DOI: https://doi.org/10.4414/smw.2011.13309
Obstructive sleep apnoea (OSA), the most common type of sleep apnoea, is caused by obstruction of the narrowed, congested, or floppy upper airway when the muscle tone of the body is relaxed during sleep. It is characterised by repetitive breathing pauses lasting 20–40 seconds during sleep. The pause in breathing reduces oxygen saturation in the blood which recovers after breathing resumes. The unique breathing pattern of OSA results in alternating cycles of hypoxia and re-oxygenation in the circulation, which is termed “intermittent hypoxia”.
Although OSA is a highly prevalent disease, patients are rarely aware of having difficulty in breathing. OSA accompanied by intermittent hypoxia can thus be present unidentified for years and even decades. However, chronic or severe OSA has been proven to be an independent risk factor for the development of cardiovascular disorders [1]. The pathogenesis of cardiovascular complications in OSA is not completely understood; evidence suggests that increased levels of various circulating inflammatory factors , including tumour necrosis factor alpha (TNF-α), interleukin-6 (IL-6) and interleukin-8 (IL-8), are associated with future cardiovascular risk [2–5]. In contrast, an increase in serum levels of the anti-inflammatory cytokine interleukin-10 (IL-10) has been associated with decreased risk of coronary events in patients with unstable angina [6]. Inflammatory responses may therefore play a pivotal role in the pathogenic process of cardiovascular complications associated with OSA through inflammatory factor mediated artery endothelial cell dysfunction [7].
The question is, then, what is it in OSA that initiates the inflammatory response? Previous studies have reported that intermittent hypoxia, the unique form of hypoxia that occurs in OSA, induces activation of transcription factors such as nuclear factor kappa B (NF-κB) [8]. The NF-κB is normally located in cytoplasm, and translocates into nucleus upon stimulation, then acts as a transcription factor to activate the transcription of downstream proinflammatory target genes. However, the direct evidence that intermittent hypoxia induces systemic production of inflammatory factors is lacking, and the response of inflammatory factor production and NF-κB activation to intermittent hypoxia of different extent remains unknown.
In this study we therefore exposed rats to different degrees of intermittent or sustained hypoxic conditions and examined the effects of these hypoxic exposures on systemic production of inflammatory factors, including TNF-α, IL-8, IL-6, and IL-10, as well as nuclear NF-κB activity in endothelial cells from the aorta.
A total of 160 male Wistar rats (weight: 180–200 g), about 8 weeks of age (SCXK 2006–0009) were used in this study. The rats were housed four to a cage. The rats were given unrestricted access to food and water, except during the treatment and experimental periods. All surgical procedures and experimental protocols were approved by the Tianjin Medical University Animal Care and Use Committee.
The rats were randomly assigned to five groups, with 32 rats to a group: (1) the 5% intermittent hypoxia group (IH-1); (2) the 7.5% intermittent hypoxia group (IH-2); (3) the 10% intermittent hypoxia group (IH-3); (4) the 10% sustained hypoxia group (SH); and (5) the normal oxygen control group (SC).
During IH exposure the animals were placed in a specialised plexiglas chamber (dimensions 30×20×20 cm) with 4 rats per cage, exposed to intermittent hypoxia for 8 hours/day during the rodent diurnal sleep period (9 AM–5 PM) repeatedly for 7 days/week for 8 consecutive weeks. The chamber was flushed with alternating cycles of pure nitrogen and compressed air. Each cycle of intermittent hypoxia lasted for 2 minutes, the first 30 seconds being the hypoxia phase and the following 90 seconds the reoxygenation phase. Gas flow was regulated by timer-controlled solenoid valves and an O2 flow meter. The O2 concentration was continuously monitored by an O2 analyser (CY-12C, Meicheng, China). During the hypoxia phase, the O2 concentration in the chamber was rapidly decreased to 5%, 7.5% or 10% by adjusting the N2flow rate ranging from 5 L/m to 10 L/m. The O2 concentration was increased to a maximum of 21% by rapidly flushing the chamber with compressed air. This system permitted delineation of oxygenation profiles in the rodent model that mimic those in patients with OSA.
The SH chambers were flushed continuously with 3 L/m pure nitrogen admixed with 3 L/m compressed air to maintain the O2 concentration in these chambers at 10%. Control experiments were performed on animals exposed to alternating cycles of compressed room air in the chamber.
