DOI: https://doi.org/10.4414/smw.2015.14134
Intra-articular injection (IAI) of steroids at the knee joint is a popular procedure [1]. It is a proven modality for pain relief in patients with osteoarthritis of the knee joint. Although it is given locally, a significant portion of the active compound might be absorbed into the circulation [2]. A wide spectrum of systemic effects including effects on the hypothalamic-pituitary-adrenal (HPA) axis, have been reported in the literature [3–8]. Suppression of this axis with secondary adrenal insufficiency (SAI) is a real consideration whenever an individual is exposed to depot steroid compounds including IAI of corticosteroids. This suppression is dependent on many factors, including the amount of the injected steroid, type of the injected depot preparation, type of joint, number of joints injected simultaneously and other factors. In a previous study we showed that an IAI of 1 ml of Celestone Chronodose (3 mg betamethasone sodium phosphate + 3 mg betamethasone acetate) at the knee joint was not significantly associated with SAI in patients with osteoarthritis [9]. Such a compound is composed equally of two components, a short-acting one, betamethasone sodium phosphate, and a long-acting one, betamethasone acetate. Another popular depot betamethasone preparation is Diprospan, which is also composed of a similar short-acting component, betamethasone sodium phosphateacetate and a different long-acting one, betamethasone dipropionate. However, 1 ml of Diprospan contains 2 mg of betamethasone sodium phosphateacetate and 5 mg of betamethasone dipropionate. Such a composition could have a different effect on the HPA axis following IAI of Diprospan at the knee joint.
Traditionally, an insulin tolerance test (ITT) has been used as the reference standard for the evaluation of the integrity of the HPA axis [10]. However, this test can have serious adverse effects and currently an adrenocorticotropic hormone (ACTH) stimulation test, especially the low dose (1 µg), is the accepted method for evaluating SAI [11]. This test is considered safer, quicker and cheaper [12].
The aim of our study was to evaluate the effect of IAI at the knee joint of 1 ml of Diprospan on the HPA axis, using the 1 µg ACTH stimulation test.
Consecutive patients attending the rheumatology or orthopaedic clinics at the Nazareth Hospital with knee pain, who met the American College of Rheumatology criteria for the diagnosis of osteoarthritis of the knee [13], and failed to respond to nonsteroidal anti-inflammatory treatment (if not contraindicated) and physical therapy, were asked to participate in our study. After consent, patients had a 1-ml IAI of depot preparation of betamethasone sodium phosphate (2 mg) + betamethasone dipropionate (5 mg) (Diprospan) (Shering-Plough, Belgium). All the IAIs were ultrasound guided and following maximal aspiration of knee fluid, if any.

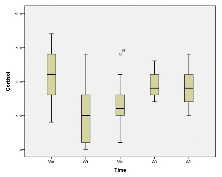
Figure 1
Basal serum cortisol levels at baseline and at different time points in all the patients.
Box plot showing distribution of serum cortisol levels at each time-point, where the lower and upper borders of the box and the line inside it represent quartile 1 (Q1), Q3 and the median values, and the upper and lower whiskers represent Q3+ 1.5 interquartile range (IQR) and Q1-1.5 IQR, respectively. The numbered circle represents the serial number of the patient had a cortisol level higher than the upper whisker.
W0 = baseline; W1 = week 1; W2 = week 2; W4 = week 4; W6 = week 6
Just prior to the IAI (week 0) and at weeks 1, 2, 4 and 6 after it, all the patients had ACTH stimulation tests with 1 µg of tetracosactide acetate (Alliance Pharmaceuticals Ltd., UK). All the ACTH stimulation tests were at 09:00 in the morning, after an overnight fast and without any special physical activity in the morning.
Serum cortisol levels were obtained just prior to (basal), and 30 minutes after ACTH stimulation (poststimulation).
The inclusion criteria included age older than 18 years, and ability to sign a consent form. Exclusion criteria were: intra-articular, systemic, intramuscular or topical administration, nasal spray, eye drops or inhalation of steroid compounds during the previous 3 months; evidence of acute illness (inflammatory or noninflammatory); uncontrolled hypertension; uncontrolled diabetes; anticoagulant treatment, tendency towards bleeding; allergy to corticosteroids; skin infection at the site of the IAI; and pregnancy.
