Unterhinninghofen R, Ley-Zaporozhan J, Schenk JP, Kauczor HU, Szabo G. Validation of magnetic resonance phase-contrast flow measurements in the main pulmonary artery and aorta using perivascular ultrasound in a large animal model. Invest Radiol. 2008;43(6):421–6.
13 Machida H, Komori Y, Ueno E, Shen Y, Hirata M, Kojima S, et al. Spatial factors for quantifying constant flow velocity in a small tube phantom: comparison of phase-contrast cine-magnetic resonance imaging and the intraluminal Doppler guidewire method. Jpn J Radiol. 2009;27(9):335–41.
14 Calderon-Arnulphi M, Amin-Hanjani S, Alaraj A, Zhao M, Du X, Ruland S, et al. In vivo evaluation of quantitative MR angiography in a canine carotid artery stenosis model. AJNR Am J Neuroradiol. 2011;32(8):1552–9.
15 BrayJM, Galland F, Lhoste P, Nicolau S, Dubas F, Emile J, et al. Colour Doppler and duplex sonography of the carotid artery bifurcations. Prospective, double-blind study. Neuroradiology 1995;37(3):219-24
16 Baumgartner RW, Mattle HP, Schroth G. Assessment of >/=50% and <50% intracranial stenoses by transcranial color-coded duplex sonography. Stroke. 1999;30(1):87–92.
17 Amin-Hanjani S, Du X, Zhao M, Walsh K, Malisch TW, Charbel FT. Use of quantitative magnetic resonance angiography to stratify stroke risk in symptomatic vertebrobasilar disease. Stroke. 2005;36(6):1140–5.
18 Zhao M, Charbel FT, Alperin N, Loth F, Clark ME. Improved phase-contrast flow quantification by three-dimensional vessel localization. Magn Reson Imaging. 2000;18(6):697–706.
19 Bland JM, Altman DG. Statistical methods for assessing agreement between two methods of clinical measurement. Lancet. 1986;1(8476):307–10.
20 Oktar SO, Yucel C, Karaosmanoglu D, Akkan K, Ozdemir H, Tokgoz N, et al. Blood-flow volume quantification in internal carotid and vertebral arteries: comparison of 3 different ultrasound techniques with phase-contrast MR imaging. AJNR Am J Neuroradiol. 2006;27(2):363–9.
21 Stadlbauer A, van der Riet W, Globits S, Crelier G, Salomonowitz E. Accelerated phase-contrast MR imaging: comparison of k-t BLAST with SENSE and Doppler ultrasound for velocity and flow measurements in the aorta. J Magn Reson Imaging. 2009;29(4):817–24.
22 Meckel S, Leitner L, Bonati LH, Santini F, Schubert T, Stalder AF, et al. Intracranial artery velocity measurement using 4D PC MRI at 3 T: comparison with transcranial ultrasound techniques and 2D PC MRI. Neuroradiology. 2013;55(4):389–98.
23 Jiang J, Strother C, Johnson K, Baker S, Consigny D, Wieben O, et al. Comparison of blood velocity measurements between ultrasound Doppler and accelerated phase-contrast MR angiography in small arteries with disturbed flow. Phys Med Biol. 2011;56(6):1755–73.
24 Ranke C, Creutzig A, Becker H, Trappe HJ. Standardization of carotid ultrasound: a hemodynamic method to normalize for interindividual and interequipment variability. Stroke. 1999;30(2):402–6.
25 Schoning M, Walter J. Evaluation of the vertebrobasilar-posterior system by transcranial color duplex sonography in adults. Stroke. 1992;23(9):1280–6.
26 Obata T, Shishido F, Koga M, Ikehira H, Kimura F, Yoshida K. Three-vessel study of cerebral blood flow using phase-contrast magnetic resonance imaging: effect of physical characteristics. Magn Reson Imaging. 1996;14(10):1143–8.
27 O’Brien KR, Cowan BR, Jain M, Stewart RA, Kerr AJ, Young AA. MRI phase contrast velocity and flow errors in turbulent stenotic jets. J Magn Reson Imaging. 2008;28(1):210–8.
28 Eichenberger AC, Jenni R, von Schulthess GK. Aortic valve pressure gradients in patients with aortic valve stenosis: quantification with velocity-encoded cine MR imaging. AJR Am J Roentgenol. 1993;160(5):971–7.
29 Douville Y, Johnston KW, Kassam M. Determination of the hemodynamic factors which influence the carotid Doppler spectral broadening. Ultrasound Med Biol. 1985;11(3):417–23.
30 Enzmann DR, Ross MR, Marks MP, Pelc NJ. Blood flow in major cerebral arteries measured by phase-contrast cine MR. AJNR Am J Neuroradiol. 1994;15(1):123–9.
Disclosure: FKW is partially funded by a grant from Swiss National Fonds (SNF Project - SPUM 33CM30-124114). No other potential conflict of interest relevant to this article was reported.