At the 2nd, 4th, 6th and 8th week, 8 animals from each group were anesthetized with 3% pentobarbital (30 mg/Kg), and an arterial blood sample was obtained from the right femoral artery. Serum was isolated and frozen at –80° C. After collection of the blood sample, the animals were subjected to thorough intracadinal perfusion with PBS in order to remove the blood cells from the vessels. Then the thoracic aorta was surgically removed and washed with PBS again 3 times to minimise potential blood cell contamination. The endothelial cells were scraped off the vessel wall with appropriate force using a cytology brush, frozen in liquid nitrogen and stored at –80 °C until further use. This approach to endothelial cell collection has been used widely in our university to perform primary cell cultures. The collected cells have a viability of 93.7%, as tested by trypan-blue dye exclusion, exhibited the cobble stone-like shape and are VIII factor positive after 10 days of culture. Most, if not all, of the cells we collected from the artery wall are therefore endothelial cells [9].
To confirm the effects of our intermittent hypoxia system, the animals’ blood gas tensions were measured during the preliminary experiment. Two animals for each group were anaesthetised with 25% urethane (4 ml/Kg), and arterial lines were surgically inserted into the right common carotid artery. The line was heparinized and exited the cage through a small aperture. Arterial blood gases at different time points in the hypoxia cycle were measured after the rats had adapted to the hypoxic condition for at least 10 minutes. The minimum Po2 and maximum Pco2 were detected in three consecutive hypoxia cycles.
Enzyme-linked immunosorbent assay (ELISA) was used to detect the levels of circulating cytokines. TNF-α, IL-8 and IL-10 levels in serum were determined with ELISA kits procured from Invitrogen Inc (CA, USA). IL-6 levels in the serum were measured with an ELISA kit obtained from Thermo Science Inc (GA, USA).
The ELISA was performed according to the company’s protocols. Briefly, 50 μL of serum sample was mixed with 50 μL of assay diluent. A hundred microlitre assay diluent, 100 µL of serially diluted standards was also included, and served as negative and positive controls respectively. These solutions were added to a 96-well plate pre-coated with specific monoclonal antibodies to the detecting antigen, i.e., IL-6, 8, 10 or TNF-α, and incubated at room temperature for 2 h. The plate was then washed three times and sequentially incubated with the biotinylated antibody to the antigen to be detected and the streptavidin-horseradish peroxidase (HRP) conjugates. The colorigenic reaction was initiated by adding chromogen substrate and stopped by 1 N H2SO4 solution. Wells with only the chromogen substrate and stop solution were also generated as chromogen blank for further adjustment. The absorbance was measured at 450 nm in a microplate reader (Labsystems Muhiskan, MS, USA). The mean readings of the chromogen blank wells were subtracted from each well; a standard curve was generated for each ELISA to calculate the concentrations of each detected antigen.
Nuclear proteins from endothelial cells were extracted using nuclear and cytoplasmic protein extraction reagents from Beyotime Inc (Shanghai, China). The total protein concentration of each portion of extract was determined using the bicinchoninic acid (BCA) protein assay kit (Bomaide Inc, Beijing, China).
To determine the degree of NF-κB phosphorylation and translocation, we quantified the amount of phosphorylated NF-κB p65 in nuclear extracts using Western blotting. In each blot, protein marker (Fermentas China, Shenzhen, China) and nuclear extracts (10 μg of protein) of endothelial cells collected from different groups of rats were loaded to sodium dodecyl sulfate (SDS)-polyacrylamide gradient gel, whole-cell extracts of hela cells stimulated with 10 ng/mL TNF-α (Sigma, MO, USA) were used as positive control, and the extracts of hela cells were further treated with Lambda phosphatase (Santa Cruz Biotechnology, CA, USA) and served as negative control. The protein samples were separated by electrophoresis and transferred to nitrocellulose membranes. These membranes were blocked by 5% non-fat milk in tris-buffered saline for 1 hour and then incubated with the rabbit polyclonal antibody to phosphorylated NF-κB p65 (1:1500 dilution; Abcam, MA, USA) overnight at 4 °C. The membranes were washed with tris-buffered saline and incubated for 1 hour, at room temperature, with the secondary antibody-HRP conjugated anti-rabbit IgG (Boster Inc, Wuhan, China) prepared in the blocking solution (1:5000). After washing, the membranes were incubated with detection solution (LumiGLO; Jingmei Bioscience, Shenzhen, China), and exposed to the film (Kodak, USA) for 1 minute, then the film was developed for another minute. The protein bands on the film were confirmed as phosphorylated NF-κB p65 by matching the correct size of the protein marker. The blots were then stripped, blocked, and probed with the primary and secondary antibody of β-actin, which served as the internal control for protein content in each lane. The films with phosphorylated NF-κB p65 and β-actin bands were scanned and the intensity of the protein bands on the scanned images was quantified by Image J software (NIH, USA). The nuclear accumulation of phosphorylated NF-κB p65 was expressed as ratio of the intensity of this protein to that of β-actin.