Demographic, clinical and laboratory variables such as age, gender, body mass index (BMI), duration of knee pain, level of knee pain (on a visual analogue scale [VAS] of 0–100, where 0 stands for no pain and 100 stands for worse pain ever experienced), knee effusion, erythrocyte sedimentation rate (ESR), C-reactive protein (CRP) and radiographic changes (Kellgeren-Lawrence grading) were documented.
Blood samples were collected in polypropylene tubes with tripotassium ethylene diamine tetra-acetic acid (K3EDTA). Samples were then rapidly centrifuged at 3,000 revolutions per minute for 10 minutes. An aliquot of each plasma sample was frozen at –30 °C. All the frozen samples were analysed by the end of the study using ARCHITECT cortisol assay (Abbott Laboratories Diagnostic Division, Abbott Park, IL, USA) utilising fchemiluminescent microparticle immunoassay (CMIA) technology in accordance with the manufacturer's instructions. The test is designed to have a precision of ≤10% coefficient of variation for serum sample levels of ≥3 to ≤35 μg/dl, functional sensitivity of ≤1 μg/dl and a specificity of 97.3%–100% (determined by studying the cross reactivity of 36 compounds whose chemical structure or concurrent usage may potentially interfere with the cortisol assay).
Normal morning serum cortisol levels for the hospital clinical laboratory were 6–20 µg/dl.
The widely used criterion for the definition of SAI is a poststimulation serum cortisol level of ≤18 µg/dl (~500 nmol/l) [11, 14]. However, since there were not a few patients from previous studies of ours and also in this study with borderline poststimulation serum cortisol levels at baseline, we added another criterion to be used simultaneously with the previous main criterion in order to increase specificity and reduce the false positive rate. The second criterion is a lack of a rise of serum cortisol levels of >6 mµ/dl (166 nmol/l) over basal levels [15].
Wilcoxon’s signed rank test was used to compare both basal and poststimulation serum cortisol levels at each time-point after the IAIs with baseline basal and baseline poststimulation serum cortisol levels, respectively.
The analysis of serum cortisol levels at each time-point included all the patients who attended at that time-point.
This study was approved by the local Helsinki committee of the Nazareth Hospital and all the patients signed a consent form.
Twenty-one patients were enrolled in our study. One patient was excluded one week later owing to systemic steroid treatment for bronchitis. Demographic, clinical and laboratory parameters of the rest of the patients (20 patients) are shown in table 1.

Figure 2
Poststimulation serum cortisol levels at baseline and at different time points in all the patients.
Box plot showing distribution of serum cortisol levels at each time point, where the lower and upper borders of the box and the line inside it represent quartile 1 (Q1), Q3 and the median values, and the upper and lower whiskers represent Q3+ 1.5 interquartile range (IQR) and Q1-1.5 IQR, respectively.
W0 = baseline; W1 = week 1; W2 = week 2; W4 = week 4; W6 = week 6
Serum cortisol levels at baseline and at later time-points of all the patients are shown in table 2 and figures 1 and 2. All the patients had a normal adrenal response prior to the IAI.
Six patients (30%) had evidence of SAI. In five of them it was observed on one occasion only, mostly at week 2 (four patients) and even at week 6 (one patient). In one patient SAI was observed at week 1 through week 4.
Mean basal serum cortisol level was 10.95 (302 nmol/l) ±3.6 µg/dl, and mean prestimulation levels at weeks 1, 2, 4 and 6 were 5.1 (141 nmol/l) ±3.8 (p = 0.000), 6.65 (183 nmol/l) ±2.85 (p = 0.000), 9.25 (255 nmol/l) ±2.0 (p = 0.081) and 9.0 (248 nmol/l) ±2.5 µg/dl (p = 0.025), respectively. Mean poststimulation serum cortisol level at baseline was 20.4 (563 nmol/l) ±1.98 µg/dl, and at weeks 1, 2, 4 and 6 were 12.5 (345 nmol/l) ±5.1 (p = 0.000), 15.55 (429 nmol/l) ±3.82 (p = 0.000), 19.13 (528 nmol/l) ±1.59 (p = 0.015) and 19.4 (535 nmol/l) ±2.04 µg/dl (p = 0.009), respectively.
None of the patients reported special weakness or other special symptoms.
| Table 1:Demographic, clinical and laboratory variables of the patients (n = 20). | |
| Variable | |
| Age (years)* | 58.6 ± 9.5 (44–79) |
| Male: female | 3:17 |
| VAS of knee pain* | 79 ± 12 (64–100) |
| Duration of knee pain (years)* | 2.42 ± 2.10 (0.3–10) |
| Previous IACI at the knee (n) | 4 |
| Knee effusion (n) | 2 |
| BMI* | 32.4 ± 6.1 (22.1–43.5) |
| ESR*# | 22.5 ± 8.6 (7–39) |
| CRP (mg/dl)*† | 4.2 ± 3.26 (0.5–12) |
| Radiographic changes (Kellgeren-Lawrence grading)* | 2.26 ± 0.84 (1–4) |
| BMI = body mass index; CRP = C-reactive protein; ESR = erythrocyte sedimentation rate; IACI = intra-articular corticosteroid injection; VAS = visual analogue scale * Mean ± standard deviation (range) #Normal range: 5–25 † Normal range: 0.5–5 mg/dl | |
| Table 2: Serum cortisol levels at the various time-points in all individual patients. | ||||||||||
| Time Patient | W0 T0 | W0 T30 | W1 T0 | W1 T30 | W2 T0 | W2 T30 | W4 T0 | W4 T30 | W6 T0 | W6 T30 |
| 1 ⃰ | 16 | 20 | 2 | 7 | 10 | 13 | 11 | 17 | 12 | 18 |
| 2 ⃰ | 12 | 18 | 8 | 18 | 7 | 15 | 9 | 16 | 9 | 15 |
| 3 | 8 | 18 | 4 | 13 | NA | NA | NA | NA | 9 | 19 |
| 4 | 10 | 21 | 7 | 19 | 9 | 19 | 10 | 19 | 8 | 20 |
| 5 | 8 | 19 | 4 | 13 | 7 | 16 | 7 | 18 | 10 | 18 |
| 6 | 10 | 25 | 7 | 17 | 5 | 17 | 8 | 19 | 8 | 21 |
| 7 | 11 | 22 | 7 | 15 | 8 | 19 | 10 | 20 | 7 | 23 |
| 8 | 15 | 21 | 1 | 9 | 5 | 14 | 8 | 18 | NA | NA |
| 9 ⃰ | 8 | 23 | 7 | 4 | 9 | 13 | 18 | 13 | 23 | |
| 10 | 7 | 22 | 9 | 20 | 5 | 20 | 7 | 22 | 6 | 21 |
| 11 | 13 | 19 | 7 | 1 | 8 | 10 | 17 | 10 | 18 | |
| 12 | 4 | 21 | NA | NA | 6 | 21 | 7 | 21 | 5 | 20 |
| 13 | 13 | 18 | 1 | 8 | 8 | 15 | 9 | 18 | 7 | 18 |
| 14 | 8 | 18 | 6 | 18 | 6 | 17 | 11 | 20 | 6 | 18 |
| 15 | 11 | 21 | 9 | 18 | 6 | 20 | 8 | 21 | 9 | 21 |
| 16 ⃰ | 12 | 22 | NA | NA | 5 | 11 | NA | NA | 10 | 21 |
| 17 | 6 | 19 | 1 | 9 | 4 | 15 | 7 | 17 | 7 | 19 |
| 18 ⃰ | 15 | 22 | 9 | 14 | 14 | 18 | NA | NA | 14 | 21 |
| 19 | 17 | 21 | 14 | 19 | 11 | 19 | 13 | 21 | 13 | 19 |
| 20 ⃰ | 15 | 18 | 1 | 8 | 5 | 10 | 11 | 18 | 14 | 18 |
| NA = not available; T0 = basal levels; T30 = 30 minutes poststimulation, W0 = week 0; W1 = week 1; W2 = week 2; W3 = week 3; W4 = week 4; W6 = week 6 ⃰ Patients with secondary adrenal insufficiency | ||||||||||
Our study showed that IAI of 7 mg of betamethasone sodium phosphate / betamethasone dipropionate (Diprospan) at the knee joint was associated with SAI in 30% of the patients. SAI was transient and mostly seen at one time-point, mainly at week 2. In one patient only (5%), SAI was prolonged and seen over 3 weeks from week 1 to week 4. SAI could even occur late, at week 6 (5% of the patients) after the IAI.