All values are reported as mean ± standard error of the mean (SEM). Statistical comparisons between five groups of rats (IH-1, IH-2, IH-3, SH and SC) were performed by a general linear model ANOVA across two independent variables, hypoxia and time. Comparisons between different levels of hypoxia or at different time points of exposure were performed using one-way ANOVA. Pearson correlations were used to determine the relationships between the circulating cytokines and transcription factor NF-κB. A p-value <0.05 was considered statistically significant.
Arterial blood gases were quantified in two rats from each group during the preliminary experiment to characterise and confirm the effectiveness of our model system. The two animals within each group exhibited similar values in blood gas analyses. The mean value of minimum Po2 in the control group is 100 mm Hg as expected; however, when the animals in IH1, 2, and 3 group were exposed to different levels of intermittent hypoxia, the mean minimum Po2was dramatically reduced to 35.9, 40.3, and 49.5 mm Hg respectively. The mean minimum Po2 remained at 38.5 mm Hg in animals exposed to sustained hypoxia (fig. 1). There was no significant change in maximum Pco2 level across all groups. The lowest blood oxygen partial pressure in rats was recorded at ~20 seconds following termination of intermittent hypoxia. These results suggest that our model system induced moderate to severe hypoxia, mimicking the biochemical changes of blood gas observed in patients with moderate to severe OSA.

Figure 1
Arterial blood gas tension measured in the preliminary intermittent hypoxia experiment. Two rats were employed in each treatment group (n = 2); the measured parameters of each animal were plotted as separate bars. The minimum Po2 levels of two animals (white and hatched bars respectively) in the IH1, IH2, and IH3 group and SH group were markedly reduced as compared to those shown in the normoxia control group. The maximum Pco2 levels of the two rats (black and grey bars respectively) were comparable among all the treatment groups.

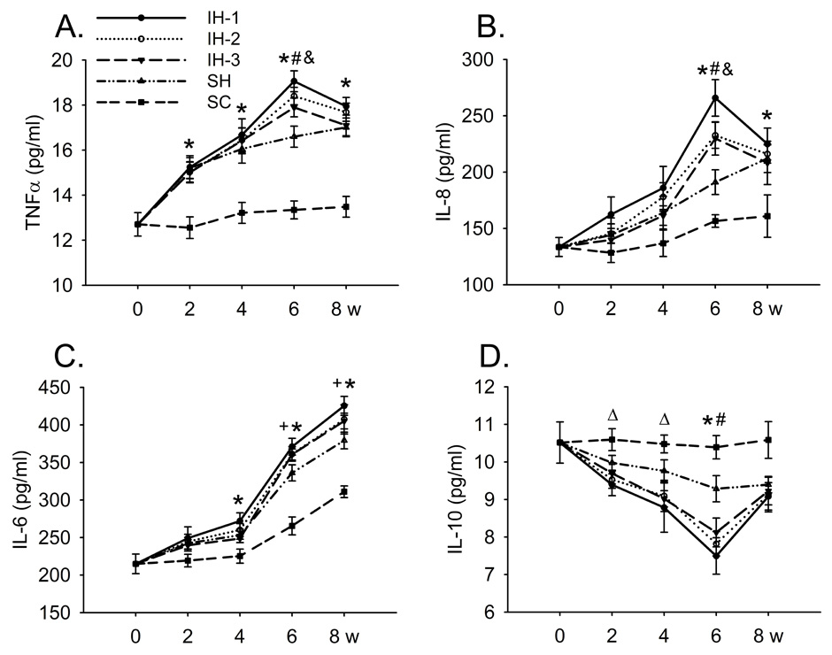
Figure 2
Time course of inflammatory cytokine levels in serum. Serum levels of TNF-α (A), IL-8 (B), IL-6 (C), and IL-10 (D) were measured in the IH1 (n = 7), IH2 (n = 8), IH3 (n = 8), SH (n = 8) and SC group (n = 8) at each time point. The data were plotted as mean ± SE. Results of two-way ANOVA statistical analyses were labeled. * p<0.05 IH1, 2, 3 and SH groups vs the SC group; # p<0.05 IH 1, 2, 3 vs the SH group; & p<0.05 IH1 vs IH3 group; + p<0.05 IH1 vs SH group; ∆ p <0.05 IH1, 2 and 3 vs SC group.

Figure 3
Comparison of serum levels of inflammatory cytokines at the 6th week under intermittent hypoxia. Serum levels of TNF-α (A), IL-8 (B), IL-6 (C), and IL-10 (D) at the 6th week of the hypoxic treatment were re-plotted as bar graphs for comparison among different groups. * p= 0.01 compared with SC group; ∆ p= 0.05 compared with SC group; # p = 0.05 compared with SH group; & p= 0.01 compared with SH group; & p = 0.05 compared with IH-3 group, n = 7 or 8 in each group.
Serum levels of TNF-α and IL-8 in the three IH groups followed a similar time trend, showing a consecutive increase from onset to the 6th week under intermittent hypoxic treatment, a reduction being observed at the 8th week (two-way ANOVA value F = 14.637, 6.42; p= 0.01) (fig. 2A and B). The TNF-α levels in the IH groups at the 2nd, 4th, 6th, and 8th week were all significantly higher than those in the SC group that had been exposed to a normal level of oxygen (F = 5.902, 6.426, 30.04, 17.886; p=0.01); whereas the circulating levels of IL-8 in the IH groups were not significantly different from those in SC until the 6th week (F = 11.77; p <0.01), this significance over the SC group was maintained at the 8th week (F = 2.743; p <0.05). On the other hand, the time courses of TNF-α and IL-8 under sustained hypoxia (SH group) both resembled their respective trends observed in the IH groups except at the 6th week, when their levels in SH group were significantly lower than the peak levels of these pro-inflammatory factors in the IH groups (F = 30.04, 11.77; p <0.01) (fig. 2A and B). These results show that hypoxic conditions, especially intermittent hypoxia, can induce elevated levels of circulating pro-inflammatory factors such as TNF-α and IL-8, further indicating that intermittent hypoxia may be associated with a systemic inflammatory response.
The time course of IL-6 production in all experimental groups, including the IH, SH, and SC group, exhibited a continuous increase from time zero to the last time point examined (two-way ANOVA value F = 43.814; p = 0.01). The IL-6 levels measured from the intermittent and sustained hypoxia group were similar to each other at most time points; nonetheless, they were all significantly higher than the normoxia control group starting from the 4th week after treatment (F = 4.648; p <0.01), the difference was even more significant as the hypoxic treatment proceeded (F = 18.589 at the 6th week, and F = 12.102 at the 8th week; p <0.01) (fig. 2C).
The serum levels of IL-10 in IH groups continuously decreased and touched the lowest levels at the 6th week under intermittent hypoxia (Two-way ANOVA value F = 5.787; p <0.01). The IL-10 levels in IH groups on the 2nd, 4th, and 6th week were significantly lower than the corresponding levels seen in SC group (F = 3.293, 3.513, 10.403; p <0.05, 0.05, 0.01). The levels in SH group were in the middle between those in IH groups and SC group, but significantly different from neither of them. An increase of IL-10 levels in all IH groups was observed on the 8th week, there was no significant difference in the IL-10 levels between SH group and SC group at this time point (F = 2.547; p= 0.057) (fig. 2D). The time course of reduction of a potent anti-inflammatory factor, IL-10, combined with elevation of pro-inflammatory factors, TNF-α and IL-8, further suggests that intermittent hypoxia can induce a systemic inflammatory response culminating at the end of the six-week long treatment.