Regardless of SAI, basal and poststimulation serum cortisol levels were significantly lower than baseline levels at all time-points (except week 4 for basal levels), supporting the tremendous and prolonged effect of the IAI of Diprospan injection at the knee joint on the HPA axis.
This important observation is in total contrast to the lack of SAI observed 1 week or beyond, after IAI of 1 ml (6 mg) of betamethasone sodium phosphate / betamethasone acetate (Celestone Chronodose), the other popular betamethasone depot preparation used at the knee joint (1 patient out of 20 (5%), p = 0.0457) [9]. Although the dose of betamethasone in Diprospan is larger by only 16.6% than that in Celestone Chronodose (7 vs 6 mg), we think that the significant difference in terms of SAI results mainly from the larger dose of betamethasone dipropionate (slow-acting compound) compared with that in Celestone (betamethasone acetate) (5 vs 3 mg). The slow-acting intra-articular corticosteroid compound had a more lasting absorption period from the joint cavity into the circulation, albeit in small doses, resulting in a significant and prolonged suppressive effect on the HPA axis leading to SAI. This observation is supported by a previous finding of a brisk and short lived increase of blood glucose levels after IAI of 6 mg of betamethasone of Celestone at the knee joint in patients with controlled diabetes [16]. The increase in blood glucose levels after IAI of 7 mg betamethasone in the Diprospan compound was much more gradual and lasted for a longer time (unpublished data). Also, when both betamethasone depot preparations were compared in another study, the compound containing betamethasone dipropionate had a more lasting clinical effect than the other [17].
It should be remembered that the comparison with Celestone Chronodose regarding SAI is a comparison between two different studies; however, both studies had similar population groups and utilised the same cortisol assay and laboratory.
In our opinion, if our results prove to be correct in repeated studies, physicians should be aware of the significantly suppressive effect of the IAI at the knee joint of Diprospan on the HPA axis, and other alternative depot steroids for IAI should be seriously considered. In any case, if Diproaspan has been used as an IAI, both the patient and the medical team should be aware of the potential of SAI in such patients during medical stressful events or prior to planned medical stressful events such as planned surgical procedures. In such circumstances, HPA should be evaluated prior to the procedure, using a low-dose ACTH stimulation test, and steroids supplemented accordingly, or even blindly in emergency cases or whenever such an evaluation could not be done.
If we had implemented only one criterion, the widely used criterion of a poststimulation serum cortisol level of <18 µg/dl, to our results, the number of patients with SAI would have been 15 (75% of all the patients). This figure is very high and, on top of that, the ACTH stimulation test, in contrast to the ITT, tends to give false negative (normal) results in patients with recent onset SAI [14].
As we mentioned in the Methods section, in our population there were not a few patients who had poststimulation serum cortisol levels of 18 µg/dl at baseline. It could be that the threshold of 18 µg/dl for the definition of SAI does not fully apply to our population, and it may be that it needs to be lower. Such an issue could be resolved in the future by correlating ITT (the gold standard test for SAI) with the low-dose ACTH stimulation test in our population.
One limitation of our study is the lack of a control group. However, in two previous case control studies evaluating the same effect and using either Celestone Chronodose or methylprednisolone acetate, at our laboratory, none of the patients in the control groups had SAI at any time-point during the study period [9, 18].
Conclusions:IAI of Diprospan at the knee joint had a relatively high rate of SAI. Both patients and physicians should be aware of this potential and its implication in stressful events. Other depot steroid compounds, such as Celestone Chronodose, might be considered as an option.