Since the most pronounced changes of the circulating cytokines examined were observed on the 6th week under hypoxic conditions, we chose to compare serum levels of these cytokines among all experimental groups at this time point. Serum levels of TNF-α, IL-8 and IL-6 levels in three IH groups were significantly higher than those in the SC and SH groups (F = 30.04, 11.77, 18.589; p <0.01) (fig. 3A, B and C). The IL-10 levels in these groups were significantly lower than those from SC and SH groups (F = 10.40; p <0.01) (fig. 3D). Moreover, levels of TNF-α and IL-8 in the IH-1 group treated with 5% intermittent hypoxia were both significantly higher than the corresponding cytokine levels in the IH-3 group that had been subjected to 10% intermittent hypoxia (F = 1.20, 34.68;p= 0.049, 0.046) (fig. 3A and B).
Having measured the levels of circulating inflammatory factors, we sought to assess whether the intermittent hypoxia challenges activated NF-κB and promoted its nuclear translocation. We measured the amount of phosphorylated NF-κB p65 by Western blot in nuclear extracts of endothelial cells sampled at different time points following hypoxia exposure (fig. 4A). Animals treated with varying degrees of intermittent hypoxia displayed a marked increase in nuclear accumulation of the phosphorylated NF-κB p65 protein from the onset to the 6th week, then a slight reduction was observed at the 8th week (two-way ANOVA value F = 63.136, p =0.01). The nuclear p65 activity in IH groups was significantly elevated as compared to those measured from SC group from the 4th week on (F = 16.861, p = 0.01), whereas they were similar to the SH group at every time point except the 6th week (F = 45.092, p <0.01) (fig. 4B). In general, the time course of NF-κB p65 activation in all the groups, including the IH, SH, and SC group, coincided with those of TNF-α and IL-8 in corresponding groups (fig. 3A, B and 4B).
Figure 4C showed that at the 6th week, when NF-κB p65 nuclear levels reached the peak in the IH groups, they were significantly higher than those found in the SC and SH groups (one-way ANOVA value F = 45.092, p =0.01,). The nuclear level of phosphorylated NF-κB p65 in the IH-1 group was also significantly greater than that in the IH-3 group (F = 1.38, p =0.01).
Prompted by the similar dynamic changes of inflammatory factors in circulation and NF-κB p65 activation in aorta endothelial cells, we performed the correlation analysis between individual factor and the transcription factor. Pearson’s correlation analysis revealed that phosphorylated NF-κB p65 correlated positively with serum levels of TNF-α (r = 0.716, p =0.01), IL-8 (r = 0.605, p =0.01), IL-6 (r = 0.76, p =0.01) and negatively with IL-10 (r = –0.505, p =0.01).
In this study animals exposed to intermittent hypoxia displayed greater circulating levels of TNF-α, IL-6, IL-8 and higher levels of phosphorylated NF-κB p65 in nuclear extracts of aorta endothelial cells, as compared with the counterparts exposed to sustained hypoxia or normoxia; in contrast, production of IL-10, a potent anti-inflammatory cytokine, was decreased in the IH groups in comparison to SH and SC group. The levels of serum cytokine and nuclear p65 in IH groups reached the most statistical significance over SH and SC group on the 6th week after treatment. In addition, we also observed intermediate activation of proinflammatory cytokines and NF-κB in the SH group, which suggests that continuous hypoxia can also cause, but to a lesser extent, systemic inflammation. These results therefore suggest that intermittent hypoxia may elicit a more severe systemic inflammatory response than sustained hypoxia, and that this response culminates at the 6th week after the start of IH treatment.

Figure 4
Temporal changes of phosphorylated NF-κB p65 in nuclear extracts of aorta endothelial cells. (A) A representative Western blot showed that increased levels of p-NF-κB p65 in nucleus were observed in IH groups as compared to those in SH and SC group. Positive control, referred to as P, was whole-cell extracts from cultured hela cells stimulated with 10 ng/ml TNF-α. The whole-cell extracts further treated with lamda phosphatase were used as negative control, labelled as N in the blot. The levels of β-actin were used as the internal standard of protein content in each lane. (B) The intensity of phosphorylated NF-κB p65 was normalised to that of β-actin, which was then plotted as mean ± SE to show the activity changes of this transcription factor at various time points (* p<0.05 IH1, 2, 3 and SH group vs SC group; # p <0.05 IH 1, 2, 3 vs SH group; & p<0.05 IH1 vs IH3 group, n = 7 or 8 in each group). (C) The normalised nuclear levels of phosphorylated NF-κB p65 at 6th week were also re-plotted as bar graphs (* p= 0.01 compared with SC group; # p= 0.05 compared with SH group; & p= 0.01 compared with SH group; $ p= 0.05 compared with IH-3 group, n = 7 or 8 in each group).
The analyses of rats in the IH groups also revealed that levels of proinflammatory factors, TNF-α and IL-8, as well as transcription factor NF-κB, continuously increased from the onset, peaked at the 6th week and dropped modestly at the 8th week under intermittent hypoxia; whereas the levels of anti-inflammatory cytokine, IL-10, showed inverse time-dependent changes. Part of our findings are consistent with other reports of increased NF-κB activation and TNF-α, IL-8, IL-6 levels in OSA patients and rats subjected to intermittent hypoxia [10–19]. However, we found no report in the literature with regard to a downward tendency after 6 weeks of intermittent hypoxia stimulus without continuous positive airway pressure or other treatments. There are two possible reasons for this discrepancy. First, the animals in the previous reports had not been subjected to intermittent hypoxia as long as in our experimental paradigm, and therefore the fall in the pro-inflammatory factor levels or the rise in anti-inflammatory factor levels at a later time, as we observed, might be missed in the previous reports. The bi-phasic changes of pro- and anti-inflammatory factors reflect the dynamic changes and equilibrium between the “engine” and the “brake” of the inflammatory response induced by intermittent hypoxia. They certainly involve the self-limitation of an organism to inflammatory response and the presence of compensatory mechanisms to such stressors in the long run, at least in our experimental animals. Our results for responses to sustained hypoxia did not show similar temporal changes, and this may be due to fundamental differences between sustained and intermittent hypoxia in terms of biochemical effects and physiological consequences. The discrepancy between our results and others might also be due to the different method used to generate the intermittent hypoxic condition. We customised the hypoxia chamber and housed 4 animals in one chamber, instead of using the commercially available chambers holding only one animal in each. However, blood gas analysis shown in figure 1 confirmed that our paradigm indeed induced moderate to severe hypoxia in the animals.
The results of serum levels of IL-6 under hypoxic condition suggest that intermittent or sustained hypoxia could enhance the production of IL-6, another pro-inflammatory mediator. It is also of note that the levels of IL-6 under intermittent hypoxia did not exhibit the bi-phasic changes shown by other cytokines. A possible explanation for this was hinted at by the observation that IL-6 levels were continuously increased over time even in the normoxia control group, which implies a role for other factors, e.g. fat mass accumulation, in IL-6 induction. Moreover, it has been reported that the stressing factor, such as hypoxia, could cause a fair amount of fat mass accumulation more than natural growth. This was implied by the steeper slope of the curves corresponding to hypoxia groups (either intermittent or sustained), as compared to that of the normoxia control group (fig. 2C). An increased percentage of body fat during the experimental period could therefore contribute to the production of IL-6 in circulation [20].
The molecular mechanisms underlying the dynamic changes of transcription factor NF-κB are better known than those of the inflammatory cytokines. Under resting conditions, NF-κB is bound to its co-repressor molecule IκB in the cytosol. Upon stimulation, like intermittent hypoxia, IκB is degraded and allows p50 and p65 to form NF-κB heterodimer, which then translocates to the nucleus and activates transcription of target genes, such as inflammatory factors [21]. Positive and negative feedback regulation have been proposed for regulation of NF-κB activation. In the early stage of intermittent hypoxia, NF-κB is activated and stimulates increased production of circulating cytokines such as TNF-α and IL-6, which, in turn, activates signalling cascades to enhance NF-κB activation. The positive regulation contributes to amplification of early inflammatory response. On the other hand, NF-κB-binding sites have been identified in the promoter region of IκB [22]. After longer exposure to intermittent hypoxia, transcriptional activation of the IκB gene by NF-κB, followed by an increase in IκB protein levels, would prevent sustained activation of NF-κB, thus forming a negative feedback loop [23]. Therefore, in our study’s IH group, the dynamic changes of NF-κB p65 nuclear levels may indicate constant interactions between the positive and negative regulatory loop, the upward or downward tendency depending on which regulation is dominant at a certain time point; whereas under sustained hypoxia, positive regulation may override negative, the NF-κB thus displayed sustained activation consistent with previous reports [24].