1 Snippe JC, Gambardella RA. Use for injections in osteoarthritis in joints and sports activity. Clin Sports Med. 2005;24:83–91.
2 Gless KH, Klee HR, Vecsei P, Weber M, Haack D, Lichtwald K. Plasma concentration and systemic effect of betamethazone following intraarticular injection. Dtsch Med Wochenschr. 1981;106:704–7. German.
3 Weitof T, Ronnblom L. Glucocorticoid resorption and influence on the hypothalamic-pituitary-adrenal axis after intra-articular treatment of the knee in resting and mobile patients. Ann Rheum Dis. 2006;65:955–7.
4 Lazarevic MB, Skosey JL, Djordjevic-Denic G, Swedler WI, Zgradic I, Myones BL. Reduction of cortisol levels after single intra-articular and intramuscular steroid injection. Am J Med. 1995;99:370–3.
5 Huppertz HI, Pfuller H. Transient suppression of endogenous cortisol production after intraarticular steroid therapy for chronic arthritis in children. J Rheumatol. 1997;24:1833–7.
6 Mader R. Lavi L, Luboshitzky R. Evaluation of the pituitary-adrenal axis function following single intraarticular injection of methylprednisolonone. Arthritis Rheum. 2005;52:924–8.
7 Duclos M, Guinot M, Colsy M, Merle F, Baudot C, Corcuff JB, Lebouc Y. High risk of adrenal insufficiency after a single articular steroid injection in athletes. Med Sci Sports Exerc. 2007;39:1036–43.
8 Weiss S, Kisch S, Fischel B. Systemic effects of intraarticular administration of triamcinolone hexacetonide. Isr J Med Sci. 1983;19:83–4.
9 Habib G, Jabbour A, Artul S. Chernin M, Hakim G. The effect of intra-articular injection of betamethasone acetate/betamethasone sodium phosphate at the knee joint on the hypothalamic-pituitary-adrenal axis: a case controlled study. J Investig Med. 2013;61:1104–7.
10 Jacobs HS, Nabarro JDN. Tests of hypothalamic-pituitary-adrenal function in man. Quart J Med. 1969;152:475–91.
11 Magnotti M, Shimshi M. Diagnosing adrenal insufficiency: which test is best – the 1–microg or the 250–microg cosyntropin stimulation test? Endocrin Pract. 2008;14:233–8.
12 Dickstein G. The assessment of the hypothalamo-pituitary-adrenal axis in pituitary disease: are there short cuts? J Endocrinol Invest. 2003;26(7 Suppl):25–30.
13 Altman R, Asch E, Bloch D, Bole G, Borenstein D, Brandt K, et al. Development of criteria for the classification and reporting of osteoarthritis. Classification of osteoarthritis of the knee. Diagnostic and therapeutic criteria committee of the American rheumatism association. Arthritis Rheum. 1986;29:1039–49.
14 Dorin RL, Qualls CR, Crapo LM. Diagnosis of adrenal insufficiency. Ann Intern Med. 2003;139:194–204.
15 Gandhi PG, Shah NS, Khandelwal AG, Chauhan P, Menon PS. Evaluation of low dose ACTH stimulation test in suspected secondary adrenocortical insufficiency. J Postgrad Med. 2002;48:280–2.
16 Habib G, Safia A. The effect of intra-articular injection of betamethasone acetate/betamethasone sodium phosphate on blood glucose levels in controlled diabetic patients with symptomatic osteoarthritis of the knee. Clin Rheum. 2009;28:85–7.
17 Husby G, Kass E, Sponqsveen KL. Comparative double-blind trial of intra-articular injections of two long-acting forms of betamethasone. Scand J Rheumatol. 1975;4:118–20.
18 Habib G, Khazin F, Jabbour A, Chernin M, Badarny S, Hakim J, Artul S. Simultaneous bilateral knee injection of methylprednisolone acetate and the hypothalamic-pituitary-adrenal axis; a single-blind case-control study. J Investig Med. 2014;62:621–6.
Disclosures: No financial support and no other potential conflict of interest relevant to this article was reported.