It should be noted that the time course of NF-κB activation and nuclear translocation in intermittent hypoxic conditions parallels that of the pro-inflammatory factors, such as TNF-α and IL-8 (fig. 2A and B, fig. 4B) activation of this transcription factor is also closely correlated with serum levels of all the factors examined. It is also known that activated NF-κB can drive the transcription of numerous genes encoding inflammatory factors, including TNF-α, IL-8 and IL-6, in other scenarios such as bacterial infection and oxidative stress [25]; however, direct evidence mechanistically linking these two events is still lacking in current studies. Further investigation involving NF-κB pathway blocker, e.g., quinazoline, is underway to prove that NF-κB can promote production of inflammatory factors under intermittent and sustained hypoxia.
The precise mechanisms mediating cardiovascular complications in OSA have not been elucidated, though recent studies have explored the link of inflammatory response and NF-κB activation to the pathogenesis of cardiovascular diseases in OSA [11, 16, 26, 27]. Patients with an OSA-associated typical pattern of hypoxia and re-oxygenation were found to have higher levels of circulating proinflammatory cytokines (TNF-α, IL-6), chemokines (IL-8) and adhesion molecules (ICAM-1), with a significant fall after effective CPAP therapy [11–16]. Increased production of proinflammatory cytokines has been definitely linked with the pathogenesis of atherosclerosis and hypertension. Furthermore, Ryan and colleagues report that, in an in vitro cell culture model, alternating cycles of hypoxia and re-oxygenation resulted in selective and dose-dependent activation of inflammatory NF-κB-dependent pathways [28]. Our findings that significantly increased production of inflammatory factors and parallel activation of NF-κB in an animal model subjected to different levels of intermittent hypoxia suggest an important role of inflammatory response in cardiovascular damage under the condition of intermittent or sustained hypoxia. However, caution should be exercised in comparing the results of our animal model with pathological changes in OSA patients, since the spontaneous fall in pro-inflammatory factors has not been reported in patients not under medical treatment, indicating that the compensatory mechanisms reflected in our animal studies might not be voluntarily activated in OSA patients.
1 Roux F, D’Ambrosio C, Mohsenin V. Sleep-related breathing disorders and cardiovascular disease. Am J Med. 2000;108:396–402.
2 Cesari M, Penninx BW, Newman AB, Kritchevsky SB, Nicklas BJ, Sutton-Tyrrell K, et al. Inflammatory markers and onset of cardiovascular events: results from the Health ABC study. Circulation. 2003;108:2317–22.
3 Ozeren A, Aydin M, Tokac M, Demircan N, Unalacak M, Gurel A, et al. Levels of serum IL-1beta, IL-2, IL-8 and tumor necrosis factor-alpha in patients with unstable angina pectoris. Mediators Inflamm. 2003;12:361–5.
4 Simonini A, Moscucci M, Muller DW, Bates ER, Pagani FD, Burdick MD, et al. IL-8 is an angiogenic factor in human coronary atherectomy tissue. Circulation. 2000;101:1519–26.
5 Chrysohoou C, Pitsavos C, Panagiotakos DB, Skoumas J, Stefanadis C. Association between prehypertension status and inflammatory markers related to atherosclerotic disease: The ATTICA Study. Am J Hypertens. 2004;17:568–73.
6 Anguera I, Miranda-Guardiola F, Bosch X, Filella X, Sitges M, Marín JL, et al. Elevation of serum levels of the anti-inflammatory cytokine interleukin-10 and decreased risk of coronary events in patients with unstable angina. Am Heart J. 2002;144:811–7.
7 Naya M, Tsukamoto T, Morita K, Katoh C, Furumoto T, Fujii S, et al. Plasma interleukin-6 and tumor necrosis factor-alpha Can predict coronary endothelial dysfunction in hypertensive patients. Hypertens Res. 2007;30:541–8.
8 Ryan S, Taylor CT, McNicholas WT. Systemic inflammation: a key factor in the pathogenesis of cardiovascular complications in obstructive sleep apnoea syndrome? Thorax. 2009;64:631–6.
9 Tan Pei-Yi, Gao Wei-zhen, Kang Yi, Jiao Jian-jie, Lou Jian-shi, Liu Yan-xia. Culture and identification of endothelial cells from calf thoracic aorta in vitro. Journal of Tianjin Medical University. 2010;16(2):198–200.
10 Liu SF, Malik AB. NF-kappaB activation as a pathological mechanism of septic shock and inflammation. Am J Physiol Lung Cell Mol Physiol. 2006;290:L622–45.
11 Yamauchi M, Tamaki S, Tomoda K, Yoshikawa M, Fukuoka A, Makinodan K, et al. Evidence for activation of nuclear factor kappaB in obstructive sleep apnea. Sleep Breath. 2006;10:189–93.
12 Minoguchi K, Tazaki T, Yokoe T, Minoguchi H, Watanabe Y, Yamamoto M, et al. Elevated production of tumor necrosis factor alpha by monocytes in patients with obstructive sleep apnea syndrome. Chest. 2004;126:1473–9.
13 Ohga E, Tomita T, Wada H, Yamamoto H, Nagase T, Ouchi Y. Effects of obstructive sleep apnea on circulating ICAM-1, IL-8, and MCP-1. J Appl Physiol. 2003;94:179–84.
14 Yokoe T, Minoguchi K, Matsuo H, Oda N, Minoguchi H, Yoshino G, et al. Elevated levels of C-reactive protein and interleukin-6 in patients with obstructive sleep apnea syndrome are decreased by nasal continuous positive airway pressure. Circulation. 2003;107:1129–34.
15 Ciftci TU, Kokturk O, Bukan N, Bilgihan A. The relationship between serum cytokine levels with obesity and obstructive sleep apnea syndrome. Cytokine. 2004;28:87–91.
16 Ryan S, Taylor CT, McNicholas WT. Predictors of elevated nuclear factor-kappaB-dependent genes in obstructive sleep apnea syndrome. Am J Respir Crit Care Med. 2006;174:824–30.
17 Milleron O, Pillière R, Foucher A, de Roquefeuil F, Aegerter P, Jondeau G, et al. Benefits of obstructive sleep apnoea treatment in coronary artery disease: a long-term follow-up study. Eur Heart J. 2004;25:728–34.
18 Arias MA, García-Río F, Alonso-Fernández A, Mediano O, Martínez I, Villamor J. Obstructive sleep apnea syndrome affects left ventricular diastolic function effects of nasal continuous positive airway pressure in men. Circulation. 2005;12:375–83.
19 Alberti A, Sarchielli P, Gallinella E, Floridi A, Mazzotta G, Gallai V. Plasma cytokine levels in patients with obstructive sleep apnea syndrome: a preliminary study. J Sleep Res. 2003;12:305–11.
20 Mohamed-Ali V, Goodrick S, Rawesh A, Katz DR, Miles JM, Yudkin JS, et al. Subcutaneous adipose tissue releases interleukin-6, but not tumor necrosis factor-alpha, in vivo. J Clin Endocrinol Metab. 1997;82:4196–200.
21 Takahashi Y, Ganster RW, Gambotto A, Shao L, Kaizu T, Wu T, et al. Role of NF-kappaB on liver cold ischemia-reperfusion injury. Am J Physiol Gastrointest Liver Physiol. 2002;283:G1175–84.
22 de Martin R, Vanhove B, Cheng Q, Hofer E, Csizmadia V, Winkler H, et al. Cytokine-inducible expression in endothelial cells of an I kappa B alpha-like gene is regulated by NF kappa B. EMBO J. 1993;12:2773–9.
23 Li Q, Verma IM. NF-kappaB regulation in the immune system. Nat Rev Immunol. 2002;2(10):725–34.
24 Oliver KM, Garvey JF, Ng CT, Veale DJ, Fearon U, Cummins EP, et al. Hypoxia activates NF-kappaB-dependent gene expression through the canonical signaling pathway. Antioxid Redox Signal. 2009;11(9):2057–64.
25 Mercurio F, Manning AM. NF-kappaB as a primary regulator of the stress response. Oncogene. 1999;18(45):6163–71.
26 Williams A, Scharf SM. Obstructive sleep apnea, cardiovascular disease, and inflammation – is NF-kappaB the key? Sleep breath. 2007;11:69–76.
27 Htoo AK, Greenberg H, Tongia S, Chen G, Henderson T, Wilson D, et al. Activation of nuclear factor kappaB in obstructive sleep apnea: a pathway leading to systemic inflammation. Sleep Breath. 2006;10:43–50.
28 Ryan S, Taylor CT, McNicholas WT. Selective activation of inflammatory pathways by intermittent hypoxia in obstructive sleep apnea syndrome. Circulation. 2005;112:2660–7.
Contributions: * These authors contributed equally to the study.
Funding / potential competing interests: This study was supported by grants from the National Natural Science Foundation of China (NO.30770934, 30900656).